Основные составляющие жидкого топлива
Топливо – источник получения энергии; горючее вещество, вырабатывающее при сгорании значительное количество теплоты.
По агрегатному состоянию выделяют твердое, жидкое и газообразное топливо.
К твердому естественному топливу относят дрова, бурые и каменные угли, торф, антрацит; к твердому искусственному топливу – кокс, древесный уголь, брикеты и пыль из бурого и каменного углей, термоантрацит. Естественного жидкого топлива нет. В качестве искусственного жидкого топлива используют различные смолы и мазут. Газообразное топливо может быть естественным, таким как природный газ. В качестве искусственного газообразного топлива применяют газы, получаемые в коксовых печах (коксовые), в доменных печах (доменные или колошниковые) и в газогенераторах (генераторные).
Жидкие топлива – это в основном вещества органического происхождения, основные составляющие элементы которых – углерод, водород, кислород, азот и сера.
Углерод (С) – основной носитель теплоты. При сгорании 1 кг углерода выделяется 34 000 кДж теплоты. Углерод может содержаться в мазуте до 85%, образуя соединения.
Водород (Н) – второй наиболее важный элемент топлива: при сгорании 1 кг водорода выделяется около 125 000 кДж теплоты. Содержание водорода в жидких топливах составляет 10%.
В состав жидкого топлива входят также влага (W) и до 0,5% золы (А).
Азот (N) и кислород (О) входят в состав сложных органических кислот и фенолов, содержатся в топливе в небольших количествах (около 3%).
Сера (S) при сгорании выделяет большое количество теплоты, однако сернистые соединения при взаимодействии с расплавленными или нагреваемыми металлами ухудшают их качество: продукты горения, содержащие сернистые соединения, повышают коррозию металлических деталей печей, сталь, насыщенная серой, обладает повышенной красноломкостью. Сера обычно входит в состав углеводородов (до 4% и более).
Состав рабочего топлива:
Cp + Hp + Op + Np + Sp + Аp = 100 %.
Высушенное топливо, не имеющее влаги, называют сухой массой (с):
Cс + Hс + Oc + Nс + Sc + Ас = 100%. Органическую массу топлива, содержащую серу, называют горючей массой (г):
Сг + Нг + Ог + Nг + Sг = 100.
Газообразные топлива – это в основном смесь различных газов, таких как метан, этилен, и других углеводородов. Также в состав газообразного топлива входят оксид углерода, диоксид углерода или углекислого газа, азот, водород, сероводород, кислород и другие газы, а также водяные пары.
Природный газ добывают из чисто газовых месторождений или вместе с нефтью (попутный газ). В первом случае основной горючей составляющей является метан, содержание которого может доходить до 95– 98%. Попутные газы, помимо метана, содержат значительные количества других углеводородов: этан (С2Н6), пропан (С3Н8), бутан (С4Н10), пентан (С5Н12) и др. Попутные газы имеют высокую теплоту сгорания, но в качестве топлива их используют редко. Их применяют в основном в химической промышленности.
С помощью приборов, называемых газоанализаторами, определяют состав газообразного топлива.
В состав сухого газообразного топлива входят:
CH4+ C2H4+ CO2 + H2+ H2S + CmHn+ N2 + O2+… = 100.
Метан (СН4) – основная составляющая часть многих природных газов. При сгорании 1 м3 метана выделяется 35 800 кДж теплоты. Метана в природных газах может содержаться до 93-98%.
Этилен (С2Н4) – при сгорании 1 м3 этилена выделяется 59 000 кДжтеплоты. В газах может содержаться небольшое его количество.
Водород (Н2) – при сгорании 1 м3 водорода выделяется 10 800 кДж теплоты. Многие горючие газы, кроме коксового, содержат относительно небольшое количество водорода. Однако в коксовом газе его содержание может достигнуть 50-60%.
Пропан (С3Н8), бутан (С4Н10) – при горении этих углеводородов выделяется большее количество теплоты, чем при сгорании этилена, но в горючих газах их содержание незначительно.
Оксид углерода (СО) – при сгорании 1 м3 этого газа выделяется 1 2 770 кДж теплоты. Оксид углерода – основная горючая составляющая доменного газа. Этот газ не имеет ни цвета, ни запаха, очень ядовит.
Сероводород (H2S) – при горении 1 м3 сероводорода выделяется 23 400 кДж теплоты. При наличии в газообразном топливе сероводорода повышается коррозия металлических частей печи и газопровода. При одновременном присутствии в газе кислорода и влаги коррозирующее воздействие сероводорода усиливается. Сероводород – тяжелый газ с неприятным запахом, обладает высокой токсичностью.
Остальные газы (СО2, N2, О2) и пары воды – балластные составляющие. Их присутствие в топливе приводит к понижению температуры его горения. При повышении содержания этих газов снижается содержание горючих составляющих. Содержание в топливе более 0,5% свободного кислорода считается опасным по условиям техники безопасности.
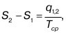
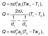
Теплота сгорания топлива – это то количество теплоты Q (кДж), которое выделяется при полном сгорании 1 кг жидкого или 1 м3 газообразного топлива.
В зависимости от агрегатного состояния влаги в продуктах сгорания имеет место разделение на высшую и низшую теплоту сгорания.
Влага в продуктах сгорания жидкого топлива образуется при горении горючей массы водорода Н, а также при испарении начальной влаги топлива w. В продукты сгорания попадает также и влага воздуха, использованного для горения. Однако ее обычно не учитывают. При содержании в топливе водорода с горючей массой Нр кг при горении образуется 9НР кг влаги. При этом в продуктах сгорания содержится (9НР + WP) кг влаги. На превращение 1 кг влаги в парообразное состояние затрачивается около 2500 кДж теплоты. Теплота, затраченная на испарение влаги, не будет использована, если конденсации паров воды не произойдет. В этом случае получим низшую теплоту сгорания.
QpH=QpB -25(Нp +Wp).
Теплоту сгорания определяют двумя методами: экспериментальным и расчетным.
При экспериментальном определении теплоты сгорания применяют калориметры.
Методика определения: навеску топлива сжигают в приборе (калориметре), теплота, выделяющаяся при горении топлива, поглощается водой. Зная массу воды, по изменению ее температуры можно вычислить теплоту сгорания. Этот метод хорош тем, что прост. Для определения теплоты сгорания достаточно иметь данные технического анализа.
Расчетный метод. Здесь теплоту сгорания определяют по формуле Д. И. Менделеева:
QpH= 339Сp +1030Нp -109(Оp-Sp) – 25 Wp кДж/ кг,
где Ср, Нр, Ор, Sp и Wр соответствуют содержание углерода, водорода, кислорода, серы и влаги в рабочем топливе, %.
Условное топливо – это понятие, которое используют для нормирования и учета расхода топлива.
Условным принято называть топливо с низшей теплотой сгорания (29 310 кДж/кг). Для перевода любого топлива в условное следует разделить его теплоту сгорания на 29 310 кДж/кг, т. е. найти эквивалент данного топлива: для мазута он равен 1,37-1,43, для природных газов – 1,2-1,4.
4. Основное топливо для печей
Мазут является продуктом переработки нефти, его используют для розжига печей. Теплота сгорания мазута равна 39-42 МДж/кг. Примерный состав мазута: 85-80% С; 10-12,5% НР; 0,5-1,0% (ОР + NP); 0,4– 2,5% SP; 0,1-0,2% АР; 2% WP. Содержание влаги в мазуте не должно превышать 2% при отправлении с нефтеперегонного завода. В мазуте также содержится сера, в зависимости от процентного содержания которой мазут подразделяют на малосернистый (<0,5% Sp), сернистый (0,5-1% Sp) и высокосернистый (>1% Sp).
Мазут подразделяют также по содержанию парафина и способу переработки нефти. Бывает мазут прямой перегонки (маловязкий) и крекинг-мазут, обладающий повышенной вязкостью. В зависимости от вязкости мазут классифицируют по маркам. Номер марки мазута показывает условную вязкость при температуре 50oС (ВУ50). Вязкость определяют с помощью приборов – вискозиметров. За условную вязкость принимают отношение времени истечения 200 см3 нефтепродукта при температуре испытания ко времени истечения такого же объема воды, имеющей температуру 20oС. В связи с этим показателем мазут подразделяют на марки 40, 100, 200 и МП (мазут для мартеновских печей).
С увеличением номера марки мазута увеличивается его плотность, которая составляет 0,95-1,05 г/см3 при 20oС; при повышении температуры плотность уменьшается.
При подготовке мазута к сжиганию необходимо учитывать его плотность и марку. Подготовка заключается в отстое и фильтрации мазута для отделения воды и механических примесей (глины, песка и т. п.), которая проходит при повышенной температуре, в результате чего происходит отделение мазута от воды: вязкость и плотность мазута при нагреве уменьшаются, вследствие чего он всплывает вверх. Внизу емкости скапливается влага, вверху – обезвоженный мазут.
При сливе из железнодорожных цистерн, при подаче по трубопроводам из заводских и цеховых емкостей к печам, а также при распылении форсунками (мазут обычно сжигают в распыленном состоянии) большое значение имеет вязкость мазута. На перекачку и распыление мазута затрачивается тем меньше энергии, чем ниже его вязкость. Следовательно, чем выше температура, тем ниже вязкость. Температуру выбирают по графикам вязкости, исходя из обеспечения условной вязкости мазута 5-10 ед.
Температуру вспышки мазута, т. е. температуру нагрева, при достижении которой начинается интенсивное выделение летучих составляющих, способных загораться от искры или пламени, необходимо учитывать при разогреве. Температура вспышки обычно изменяется в пределах 80-190оС. И не следует путать температуру вспышки и температуру воспламенения, под которой понимают температуру нагрева, при достижении которой (температура воспламенения мазута 530-600oС, газов – 500-700oС) мазут самопроизвольно воспламеняется и при благоприятных условиях продолжает гореть.
Горением называют процесс быстрого химического соединения горючих элементов топлива с окислителем (обычно с кислородом воздуха), сопровождающийся выделением теплоты и света.
Факел – один из видов пламени, который образуется при струйной подаче топлива и воздуха в печь. В факеле, который имеет конкретные формы и размеры, происходят единовременно процессы непосредственно горения, подогрева смеси до температуры воспламенения и перемешивания.
В теории горения различают гомогенное и гетерогенное горение. Гомогенное горение происходит в объеме, а гетерогенное горение – на поверхности капелек, а затем, после испарения летучих составляющих – на сажистых частицах. Чем меньше размер частиц жидкого топлива, тем больше будет удельная поверхность взаимодействия жидкой фазы с газовой. Поэтому распыление жидкого топлива позволяет сжечь больше топлива в единице объема, т. е. интенсифицировать горение.
Гомогенное горение может происходить в двух случаях, которые называются кинетическим и диффузионным. В кинетическом случае в зону горения (скажем, в рабочее пространство печи) подают заранее подготовленную топливно-воздушную смесь. Главная часть процесса – это непосредственный прогрев смеси и окисление горючих составляющих топлива и горение. При этом факел становится коротким и высокотемпературным. Предварительный подогрев смеси или обогащение воздуха кислородом ускоряют процесс горения: подогрев практически всех газовоздушных смесей до 500 °С способствует увеличению скорости горения почти в 10 раз.
Но температура предварительного подогрева смеси не должна превышать температуры ее воспламенения. При диффузионном горении процессы прогрева, смешения смеси и горения осуществляются в факеле одновременно. Наиболее медленная стадия – встречная диффузия молекул микро– и макрообъемов газа и воздуха, другими словами – смесеобразование. Поэтому факел будет длиннее, чем в первом случае. В стремлении сократить длину факела производят дробление газового и воздушного потоков на отдельные струйки. Также уменьшить факел помогает увеличение скоростей струй и направление потоков газа и воздуха под углом друг к другу и т. д.
Воспламенение смеси горючего газа и воздуха возможно только при их определенном соотношении. Их предельные соотношенияназывают концентрационными пределами. Различают нижний и верхний пределы, определяемые предельным содержанием горючего газа в смеси, %. Для водорода пределы имеют значения 4,1 – 75; оксида углерода – 12,5-75; метана – 5,3-14; коксового газа – 5,6-30,4, а для природного газа – 4-13.
В теплотехнике часто используют понятие теплового напряжения, под которым подразумевают количество теплоты, выделяющееся при сжигании топлива в единицу времени, отнесенное к 1 м3 топки или рабочего пространства печи. Для жидкого топлива оно доходит до 600 кВт/м3, а для газообразного – вдвое больше.
Для расчетов используют следующие соотношения и величины:
1) отношение объемного содержания азота к кислороду в обычном воздухе, не обогащенном кислородом, k= 3,76;
2) молекулярную массу химических элементов (для водорода она приближенно равна 2, для азота – 28, кислорода и серы – 32 кг/моль);
3) объемы воздуха и продуктов горения при нормаль-ныхусловиях (температура 0 °С, давление 101,3 кПа).
Рассмотрим состав жидкого топлива:
СP + НP + ОP + NP + Sp + Ар + Wp=100.
Горючими составляющими являются углерод, водород и сера. При использовании сухого воздуха реакции полного горения составляющих имеют вид:
С + О2 + kN2 =CO2 + kN2 +Q1;
2H2 + O2+ kN2 =2H2O + kN2 + Q2;
S + O2+ kN2 = SO2+ kN2 +Q3.
При горении 1 моля углерода и серы расходуется по 1 молю кислорода. При горении 2 молей водорода расходуется также 1 моль кислорода. С каждым молем кислорода в печь вносится k молей азота. Азот переходит в продукты горения. Поэтому, например, при горении 1 моля углерода получаются 1 моль углекислого газа и 3,76 моля азота. При горении углерода по этой реак6б ции выделяется количество теплоты Qt. При горении водорода образуется свой состав продуктов горения и выделяется иное количество теплоты.
На горение 1 моля углерода затрачивается 1 кмоль кислорода объемом 22,4 м3. Если надо рассчитать расход кислорода на 1 кг углерода, то объем 1 кмоля кислорода делят на молекулярную массу углерода, равную 12. Поэтому на 1 кг углерода расходуется 22,4 / 12 = = 1,867 м3/кг кислорода. Рассуждая аналогично, получим, что на горение 1 кг водорода затрачивается 22,4 / /(2 О2) = 5,5 м3 кислорода (произведение в знаменателе означает, что в реакции горения принимают участие две молекулы водорода с молекулярной массой 2). На горение 1 кг серы расходуется 22,4 / 32 = 0,7 м3 кислорода.
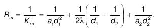
Отношение действительного расхода воздуха к теоретически необходимому расходу называют коэффициентом расхода воздуха:
α = La /L0, или La= αL0,
где La и L0– действительный и теоретический расходы воздуха, м3/кг или м3/м3. Коэффициент расхода воздуха зависит от вида топлива, конструкции топливосжигающего устройства (горелки или форсунки) и температуры подогрева воздуха и газа.
При недостатке воздуха или несовершенстве топли-восжигающих устройств горение может быть неполным.
Наличие в продуктах горения горючих составляющих (оксида углерода, водорода, метана или сажистого углерода) обусловливает химическую неполноту горения или, как чаще говорят, химический недожог топлива. Последний характеризуется потерями теплоты в процентах от низшей теплоты сгорания топлива.
Чем больше коэффициент расхода воздуха, тем полнее протекает процесс горения. Однако увеличение этого коэффициента приводит к повышенному расходу воздуха и значительным потерям теплоты с газами, уходящими из печи. Температура в печи снижается, что приводит к ухудшению теплоотдачи в рабочем пространстве и усиленному окислению металлов. Поэтому в практике эксплуатации печей стремятся к выбору оптимального коэффициента расхода воздуха a.
Контроль aосуществляют двумя методами. По одному из них измеряют расходы топлива и воздуха и с помощью заранее вычисленных таблиц определяют а.Од-нако этот метод не позволяет учесть воздух, попадающий в печь через рабочие окна и неплотности в кладке печей. Поэтому периодически коэффициент расхода воздуха проверяют по составу продуктов сгорания при помощи газоанализаторов. Химическим анализом определяют содержание в продуктах сгорания RO2, CO, Н2, СН4 и О2, а затем с помощью формулы С. Г. Тройба определяют a:
α = 1+ UO2изб/ ΣRO2.
Здесь O2изб = О2 – 0,5СО – 0,5Н2– 2СН4– содержание избыточного кислорода.
ΣRO2 = RO2+ CO + СН4+…,%;
U– коэффициент, зависящий от вида топлива.
Для мазута U=0,74, для природного газа – 0,5.
Рассмотрим примеры.
Задача.
Определить a,если RO2 14%, СО 4%, СН40,5%; Н2 1%, О2 2%.
O2изб = 2 – 0,5(4 + 1) – 2 О 0,5 = -1,5%;
ΣRO2 = 14 + 4 + 0,5 = 18,5%;
a= 1 – 0,5 О 1,5 / 18,5 = 0,96.
Некоторые положения в области тепловой работы печей могут быть получены непосредственно из классической термодинамики обратимых процессов.
Под тепловой работой печи понимается совокупность происходящих в ней тепловых процессов, конечной целью которых является совершение того или иного технологического процесса.
Представим себе печь как сочетание зон технологического процесса ЗТП и генерации тепла ЗГТ, огражденных от окружающей среды кладкой (футеровкой) К. В зоне технологического процесса сосредоточен материал М. Согласно первому закону термодинамики может быть записано следующее уравнение:
QэηK.И.Э =QM + Qk
где Qэ – введенная мощность, Вт/кг;
ηK.И.Э – коэффициент использования энергии в пределах рабочего пространства печи;
QM, Qk – соответственно мощность, усвоенная материалом М и кладкой К, Вт/кг.
Все величины в уравнении (1) отнесены к 1 кг массы материала М.
Коэффициент использования энергии ηK.И.Э зависит прежде всего от вида энергии. Так, электрическая энергия может полностью превращаться в тепло, усвоенное материалом (полезное) и кладкой, поэтому ηK.И.Э = 1. При использовании в печах химической энергии топлива коэффициент использования энергии ηK.И.Э всегда меньше единицы. В топливных печах этот коэффициент называют коэффициентом использования тепла ηK.И.Т Коэффициент характеризует важнейшее понятие о работоспособности энергии в конкретных условиях. В общем виде значение Ькиэ может быть записано следующим образом:
ηK.И.Э = (Qэ – Q´э)/Qэ =1 – Q´э/Qэ,
где Q3– мощность, которая в виде химического и физического тепла газовой фазы уходит за пределы рабочего пространства печи, Вт/кг.
Величина ηK.И.Э определяется, с одной стороны, полнотой сжигания топлива при данном коэффициенте расхода кислорода, т. е. быстротой смешиваний топлива и кислорода, и, значит, совершенством процессов мас-сообмена. С другой стороны, величина ηK.И.Э зависит от температуры уходящих из печи газов, т. е. от совершенства процессов теплообмена.
Работоспособность тепла и химической энергии зависит от заданных условий протекания технологического процесса и организации процессов тепло– и массопереноса и поэтому представляет собой величину, значение которой не может быть найдено с помощью термодинамики обратимых процессов, так как связано с кинетикой тепло– и массообмена.
Внутренняя энергия системы слагается из кинетической и потенциальной энергий. Кинетическая энергия – энергия беспорядочного движения атомов и молекул, потенциальная энергия – энергия их взаимного притяжения и отталкивания.
В соответствии с кинетической теорией газов (закон Максвелла-Больцмана) термодинамическое понятие равновесной температуры для идеального газа может быть расшифровано с помощью уравнения:
T = 2NEn /3R = Nmwn2 / 3R,
где Еп – энергия nчастиц с массой m в узком диапазоне значений их скоростей;
N – число Авогадро;
R– газовая постоянная.
Эффективная температура представляет собой некоторую условную (приведенную) температуру греющей части печи, при которой обеспечивается такая же плотность теплового потока излучения на поверхность нагрева только от греющей части печи, какая в действительности имеется в рассматриваемой печи.
Действительные температуры пламени (нагревателя) и внутренней поверхности футеровки зависят от температуры поверхности нагрева и теплогенерации и в общем случае, кроме того, от месторасположения в печи и от времени. Изменение этих величин по длине печи и во времени Т = f (l, t) характеризует температурный режим печи.
Величина теплогенерации, выражаемая в ваттах, называется тепловой мощностью QТ.М.. При стационарном режиме тепловая мощность является величиной постоянной, не зависящей от времени (QТ.М. = const). При нестационарном режиме QТ.М. = f (t). Отношение максимальной тепловой мощности к средней мощности иногда называют коэффициентом форсирования:
ξ ф= (QТ.М.)max/(QТ.М.)cp
Если через Dt обозначить длительность технологической операции:
(QТ.М.)ср = Q∑/ ∆ t.
Сочетания температурного и теплового режимов.
1. Практически постоянные во времени температурный и тепловой режимы
(Tn(t) = const; QТ.М.(r) = const).
2. Переменный температурный и постоянный во времени тепловой режимы
(Tn(t) = const; QТ.М.(t) = const).
3. Переменные во времени температурный и тепловой режимы
(Tn(t) = const; QТ.М. (t) = const), например нагревательные колодцы для слитков.
4. Постоянный во времени температурный и переменный тепловой режимы
(Tn(t) = const; QТ.М. (t) = const).
Тепловой баланс, составляемый на малые промежутки времени, иногда называют мгновенным. Назначение мгновенного баланса – выяснение динамики расхода энергии на технологический процесс, если процесс происходит в нестационарных тепловых условиях (печи периодического действия).
Для печей периодического действия составление тепловых балансов отличается тем, что у них все статьи теплового баланса изменяются во времени (у печей непрерывного действия постоянны во времени), поэтому при составлении баланса за какой-то отрезок времени приходится брать средние значения за указанный период. Второй особенностью является наличие в статье потерь тепла составляющей на аккумуляцию тепла кладкой Qakk, которая может иметь различный знак: положительный – при увеличении температуры в печи и отрицательный – при ее уменьшении в ходе технологического процесса.
В большинстве случаев уравнения тепловых балансов решаются относительно расхода топлива В.
Обратные тепловые балансы, в том числе мгновенные, используются обычно при исследовании действующих печей. Уравнения обратных тепловых балансов обычно решаются относительно полезно используемого тепла Qm и служат для его нахождения на основании экспериментальных определений всех остальных статей баланса.
При составлении теплового баланса необходимо следить за тем, чтобы все входные и выходные величины, используемые в тепловом балансе, брались для границ той части объекта, для которой составляется тепловой баланс. Во избежание возможных ошибок в выборе величины для составления теплового баланса удобно пользоваться схемой соответствующего объекта. Необходимо провести на этой схеме вспомогательные контуры, пересекающие в соответствующих местах линии потоков материалов.
Статьи баланса могут выражаться в количестве тепла в джоулях за какой-то промежуток времени или в соответствующих величинах тепловой мощности.
Приходные статьи баланса
1. Химическая энергия топлива QXT или электроэнергия Qээ. Если В – расход топлива, кг/с или м3/с, a QpH – теплота его сгорания, то:
QXT = ВQpH
2. Тепло, вносимое нагретым топливом, QФT.
3. Результирующий тепловой эффект химических реакций, протекающих при технологическом процессе, QТЕХН. Если эффект отрицательный, то данная статья переносится в расходную часть баланса.
4. Тепло, вносимое воздухом, вводимым для сжигания топлива для технологических целей, QФВ, в.
5. Тепло, вносимое нагретыми твердыми и жидкими шихтовыми материалами,QФМ.
1. Тепло твердых и жидких продуктов технологического процесса QФП
2. Тепло уходящих газов (химическое и физическое), включая газообразные продукты технологического процесса и подсосанный из атмосферы воздух, Qyx.
3. Тепловые потери (в сумме) от механического недожога через кладку (теплопроводностью и аккумуляцией), излучением через отверстия с охлаждающей водой Qпот.
Суммируя приходные и расходные статьи баланса, приравнивая эти суммы, получаем уравнение теплового баланса, одинаково справедливого для любого класса и вида печей, причем, естественно, не все статьи в каждом конкретном балансе могут иметь место:
QXT + Qээ + QФT± QТЕХН + QФB + QФМ = QФП + Qyx + Qпот
В правой части уравнения представлено полезно использованное тепло qм, в левой – его выражение через теплотехнические величины, сравнительно легко измеряемые в практических условиях.
Отношение полезно использованного тепла к приходу тепла с топливом и воздухом называется коэффициентом полезного теплоиспользования:
ηКПТ =QM /(QXT + QФT + QФB).
Эта величина аналогична коэффициенту полезного действия – понятию, используемому при оценке работы машин и механизмов. Коэффициент полезного тепло-использования характеризует эффективность тепловой работы печи и позволяет сравнивать совершенство энергетики различных печей. Допустим, что водяные числа W (водяное число W равняется произведению теплоемкости на массовый расход) продуктов сгорания и исходных веществ (топливо и воздух) горения равны, тогда подставив qyx в уравнение теплового баланса и разделив на W, получим:

где ηкит. – коофициент полезного использования топлива;
или

где Ттеор иТфтеор – теоретическая температура горения топлива без учета и с учетом физического тепла топлива и воздуха горения; Тагрух – температура уходящих газов из агрегата.
Поскольку Тагр.ух и Ов.пот относительно малы, постольку теоретическая температура горения при подогреве воздуха за счет тепла отходящих газов зависит (при данной теоретической температуре горения топлива при холодном воздухе) от коофициента использования тепла, в рабочем пространстве печи:

Анализ работы печей с точки зрения термодинамики дает возможность установить некоторые общие положения, характеризующие итоговые результаты работы печей.
Применение первого и второго законов термодинамики позволяет оценить энергетические итоги только завершенного процесса переноса тепла или заданных элементов такого процесса и вместе с тем не позволяет определить производительность тепловых устройств и, в частности, печей.
Энергетическая оценка позволяет судить о полноте использования энергии в данном тепловом устройстве и ничего не говорит о работоспособности переданной энергии. Напротив, эксергетическая оценка позволяет судить о безвозвратныхпотеряхэнергиии, о качественной характеристике переданной энергии и не позволяет судить о полноте использования энергии в данном устройстве.
При одном и том же расходе энергии процесс переноса тепла в принципе тем более эффективен, чем выше температура среды, воспринимающей тепло, так как при этом обесценивание энергии меньше. При одинаковой эксер-гии греющей среды использование энергии в тепловом устройстве ухудшается по мере увеличения необходимой по технологическим соображениям температуры поверхности нагрева. Чем выше необходимая температура поверхности нагрева, тем выше должна быть эксергия греющей среды и тем выше требования к качеству топлива и условиям его сжигания. Напротив, при низкой температуре поверхности нагрева или нагреваемой среды применение греющей среды с высокой эк-сергией нецелесообразно, так как все равно происходит процесс обесценивания энергии.
Печи рассчитывают и конструируют, стремясь обеспечить по возможности более высокий коэффициент использования энергии η kиэ.
Для получения максимального ηкит агригата ηкитт рабочего пространства должен иметь некоторое оптимальное, но не максимальное значение.
Оценка топлив путем вычисления возможных значений ηкит. агрегата при различных условиях сжигания топлива является весьма важной для конструирования печей и установления рациональных режимов их работы.
Аэродинамические контуры – это геометрическое место точек, где скорости струи приближаются к нулю. Контуры горения определяют по величине химического недожога топлива, при этом продольная координата, соответствующая длине контура горения, представляет собой длину факела Lф.
Для облегчения математического описания процессов горения в факеле и их расчета целесообразно задаться какой-либо минимальной величиной недожога, которая бы характеризовала контур факела и его длину. Для того чтобы унифицировать этот размер, следует принять цифру 0,5% СО или соответствующее значение q3.Для высококалорийного топлива (такого как мазут, природный и коксовый газы) величине 0,5% СО в продуктах сгорания при a=1 соответствует потеря тепла qз =1,3-1,8%. Следовательно, для оценки длины факела этих топлив можно принимать величину равную примерно 2% (учитывая некоторое количество водорода в продуктах сгорания).
Длина факела. Как правило, для мартеновской печи нужен короткий факел. В период завалки его видимая часть должна заканчиваться примерно на середине рабочего пространства печи, а в период доводки желательно удлинять факел, чтобы он занимал 3/4 длины ванны. Но всегда необходимо, чтобы в последнем по ходу факела завалочном окне было чисто и не было никаких признаков догорания топлива.
Форма факела. В мартеновских печах форма факела имеет первостепенное значение. Необходимо, чтобы он был настильным – покрывал ванну, не касаясь повоз-можности передней и задней стенок, и был максимально удален от главного свода, т. е. по визуальным наблюдениям он должен быть тонким и без протуберанцев. Такой факел обычно называют настильным и жестким.
Вот почему для отопления мартеновских печей необходимы специальные форсунки. Угол наклона форсунки к зеркалу ванны следует выбирать таким, чтобы была обеспечена требуемая форма факела и не происходила чрезмерно большая его деформация.
О размерах факела и его форме часто судят по топографии разрушения кладки мартеновских печей (сводов и стен). Как правило, локальные разрушения происходят по контуру факела.
Скоростные характеристики. Разумеется, что для обеспечения настильности и жесткости факела его аэродинамические характеристики должны быть достаточно высокими, т. е. начальная скорость истечения струи из форсунки и скорости разлета факела вблизи ванны на всей ее длине должны быть достаточно большими, чтобы не произошли отрыв факела от ванны и подъем его к своду.
Скоростные характеристики определяют и длину факела, и его окислительную способность. Кроме того, они отражают степень непосредственно механического воздействия факела на ванну печи, что является необходимым для уменьшения пенообразования и улучшения кипения ванны.
Окислительная способность. От организации факела в мартеновской печи в значительной степени зависит и протекание оченьважных для технологии процессов, в частности процесса окисления углерода. Процессы окисления примесей ванны в основном определяются процессами массообмена, как это показано в технической литературе.
Для интенсификации теплообмена в рабочем пространстве мартеновских печей (особенно крупнотоннажных, работающих на жидком чугуне) необходимо принимать все меры для ускорения реализации химической энергии примесей ванны и дожигания окиси углерода непосредственно у поверхности ванны. Этот процесс самоускоряется: создание условий для интенсивного выгорания обеспечивает кипение ванны, что в свою очередь способствует переносу в ванну тепла и кислорода из атмосферы печи. Поэтому всякое улучшение подачи нагретого в регенераторах воздуха к поверхности ванны создает условия для ускорения плавки. Интенсифицировать же массообмен можно созданием короткого и направленного факела и применением интенсификаторов. Нельзя забывать и о необходимости правильного распределения тепла и окислителя по поверхности ванны для того, чтобы ванна кипела равномерно и без вспенивания шлака. Это требование может быть удовлетворено при подборе факела соответствующей длины и при обеспечении его определенных радиационных характеристик, что, естественно, невозможно без средств управления факелом.
Радиационные характеристики. Факел мартеновской печи должен быть светящим, т. е. обладать максимально возможной степенью черноты (при достаточно высокой температуре). Этот не вызывающий сомнений в практических условиях принцип в теории время от времени, начиная с работ Е. К. Венст-рема, подвергается сомнению. Однако каждый раз результаты исследований и опыт работы печей опровергают подобные сомнения как, например, происходило в последнее время при переводе мартеновских печей на отопление природным газом и работе их на легких мазутах. Очевидно, что в совмещении двух последних требований, предъявляемых к факелу («короткий» ив то же время «светящийся»), есть известное противоречие, так как чем быстрее протекают процессы перемешивания топлива с воздухом и процессы горения, тем меньше создается возможностей для выделения углеродистых частиц, обеспечивающих светимость факела.
Теоретические исследования как раз и состоят в том, чтобы помочь конструкторам и производственникам в изыскании наиболее эффективного факела. Так как интенсивность процессов тепло– и массопередачи и стой-костьпечи в большой мере определяются длиной факела, исследователи искали прежде всего ответ на важнейший вопрос: какова длина факела и от каких факторов она зависит.
В ходе поисков новых способов отопления мартеновских печей мазутом проводили теплотехнические исследования и изучали поведение серы в рабочем пространстве печи. Исследовали газомазутную печь, печи, отапливаемые мазутом, распыляемым в ее рабочем пространстве, и печи, отапливаемые газифицированным мазутом.
При проведении теплотехнических исследований печи отапливали в основном легкими, маловязкими мазутами, поступающими с южных нефтеперегонных заводов. На всех печах в период доводки поддерживали одинаковую тепловую нагрузку: расход мазута составлял 2400 кг/ч, ак= 1,3.
Содержание сажи определяли весовым методом.
Для контроля полноты осаждения сажи за основным фильтром из стеклянной ваты устанавливали фильтр из гигроскопической ваты.
Температуру газа в газовом пролете (на расстоянии 150 мм до выхода газов из кессона) измеряли вольф-раммолибденовой штыковой термопарой, вмонтированной в кожух, охлаждаемый водой. Рабочий спай термопары был защищен кварцевым наконечником.
Изучение радиационных свойств факелов начали с замера радиационных температур факела и кладки по длине рабочего пространства печи. Для этого использовали пирометры полного излучения РАПИР с телескопами ТЕРЛ-50. Пять пирометров стационарно устанавливали и направляли на факел через водоохлаждаемые фурмы, заложенные в задней стенке печи. Установка пирометров со стороны задней стенки печи позволила проводить опыты в течение всей плавки.
Для измерения тепловых потоков использовали термозонд ВНИИМТ, который вводили в рабочее пространство печи через гляделки завалочных окон.
Для более полного изучения радиационных характеристик факелов были определены степени их черноты и шмидтовскне температуры. Величины вф определяли в четырех точках по длине рабочего пространства печи.
Тепловые потоки измеряли остроугольным радиационным пирометром.
При градуировке торцового радиометра одновременно с определением величин момент отключения мазута отбирали пробы газов из рабочего пространства печи. Химический анализ этих проб показал, что поглощающие компоненты печной атмосферы не могут сколько-нибудь заметно повлиять на результаты градуировки (содержание СО2 <0,1%).
Характер зависимости тк и тч от показаний радиометра оказался примерно одинаковым для всех исследованных печей.
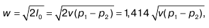
Температура горения факела:

где LРф.к.– длина факела M;
x– влагосодержание мазута, кг/кг.
Получено при отоплении печей газифицированным мазутом.
На печах, отапливаемых газифицированным мазутом, получаются высокие значения вф. Это может быть объяснено интенсивным сажевыделением в процессе окислительного крекинга мазута, а также большей толщиной излучающего слоя факела. В первой половине рабочего пространства печи степень черноты находится в пределах еф = 0,7-0,95 и изменяется по длине факела относительно мало. Вблизи середины рабочего пространства еф резко уменьшается и в конце его достигает наименьших значений (еф = 0,13-0,18).
Четко заметное влияние марки мазута на радиационные характеристики факела удалось наблюдать на двух-канальной мазутной печи. Увеличение вязкости мазута сопровождалось повышением значений еф по всей длине печи. Так, при использовании мазута марки 40 против второго завалочного окна по ходу факела величина еф = 0,67, а при сжигании мазута марки 80 еф = 0,76. При увеличении номера марки мазута повышалась и теплоотдача.
Стойкость печи также связана с вязкостью мазута, так как при повышении вязкости максимальная температура факела в конце рабочего пространства понижалась.
Согласно визуальным наблюдениям при отоплении печи высоковязким мазутом светимость факела сохраняется до 2/3 длины рабочего пространства, значительно меньше пенится шлак и быстрее нагревается металл.
При отоплении двухканальной печи мазутом марки 80 в качестве распылителя использовали перегретый пар под давлением 11 атм и компрессорный воздух под давлением 5,5-6,0 атм. В случае распыления мазута компрессорным воздухом наблюдали некоторое увеличение степени черноты факела, а также qфк.
Результаты исследований тепловой работы печей позволяют сделать следующие выводы:
1) состав и температура мазутного полугаза определяются величиной коэффициента расхода первичного воздуха при газификации мазута; оптимальное его значение составляет a1 около 0,4;
2) при использовании легких и маловязких мазутов наиболее высокие значения падающих на ванну тепловых потоков теплопоглощения ванны, высокое значение у корня факела и в первой половине печи и наименьшие – около убирающей головки получены для печей, отапливаемых газифицированным мазутом;
3) при сжигании тяжелого мазута разница как в абсолютных, так и в относительныхзначениях.
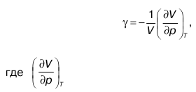
Давление
Р – мера силы, которая действует на единицу поверхности:
Р = lim ∆Fn / ∆S = dFn/ dS,
где DS → 0; ∆Fn – сила, направленная перпендикулярно участку поверхности.
Удельный объем
V – величина, обратная плотности rвещества:
v = 1 / r= dV/ dm,
где dV– бесконечно малый элемент объема;
dm– масса вещества.
Моль
Количество вещества, которое содержит число молекул, равное числу атомов, содержащихся в 12 г изотопа углерода 12С, называется молем.
Число Авогадро
NA= 6,02 ч 1023 моль-1. Величина, необходимая при расчетах. Показывает, сколько молекул содержится в одном моле любого вещества.
Молярная масса
М – масса одного моля:
М = NAm × 1а. е. м,
где NA– число Авогадро;
m– молекулярная масса.
Молярная масса [M] = кг/моль и молярный объем [VM] = м3/моль.
Объем одного моля – молярный объем:
VM = M / r
где M– молярная масса;
r– плотность вещества.
Формулы для определения числа молей вещества и числа молекул вещества имеют следующий вид:
u= m /M= V/ VM,
N = uNA= (m / M)NA = (V/ VM)NA.
Температура
За меру температуры принято брать среднюю кинетическую энергию поступательного движения молекул. Если два тела при соприкосновении не обмениваются энергией путем теплообмена, можно говорить, что эти тела имеют одинаковую температуру и в системе существует тепловое равновесие.
Существуют три агрегатных состояния: твердое, жидкое и газообразное.
Если параметры системы не изменяется со временем, то можно говорить о термодинамическом равновесии системы.
Совокупность тел и полей, которые могут обмениваться энергией не только между собой, но и с внешней средой, называют термодинамической системой. Если в термодинамической системе происходит изменение внутренней энергии, то можно говорить о совершении этой системой работы и о теплообмене между частями системы.
Термодинамически параметры состояния
Давление, температура, плотность, концентрация, объем системы – термодинамические параметры состояния.
Процесс, при котором отсутствует теплообмен между системой и внешней средой, называется адиабатическим. Первый закон термодинамики при dQ = 0 выглядит следующим образом:
CvdT + PdV= 0,
а при учете dT= (PdV + VdP) / Rполучим следующую форму записи:
dP/ P= -gdV/ V,
где g– показатель адиабаты;
Р – давление;
V– объем.
Это уравнение имеет решение в виде:
PV g= const.
Оно называется уравнением Пуассона. С учетом уравнения Менделеева-Клайперона уравнение Пуассона будет выглядеть как:
Tv g-1 = const,
T gp1-g = const.
Уравнения Пуассона описывают квазистатические адиабатические процессы. Адиабатическое сжатие приводит к тому, что газ нагревается, в случае адиабатического расширения он охлаждается.
В отличие от изотермического процесса для адиабатического процесса характерно более быстрое уменьшение давления с увеличением объема. Работа, которую совершает газ при адиабатическом процессе, всегда меньше работы, совершаемой при изотермическом процессе, если считать изменение объема одинаковым для обоих случаев. При адиабатическом процессе существует зависимость работы от показателя адиабаты. Устремив g → 1, получим значение работы при изотермическом процессе, т. е. произойдет переход адиабаты (Q = const) в изотерму (T= const).
Процесс называется политропическим, если считать, что теплоемкость остается постоянной. Первый закон термодинамики при С = const выглядит следующим образом:
(C– Cv)dT = PdV,
а при учете dT= (PdV + VdP)/ R получим следующую форму записи:
ndV/ V= -dP/ P,
n= (C– CP)/ (C– CV),
Уравнение имеет решение в виде:
PVn= const,
где P– давление газа;
V– объем газа.
Для политропического процесса характерно наличие частичного теплообмена системы с внешней средой. Кривая политропического процесса расположена на PV-диаграмме между изотермой (Г = const) и адиабатой (Q= const) и называется политропой. С учетом уравнения Менделеева-Клайперона уравнение политропы будет выглядеть следующим образом:
TV n-1 = const,
T nPn-1= const.
Определим работу, которую совершает газ при политропическом процессе:
А12 = (m / M)R(T1 – T2) / (n – 1),
где m– масса газа;
M– молярная масса газа;
R– универсальная газовая постоянная;
n– показатель политропы;
T1 и T2– начальная и конечная температуры.
Случай Т2 > T1 и А12 < 0 соответствует сжатию газа, т. е. работа совершается над ним. Показатель политропы можно получить из опыта. В отдельных случаях политропический процесс может переходить в следующие термодинамические процессы.
1. Адиабатический процесс: С = 0, n= g= C /C и Pg = const, dU= CvdT= -dA, d/ = CpdT= -gdA.
2. Изотермический процесс: С = Ґ, n =1 и PV = const, T = const, dA= PdV, dU= 0, dl = 0, dQ= dA.
3. Изобарический процесс: С = Ср, n= 0 и V/T = const, Р = const, dA = PdV, dU = CVdT, dl= dU+ PdV= dQ = CpdT.
4. Изохорический процесс: С = С, n= Ґ и Р/T = const, V= const, dA= 0, dU= CVdT = dQ, dl = dU + PdV = CpdT.
Теплотой называется процесс изменения внутренней энергии при постоянных внешних параметрах ч = = const. Тела могут передавать энергию друг другу непосредственно при контакте или излучая ее. Теплоту называют микроскопическим преобразованием энергии. Процесс передачи теплоты определяется работой, которую совершают молекулы при хаотическом тепловом движении. Количество теплоты имеет в СИ следующую размерность: [Q] = Дж. Также пользуются единицами теплоты – калориями, 1 кал = 4,1868 Дж. Если тело, участвующее в процессе, принимает количество теплоты, то его записывают со знаком плюс, а если отдает, то количество теплоты имеет знак минус.
Формула для определения элементарного количества теплоты, которое сообщается телу для изменения его температуры:
dQ= CdT,
где С – теплоемкость тела.
С = dQ / dT.
Физический смысл теплоемкости – это величина, равная тому количеству теплоты, которое необходимо передать телу, чтобы изменить его температуру на 10К. Теплоемкость С определяется массой тела, его химическим составом и термодинамическим состоянием.
Понятие теплоемкости включает в себя понятия удельной и молярной теплоемкости. Теплоемкость единицы массы вещества называют удельной теплоемкостью. В случае однородного тела она равна:
c = C/ m,
где m – масса газа.
Теплоемкость одного моля вещества называют молярной или молекулярной теплоемкостью (обозначается С). Молярная и удельная теплоемкости связаны соотношением:
с = С / М,
где М – молярная масса вещества.
В СИ удельная и молярная теплоемкости имеют следующие размерности: [с] = Дж/кгК, [С] = Дж/мольК.
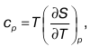
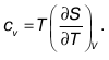
Понятие теплоемкости включает в себя два вида теплоемкости: при постоянном объеме и при постоянном давлении. Теплоемкость (удельная и молярная) при постоянном объеме определяется нагреванием тела при V = const и обозначается cv и Cv. Теплоемкость (удельная и молярная) при постоянном давлении определяется нагреванием тела при Р = const и обозначается ср и Cp
Работой называется процесс изменения внутренней энергии за счет изменения внешних параметров при dQ= 0. Элементарной работой называется работа, которую совершает система при бесконечно малом квазистатическом расширении, вследствие чего происходит увеличение объема системы на dV:
dA= Fdx = PSdx = PdV,
где Sdx = dV – приращение объема;
S– площадь поверхности, перпендикулярно которой действует сила F;
Р – давление.
Идеализированный процесс, при котором возможен переход системы из одного равновесного состояния в другое состояние равновесия, называют квазистатическим. Характерной чертой квазистатических процессов является равенство внутреннего давления газа внешнему давлению: Р = Р', и dА' = -dА = -Р'dV – работа внешних сил. Для конечного процесса полную работу можно вычислить следующим образом:

то работа А12 не зависит от начального и конечного состояний системы и определяется способом перехода системы из одного состояния в другое. Работа не является функцией состояния.
В случае, когда система имеет несколько степеней свободы, а ее внутреннее состояние определяется внешними параметрами xn и температурой T, над внешними телами системой будет совершаться элементарная работа:
dА = Х1dx1+ Х2dx2+ … + Хndxn,
где x1,x2,…,xn– функции внешних параметров состояния системы x (обобщенные силы). Если температурные изменения внешней среды не оказывают никакого влияния на состояние системы, то такую систему принято называть адиабатически изолированной. Внутреннюю энергию адиабатически изолированной системы можно задать как некоторую функцию состояния U,причем приращение этой функции должно быть равным работе, которая совершается над системой при ее переходе из начального состояния в конечное независимо от пути:
А12 = U2 - U1,
где U2и U1– внутренние энергии системы в состояниях 2 и 1.
Одним из законов идеального газа является закон Бойля-Мариотта, который гласит: произведение давления Pна объем Vгаза при неизменных массе газа и температуре постоянно. Это равенство носит название уравнения изотермы. Изотерма изображается на PV-диаграмме состояния газа в виде гиперболы и в зависимости от температуры газа занимает то или иное положение. Процесс, идущий при Т = const, называется изотермическим. Газ при Т = const обладает постоянной внутренней энергией U. Если газ изотермически расширяется, то вся теплота идет на совершение работы. Работа, которую совершает газ, расширяясь изотермически, равна количеству теплоты, которое нужно сообщить газу для ее выполнения:
dА= dQ= PdV,
где dА– элементарная работа;
dV-элементарный объем;
P– давление. Если V1 > V2 и P1 < P2, то газ сжимается, и работа принимает отрицательное значение. Для того чтобы условие Т = const выполнялось, необходимо считать изменения давления и объема бесконечно медленными. Также предъявляется требование к среде, в которой находится газ: она должна обладать достаточно большой теплоемкостью. Формулы для расчета подходят и в случае подвода к системе тепловой энергии. Сжимаемостью газа называется его свойство изменяться в объеме при изменении давления. Каждое вещество имеет коэффициент сжимаемости, и он равен:
c = 1 / V О (dV / CP)T,
здесь производная берется при Т= const.
Коэффициент сжимаемости вводится, чтобы охарактеризовать изменение объема при изменении давления. Для идеального газа он равен:
c = -1 / P.
В СИ коэффициент сжимаемости имеет следующую размерность: [c] = м2/Н.
Закон Гей-Люссака гласит: отношение объема газа к его температуре при неизменных давлении газа и его массе постоянно.
V/ Т = m/ MО R/ P= const
при P = const, m = const.
Это равенство носит название уравнения изобары.
Изобара изображается на PV-диаграмме прямой, параллельной оси V. Процесс, идущий при P= const, называется изобарическим. Если V1и Т1 – начальные, а V2 и Т2 – конечные объем и температура, то справедливо равенство:
V1 / Т1 = V2 / Т2.
Работу газа, которая совершается им при расширении, легко найти, посчитав площадь треугольника на PV-диаграмме:
A12 = PDV= m/ MО RDT,
где DV= V2– V1 – изменение объема;
DT = Т2– T1 – изменение температуры.
На VT-диаграмме изобара изображается прямой, выходящей из начала координат. Закон Гей-Люссака можно записать в следующей форме:
V =V0(1+ avt),
где V – объем при температуре t,отсчитанной от 0oC;
V0 – объем идеального газа при температуре Т0= 273,j6 K.
Коэффициентом объемного расширения называют величину:
av = V/ V0T = 1/ Т0= 1/ 273,16 К-1.
В общем случае любого вещества коэффициент объемного расширения определяется как:
a = 1/ VO/ (dV/dT)p.
Коэффициент объемного расширения идеального газа равен:
a= 1/ Т.
Если Т = 0 oC, то a =aV
Для реальных газов закон Гей-Люссака не выполняется в области низких температур (т. е. вблизи абсолютного нуля). При охлаждении до абсолютного нуля все, кроме гелия, газы сжижаются.
Закон Шарля утверждает, что отношение давления газа к его температуре постоянно, если объем и масса газа неизменны:
P/ Т = m/ MО R/ V = const
при V = const, m = const.
Это равенство носит название уравнения изохоры.
Изохора изображается на PV-диаграмме прямой, параллельной оси P, а на PT-диаграмме это прямая, которая выходит из начала координат. Процесс, идущий при V = const, называется изохорическим. Характерной особенностью изохорического процесса является то, что газ при V = const работы не совершает. При подводе тепловой энергии к газу происходит увеличение его внутренней энергии за счет подводимого тепла:
DU = m/ MО CvDT,
где M – молярная масса;
CV– молярная теплоемкость;
DT = Т2 – T1 – изменение температуры.
Если P1 и Т1 – начальные, а P2 и Т2 – конечные давление и температура, то:
P1 / Т1 = P2 / Т2
Закон Шарля может быть записан в следующей форме:
Р = Р0(1 + apt)
где Р – давление при температуре t, отсчитанной от 0 оС;
Р0 – давление идеального газа при температуре Т0=273,16 К.
Температурным коэффициентом изменения давления, или просто термическим коэффициентом давления, называют следующий параметр:
aр= Р / Р0T = 1 / T0.
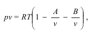
Уравнение состояния идеального газа описывает связь между его температурой и давлением. Поскольку давление идеального газа в замкнутой системе P = 1/3 О mn<v2>, P= nkT, то уравнение идеального газа будет выглядеть следующим образом:
P = NkT,
где N – число молекул, содержащихся в объеме V.
PV = m/ M × NkT,
PV= m/ M × RT,
где M – молярная масса;
Na– число Авогадро;
k– постоянная Больцмана;
R– универсальная газовая постоянная.
Равенство носит название уравнения Менделеева-Клайперона. В случае, когда количество вещества газа – 1 моль, уравнение Менделеева-Клайперона примет вид PV = RT.Газ можно считать идеальным, если его состояние описывается уравнением Менде-леева-Клайперона или одним из его следствий.
F(P, V, t0) носит название уравнения состояния. На PV-диаграмме совокупность состояний с t0 = const представлена в виде гиперболы. Множество гипербол, отвечающих различным температурам, называются изотермами. Процесс, при котором происходит переход газа из одного состояния в другое при t0 = const, называется изотермическим.
В случае P = const (1) имеет место линейная зависимость объема некоторой массы газа от температуры:
V = V0(1 + at0).
Она представляет собой закон Гей-Люссака. Аналогично для V= const:
P = P0(1 + at0).
Из этих уравнений следует, что все изобары и изохо-ры пересекают ось t0в одной единственной точке, определяемой из условия 1 + at0= 0. Решение этого уравнения:
t0 = -1 / a= -273,15 oC.
R= 8,31 ч 103Дж/(град. ч кмоль) – универсальная газовая постоянная.
PV = m / m × RT.
Отношение массы mгаза (вещества) к количеству газа (вещества) vэтой системы называют молярной массой газа (вещества):
М = m/ v.
Размерность молярной массы следующая: [M] = 1 кг / 1 моль.
Следствие из закона Авогадро позволяет найти отношение удельных объемов:
v2 / v1 = M1 / M2
или
v1M1= M2v2.
Последнее соотношение отражает важное свойство идеального газа: при одинаковых физических условиях произведение удельного объема газа на его молярную массу является постоянной величиной, не зависящей от природы газа, т. е. vM= idem. Произведение vM представляет собой объем 1 моля идеального газа, а последнее равенство означает равенство молярных объемов всех газов при одинаковых давлениях и температурах.
Уравнение состояния для одного моля газа выглядит следующим образом:
PVm = MRT,
где MR = Rm= PVm/ T.
Произведение MR есть универсальная (молярная) газовая постоянная. Физический смысл универсальной газовой постоянной состоит в том, что это есть ра26б бота одного моля идеального газа при изменении температуры на 1o и постоянном давлении процесса. Она не зависит от природы газа. R= = 8,314/м. Уравнение вида
PVm= 8,314T
называют универсальным уравнением состояния.
Универсальным уравнением состояния идеального газа можно считать уравнение Менделеева– Клайперона:
PV = uRT.
Если поддерживать объем постоянным, а в качестве температурного признака взять давление газа, то можно получить термометр, обладающий идеально линейной шкалой. Она называется идеальной газовой шкалой температур. Удобно брать в качестве термометрического вещества водород. Шкала, установленная по водороду, называется эмпирической шкалой температур.
Множество нескольких различных газов, между которыми невозможно осуществить химическое взаимодействие, называют смесью идеальных газов. Давление рассчитывается по формуле:
Pi = NikT/ V,
где i= 1, 2, r, называется парциальным,
r– число газов в смеси;
N – число молекул i-го газа;
V– объем смеси;
k– постоянная Больцмана;
Т – температура.
Закон Дальтона отражает зависимость между давлением смеси идеальных газов и их парциальными давлениями. Он гласит: «Давление смеси rидеальных газов и сумма их парциальных давлений равны между собой». Математическая формулировка закона Дальтона выглядит следующим образом:
Р = Р1 + Р2 +… + Pr = NkT/ V,
где N = N1 + N2 +. + Nr – число молекул в смеси r газов.
Закон Амага. Он отражает зависимость между объемом смеси идеальныхгазов и их парциальными объемами. Закон Амага гласит: «Объем смеси rидеальных газов и сумма их парциальных объемов равны между собой»:
V = V1+ V2+ … + Vr.
Параметры газовой смеси можно найти, зная закон Клапейрона:
PV = mRT,
Отношение массы каждого газа к общей массе смеси называют массовой долей:
g1 = m1/ m; g2= m2/ m; …; gn = mn/ m,
где g1, g2, gn– массовые доли;
m1, m2, mn– массы газов по отдельности;
m– масса смеси.
Сумма массовых долей всех газов смеси равняется единице.
Масса смеси является суммой масс газов, входящих в эту смесь.
Отношение парциального объема к объему всей смеси называют объемной долей:
r1= V1/ V, r2= V2/ V,., rn = Vn/ V,
где r1, r2, rn– объемные доли;
V1, V2,., Vn– парциальные объемы газов смеси;
V– объем смеси газов.
Уравнение для нахождения удельной газовой постоянной смеси:
R = еgiRi= 8314,2(g1/ M1+ g2/ M2+… + gn/ Mn)
Зная молярную массу смеси, можно найти газовую постоянную смеси:
R = 8,314 / M.
Зная объемный состав смеси, получим следующие формулы:
gi= (R / Ri),
еgi = Rе(ri / Ri) = 1.
Формула для вычисления удельной газовой постоянной примет вид:
R= 1 / е(ri/Ri) = 1 / (r1/ R1 + R2+… + rn / Rn).
Средняя молярная масса смеси газов является достаточно условной величиной:
M = 8314,2 / R,
M= 8314,2 / (g1R1+ g2R2 +. + gnRn).
Если произвести замену удельных газовых постоянных R1, R2,…, Rn их значениями из уравнения Клайперона, найдем среднюю молярную массу смеси газов, если смесь определяется массовыми долями:
M= 1 / (r1/ M1+ r2/ M2+. + rn/ Mn).
В случае, когда смесь определяется объемными долями, получаем следующее выражение:
R= 1 / еriRi = 8314,2 / еriMi.
Зная, что R = 8314,2 / M, получим:
M= еriMi = r1M1 + r2M2 +. + rnMn.
Таким образом, средняя молярная масса смеси газов определяется суммой произведений объемных долей на молярные массы отдельных газов, из которых состоит смесь.
Давление, записанное в виде: Pi=NikT/ V,
где i= 1,2,..., r, называется парциальным. Здесь r– число газов в смеси;
Ni– число молекул i-го газа;
V– объем смеси;
k– постоянная Больцмана;
Т – температура.
Оно может быть найдено, если все основные параметры газа известны:
Pi = miRiT/ V =miRi/ mR = PgiRi/ R = PgiM/Mi
Если смесь задается объемными долями, то для получения парциального давления каждого газа обращаются к закону Бойля-Мариотта, из которого можно найти, что при Т = const:
PiV = PVi и Pi = PVi / V = riP.
Парциальное давление любого газа вычисляется как произведение общего давления смеси газов на его объемную долю. Последнее уравнение используют при решении технических задач и при проверке тепловых установок. Объемные доли газов получают на опыте, используя газоанализаторы.
Физический смысл парциального давления Piсостоит в том, что это есть давление i-го газа при условии, что он занимал бы объем V.
Закон Дальтона отражает зависимость между давлением смеси идеальных газов и их парциальными давлениями. Он гласит: давление смеси rидеальных газов и сумма их парциальных давлений равны между собой. Математическая формулировка закона Дальтона выглядит следующим образом:
Р = Р1 + Р2 + ...+ Pr= NkT/ V,
где N = N1 + N2 +... + Nr – число молекул в смеси r газов.
Давление, которое оказывают молекулы каждого из rидеальных газов, не зависит от давления, оказываемого молекулами остальных газов. Причина такого явления заключается в том, что молекулы в идеальном газе не взаимодействуют. Было показано на опыте, что на высоких давлениях (порядка Ю6 Па) закон Дальтона не выполняется.
Первый закон термодинамики основан на всеобщем законе сохранения и превращения энергии, который устанавливает, что энергия не создается и не исчезает.
Тела, участвующие в термодинамическом процессе, взаимодействуют друг с другом путем обмена энергией. При этом у однихтел энергия уменьшается, а у других – увеличивается. Существует два варианта передачи энергии физическими телами: теплообмен и совершение механической работы.
На практике единицей работы является также джоуль, количество работы обозначается L, удельная работа на единицу массы П кг) обозначается /.
Существует несколько основных положений первого закона термодинамики.
L Любые виды энергии не возникают сами по себе, а взаимно превращаются друг в друга, причем их количества всегда одинаковы.
2. Невозможно построить вечный двигатель первого рода.
3. Если система полностью изолирована, то ее внутренняя энергия остается постоянной.
Предположим, что Q– количество теплоты, подведенное к телу, которое необходимо затратить на осуществление работы и на преобразование внутренней энергии:
Q = ΔU +L,
где L = ml– количество работы;
ДU = mДu– разность внутренней энергии начального и конечного состояния;
Q = mq.
В случае массы тела, равной 1 кг:
q = Δu+l,
где l, q, Du – удельные количества работы, теплоты, разность внутренних энергий начального и конечного состояния. Если процесс бесконечно малый, то
dq = du + dl.
Полученное соотношение является математической моделью первого закона термодинамики. Отсюда следует такая формулировка закона: «Все количество теплоты, которое получает физическое тело, тратится на выполнение работы и на преобразование внутренней энергии тела».
Существует так называемое правило знаков для параметров: q > 0, если теплота подводится к физическому телу, и q <0, если отводится; l > 0, если работа совершается самим телом (расширение), и l < 0, если работу совершают над телом извне (сжатие); Du > 0 – если внутренняя энергия тела увеличивается, Du < 0 – если внутренняя энергия уменьшается.
Внутренняя энергия складывается из внутренних кинетической и потенциальной энергий. Внутренняя кинетическая энергия создается хаотическим движением молекул вещества.
Кинетическая энергия всей макросистемы вычисляется:

где m– масса системы;
w– скорость ее движения в пространстве.
Силы взаимодействия молекул вещества друг с другом определяют внутреннюю потенциальную энергию тела.
Внутренней энергией называется такая энергия, которая заключена в самой системе и имеет две составляющие – кинетическую энергию.
Изменение удельной потенциальной (внутренней) энергии того же тела. Изменение всей удельной (внутренней) энергии при термодинамическом процессе будет выглядеть так:
Δu – Uk– ир.
Внутренняя энергия рабочего тела произвольной массы при этом рассчитывается по формуле:
Δv-Vk – Vp.
Предположим, что рабочее тело переходит из первого состояния во второе при подводе теплоты извне. Тогда количество этой теплоты выразится в виде:
q1,2 – u2 -U1.
Процесс проходит по изохорному закону, имеем:
q1,2 = ćv (T2 -T1).
В общем виде для любого вещества массой m:
v2 -v1 – mćv(T2– T1),
где T1 – начальная температура термодинамического процесса;
T2– конечная температура;
u1 – начальная величина внутренней энергии;
u2 – конечная величина внутренней энергии;
ć– средняя удельная теплоемкость (изохорная).
Газ получает теплоту от определенного источника вне системы. обозначим давление газа буквой р, площадь поршня – S, тогда под действием внешней силы F = pS на поршень он будет неподвижен. При уменьшении внешней силы F разность этих двух сил pS – F сместит поршень вправо. Газ под поршнем будет расширяться и преодолевать внешние силы, совершая при этом работу. При равновесном процессе имеем следующее.
1. Поршень должен перемещаться по цилиндру бесконечно медленно (т. е. с бесконечно малой скоростью). Это даст возможность считать, что давление газа по всему объему в любой момент времени одинаково.
2. Температура источника тепла практически не отличается от температуры рабочего тела (в качестве которого используем газ), т. е. разность их температур бесконечно мала. Это дает возможность считать, что температура по всему объему газа в любой момент времени одинакова.
При таких условиях процесс расширения рабочего тела в любой момент времени будет иметь температуру, плотность и давление одинаковыми во всем объеме, т. е. его состояние также будет равновесным.
Аналитическое решение задачи для вычисления работы газа вследствие его расширения. Скорость поршня во время перемещения его в цилиндре бесконечно мала. Поэтому для анализа процесса расширения разобьем весь отрезок пути, пройденного поршнем, на бесконечно малые части dl. Тогда dA(элементарная работа) на любом элементарном отрезке dl определяется произведением:
dA = pSdl,
где pS– сила;
dl– путь.
Используя равенство
Sdl = dv,
получаем
dA = pdv.
Дает выражение:

где А – работа, которую при расширении совершает газ массой j кг.
Такую работу, которую газ совершает при расширении, называют еще технической.
Если термодинамическая система под действием внешних сил проходит ряд последовательных состояний, то их совокупность называют термодинамическим процессом. Этот процесс совершается рабочим телом, а его состояние изменяется таким образом, что масса остается постоянной. Основным свойством упрощенного идеального процесса считается его обратимость.
Обратимыми называются процессы, протекающие как в прямом, так и в обратном направлении, и при которых ни в рабочем теле, ни в окружающем пространстве не возникают остаточные изменения. Причем рабочее тело проходит в обоих направлениях через те же самые равновесные элементарные состояния и в конце процесса возвращается в первоначальную точку.
Любой обратимый процесс является равновесным. Процесс называется равновесным, если последовательные состояния, которые проходит система, будут также равновесными. Процесс, протекающий очень медленно и таким образом в любой момент времени приближающийся к равновесному, называется квазистатическим (он также обратим).
Графически равновесное состояние изображается в виде точки в пространственной системе координат с тремя параметрами v, р, Т, а сам равновесный процесс – кривой, проходящей через ряд таких точек.
Состояние системы называется равновесным, если в любой момент времени во всем объеме, который занимает газ, величины v, р, Т (параметры состояния) одинаковы, хотя они изменяются во времени в случае изменения состояния. В случае изолированной системы она со временем возвращается в состояние равновесия и сама из него выйти не может. На практике обратимые процессы возможны при определенных условиях.
1. Рабочее тело изменяет свое состояние бесконечно медленно.
2. У рабочего тела существует бесконечное множество равновесных состояний.
3. Теплообмен с внешней средой (необратимый процесс), внешнее трение, внутреннее трение частиц тела друг о друга отсутствуют.
4. В рабочем веществе не проходят никакие химические изменения.
Процессы, не удовлетворяющие свойству обратимости, являются необратимыми.
Любой реальный процесс, в котором рабочее тело изменяет свое состояние, является необратимым.
Любой реальный процесс является также неравновесным. Это объясняется тем, что процесс имеет конечную скорость и равновесное состояние в рабочем веществе установиться просто не успевает. Реальные процессы могут приближаться к области равновесия, но не совпадать с равновесными процессами, они могут проходить только в прямом направлении, а в обратном – только при воздействии извне.
Второй закон термодинамики позволяет ответить на вопросы: возможно или нет развитие рассматриваемого процесса, какое направление процесса будет преобладающим, когда в термодинамической системе установится равновесие. А также этот закон помогает определить условия, при которых система совершит максимальное количество работы.
Сущность этого закона впервые выразил французский ученый и инженер Сади Карно (1824 г.). Он писал, что везде, где только есть разность температур, возможно появление движущей силы. Причем она зависит только от температур взаимодействующих тел и не зависит от вида этих тел. Для получения больших величин такой движущей силы первоначальная температура рабочего тела должна быть значительной, и соответственно охлаждение также велико. Кроме того, никогда не будет возможно использовать на практике движущую силу (энергию) топлива в полном виде.
Эти утверждения ученого определяют условия преобразования теплоты двигателей в полезную работу и от каких параметров зависит качество этого преобразования. Исходя из установленных положений следует говорить о необходимости протекания в тепловых устройствах одновременно двух процессов – основного, при котором теплота превращается в работу, и дополнительного – сопутствующего процесса перехода тепла к холодному источнику.
В термодинамике самопроизвольными называют такие процессы, про которые можно сказать, что они протекают сами по себе, т. е. самостоятельно. По второму закону самопроизвольные процессы происходят только тогда, когда отсутствует равновесие в термодинамической системе. Причем направление протекания таких процессов совпадает с направлением приближения системы к точке равновесия.
Основу второго начала термодинамики составляют постулаты. Первый постулат немецкого ученого Р. Клау-зиуса (1850 г.) представляет общую формулировку второго закона в таком виде: «От одного тела (менее нагретого) к другому (более нагретому) теплота не переходит самопроизвольно, а только с помощью компенсации». Другой постулат (лорда Кельвина-Томсона, 1852 г.) гласит, что невозможно создать тепловую машину – вечный двигатель второго рода (в котором теплота полностью переходит в работу). Отсюда следует, чтотепловой двигатель будет выполнять работу только при наличии не менее двух источников тепла с различными температурами. Причем только часть всей теплоты, выделенной теплоотдатчиком (источник теплоты, имеющий высокую температуру), возможно превратить в полезную работу. Остальное тепло отводится к теплоприемнику.
На практике самопроизвольные процессы (переход тепла от горячих к холодным телам, диффузии, явления растворения и многие другие) являются необратимыми. Поэтому существует еще одна формулировка второго закона термодинамики: «Если реальный процесс является самопроизвольным, то он необратим».
Источники, имеющие высокую температуру (Т1) и отдающие теплоту рабочему телу, называются теплоот-датчиками. Источники, имеющие низкую температуру (Т2) и получающие теплоту от рабочего вещества, называются теплоприемниками.
На РУ-диаграмме полезная работа кругового процесса равна площади, образованной кривыми прямого и обратного хода процесса и заключенной внутри цикла. Если на графике линия расширения расположена над линией сжатия, направление цикла происходит по часовой стрелке и произведенная в процессе работа потребляется внешними устройствами, такой цикл является прямым. Если на диаграмме линия сжатия расположена выше линии расширения, направление цикла происходит против часовой стрелки и работа совершается с помощью внешнего источника, такой цикл является обратным.
Полезную работу двигателя возможно получить только в случае, когда работа расширения больше работы по сжатию. Преобразование теплоты в механическую работу является несамопроизвольным процессом и обязательно должно сопровождаться компенсацией.
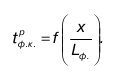
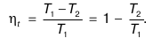
Тепловые устройства считаются идеальными, если в них нет потерь. Цикл также считается идеальным, если образован только обратимыми явлениями. В тепловых двигателях оценку экономичности идеального прямого цикла называют термическим коэффициентом полезного действия. Он равен отношению теплоты, которая преобразовалась в ходе цикла в работу, ко всей подведенной теплоте и обозначается ht(«эта», греческая буква):

где 1ц – полезная работа;
q1 – подведенная теплота;
q2 – отведенная теплота. Внешняя работа при обратном цикле равна:
1ц = q1 – q2,
где q1– отведенная теплота к горячему источнику;
q2 – отведенная теплота от холодного источника.
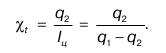
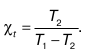
Для обратного идеального цикла существует термин холодильного КПД, который обозначается χt:

Можно сформулировать второй закон термодинамики таким образом: «В тепловом двигателе преобразование теплоты в механическую работу на 100% невозможно».
В термодинамических исследованиях практическое применение получило не только прямое, но и обратное направление цикла Карно. Отличие обратного цикла заключается в том, что теплота отводится от источника с низкой температурой и отдается источнику с высокой температурой. Такой цикл является идеальным для холодильных агрегатов.
Рабочее тело, участвующее в обратном цикле, называется холодильным агентом. При адиабатическом расширении температура снижается от значения 71 до величины Тт После этого при получении теплоты Я2 от холодного источника (Т2) газ изотермически сжимается. В следующем процессе происходит адиабатическое сжатие, и температура рабочего тела повышается от значения Т2 до величины Т1. При изотермическом сжатии теплота q1 отнимается от рабочего вещества и переходит к горячему источнику.
Холодильная машина работает по обратному циклу, на создание которого тратится удельное количество работы (I). В этом случае от холодного к горячему источнику передается q2 (количество теплоты), а горячий источник еще получает теплоту, численно равную произведенной работе I. Таким образом, полное количество теплоты, отведенное к горячему источнику, равно:
q1 = q2 + 1
Работа в процессе расширения положительна, а работа в процессе сжатия отрицательна. Полная работа, необходимая для передачи теплоты от холодного к горячему источнику, равна:
I = q1 – q2
и отрицательна.
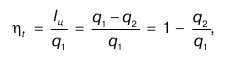
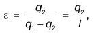
Холодильный коэффициент e характеризует производительность работы холодильных устройств и определяется отношением:

где q2 – количество теплоты, отведенной от холодного источника и полученной горячим источником;
I – совершенная работа.
Для обратного и обратимого цикла Карно холодильный коэффициент вычисляется с помощью соотношения:

Проведем краткий анализ формулы для термине-ского КПД обратимого прямого цикла Карно:

Из данного равенства следует:
1) термический КПД зависит только от значений температур горячего и холодного источников;
2) ht(для цикла Карно) тем больше, чем выше температура горячего источника (71) и чем ниже температура холодного источника (72);
3) в цикле Карно термический КПД обязательно должен быть меньше единицы. Так как ht= 1 может быть только в случае T2 / T1 = 0, когда T1 = 0, либо T2 = 0 (или T2 = -273,15 oC). Температура холодного источника 72 в реальных тепловых двигателях представляет собой обычно температуру T2 = 260 – 300 K (окружающей среды). Температура нагревателя в топке паросиловых установок равна примерно 2000 К, а в двигателях внутреннего сгорания – около 2500 К, так как в поршневых цилиндрах этих двигателей стенки охлаждаются, и рабочим веществом становятся именно продукты сгорания. Отсюда вытекает то же утверждение, что всю теплоту, подведенную к газу в ходе цикла, нельзя полностью превратить в полезную работу, этот переход обязательно должен сопровождаться потерей части теплоты (она поглощается холодным источником);
4) в цикле Карно термический КПД равен нулю в случае T1 = T2. Из этого следует, что если в системе поддерживается тепловое равновесие, т. е. температура всех тел системы одинакова, то преобразование теплоты в полезную работу невозможно. Для цикла Карно (прямого) верно: ht= 1 – T2/ T1 = 1 – 1 = 0 при T1 = ηt= T2 (в случае равенства температур обоих источников);
5) термический КПД ηt характеризует обратимый цикл Карно (круговой процесс). Все реальные процессы необратимы, это объясняется потерями энергии (из-за теплообмена, трения и др.). Поэтому термический КПД реального цикла Карно (необратимого) всегда меньше величины 1 – T2 / T1. Главной особенностью этого цикла является то, что он одинаков как для идеальных, так и для обычных реальных газов, если заданы температуры (T1, T2) источников. Это утверждение представляет собой сущность теоремы Карно, которая гласит: «В тепловом двигателе для всякого обратимого цикла термический КПД не будет зависеть ни от характера цикла, ни от рода вещества (рабочего тела)». Он будет определяться только отношением температур нагревателя (теплоотдатчика) и холодильника (теплоприемника). Другими словами, в тепловом двигателе для каждого обратимого цикла термический КПД вычисляется с помощью такой же формулы, которая определена для обратимого цикла Карно.
Энтропией называется параметр состояния, который зависит от приведенной теплоты (отношение q /T). Изменение энтропии вычисляется по формуле:

где q1,2 количество теплоты, подведенной к рабочему телу или отведенной от него;
Tср – средняя температура подведенной (или отведенной) теплоты.
Это соотношение определяет изменение энтропии от начального значения энтропии S1 до конечного значения S2
1) при q1,2 > 0 (теплота подводится к рабочему телу) изменение энтропии положительно: S2– S1> 0, S2> S1, так как средняя термодинамическая температура должна быть всегда положительной, т. е. Tср > 0. Иными словами, энтропия тела возрастает;
2) при q1,2 < 0 (теплота отводится от рабочего тела) изменение энтропии отрицательно: S2– S1 <0, S2 < S1 т. е. энтропия тела снижается;
3) при q1,2 = 0 (адиабатический процесс) изменение энтропии равно нулю: S2 – S1= 0, S2 = S1 т. е. энтропия тела остается постоянной. Процесс, в ходе которого значение энтропии не меняется, называется изоэнтропийным.
Для идеального газа получаем следующие выводы.
1. При изотермическом процессе вместо Tср достаточно в уравнение энтропии подставлять значения температуры Т, так как T1= T2 = const.
2. Изменение энтропии при изохорном процессе равно:
S2 – S1 = 2,3mćv lg(T2 / T1).
3. Изменение энтропии при изобарном процессе равно:
S2 – S1 = 2,3mćp lg(T2 / T1).
где ćV – удельная теплоемкость в процессе с постоянным объемом;
ćp– удельная теплоемкость в процессе с постоянным давлением.
Таким образом, энтропия может увеличиваться (уменьшаться) при подведении (отведении) теплоты к произвольно взятому рабочему телу либо оставаться неизменной в случае отсутствия теплообмена. При совершении цикла энтропия рабочего тела также увеличиваетсяпри получении теплоты от источника либо уменьшается при отдаче теплоты источнику.
В реальныхпроцессах вследствие явления необратимости работоспособность теплового устройства снижается. Мерой таких потерь является энтропия: ее возрастание прямо зависит от потери количества работы.
Исследуем понятие энтропии как функции состояния:

Второй закон термодинамики можно сформу лировать в виде: Величина энтропии
представляет собой полный диффереренциал, т. е. является функцией состояния.
Одним из физических смыслов энтропии можно назвать увеличение организованности (упорядоченности) системы при уменьшении энтропии.
Рассмотрим явление возрастания энтропии на примере замкнутой изолированной системы, состоящей из рабочего тела, горячего и холодного источников теплоты, образующих среду системы. Переход системы из одного положения в другое сопровождается работой, причем
dS ≥ 0,S2 > S1.
Для изолированной замкнутой системы изменение (приращение) энтропии положительно (необратимый процесс) либо равно нулю (обратимый процесс) для произвольного термодинамического процесса.
Для циклического процесса преобразования теплоты в работу (несамопроизвольного) SdSi = 0 (обратимые процессы) и SdS > 0 (необратимые процессы), следовательно, в изолированной системе энтропия возрастает.
Это утверждение называется принципом возрастания энтропии.
Математическое выражение второго закона термодинамики в дифференциальном виде записывается так:
где знак равенства применяется для обратимого процесса, а неравенства – для необратимого.
Из этого уравнения видно, что общее приращение энтропии зависит от температуры. Известно, что при повышении температуры рабочего тела повышается количество теплоты, которое можно преобразовать в работу. Иначе говоря, энергетическая ценность теплоты возрастает. Таким образом, энтропия через температуру определяет количество теплоты, переведенное в работу, что устанавливает ее связь со вторым законом термодинамики. В этом законе определяются условия преобразования теплоты в полезную работу.
Эксэргетическими функциями называются выражения, позволяющие вычислять величину эксэргии.
Известно, что в теории механики для изучения движения отдельных молекул применяются динамические закономерности. Молекулярно-кинетическая теория отличается от механики тем, что изучает системы, состоящие из большого количества молекул. Хаотическое движение частиц в таких системах подчиняется другим (статистическим) законам. Несмотря на то что движение каждой молекулы описывается механическими законами, вся совокупность частиц не рассматривается в теории механики, ее поведение изучается статистической физикой. Дело в том, что для всех частиц устанавливается среднее значение их характеристик – средняя скорость, среднее значение энергии и др. (средняя температура, среднее давление).
При таких статистических условиях усреднение характеристик существования любого термодинамического состояния вещества (например, газа) не является строго обязательным, а только имеет некоторую вероятность.
Самым простым примером является случай равенства скоростей всех молекул газа как наименьшая вероятность существования состояния данного вещества. Обозначим условно такую вероятность значением величины В случае неодинаковых скоростей возможное число их комбинаций велико, и существование состояния, при котором скорости частиц не равны, имеет вероятность W > W0, причем это отличие довольно значительно. Таким образом, термодинамической вероятностью называется величина:

ее значение намного больше единицы, в связи с чем ее также называют статистическим весом термодинамического состояния. Статистическая физика также устанавливает связь термодинамической вероятности с энтропией системы.
Прямая зависимость энтропии от логарифма термодинамической вероятности определяется выражением:

где R – постоянная Клайперона;
N0 – постоянная Авогадро.
Величина K является константой (или постоянной) Больцмана.
Следовательно, с увеличением энтропии увеличивается вероятность наступления того или иного термодинамического состояния. Причем наиболее вероятное состояние наступает при максимальном значении энтропии.
В общем случае для реальных газов при вычислении параметров состояния нельзя использовать уравнение состояния pv = RT,
которое верно для идеальных газов.
Общее уравнение состояния для реальных газов.

в котором коэффициенты Bi – называются вириальными. Эти коэффициенты являются функцией температуры молекул реального газа и потенциальной энергии их взаимодействия.
В определении Вi – коэффициентов производят расчет только первых двух членов ряда, остальные вириальные коэффициенты отбрасываются.
Тогда уравнение состояния для реальных газов принимает следующий вид:

где А и В – два первых вириальных коэффициента, зависящих только от температуры.
В частном случае (малая плотность газа) уравнение имеет форму:

Если В1 = f(T, Uпотенц), то уравнение превращается в уравнение состояния для реального газа Ван-дер-Ваальса:

где b– минимальный объем, который может приобретать реальный газ при сжатии;
а – коэффициент, не являющийся функцией параметров состояния.
Для разных газов величины а и b различны.
Иными словами, уравнение Ван-дер-Ваальса – это частный случай закона Боголюбова-Майера, в котором пренебрегают всеми членами 1/v выше второй степени. Если реальный газ имеет высокую плотность, то уравнения такого типа будут верны при большем количестве членов ряда. В этом случае уравнения состояния реальных газов дают точность вычислений, приемлемую на практике.
Универсальное уравнение, описывающее состояние любых реальных газов, было получено в 1939 г. русскими учеными И. И. Новиковым и М. Н. Вукаловичем. В нем
уже учитывалось явление силового взаимодействия молекул (ассоциация, диссоциация) и в общей форме оно записывалось в виде:

где А и В– коэффициенты, вычисляемые по формулам:

где а и b – для реальных газов постоянные величины в уравнениях состояния;
R – универсальная газовая постоянная; r, c, k, m1, m2 – коэффициенты, выражающие степень ассоциации.
Иначе уравнение Вукаловича-Новикова можно представить в виде:

где а и b – постоянные величины в уравнении Ван-дер-Ваальса; m, c – постоянные, рассчитываемые опытным путем.
В общем случае основными для перегретого пара (аналогично газу) являются такие параметры состояния, как температура, давление и удельный объем. Перегретый пар близок по свойствам к идеальному газу, так как его параметры расположены далеко от критической точки и от пограничной кривой (верхняя кривая на диаграммах). Если давление перегретого пара не очень велико, то его уравнение состояния можно получить, используя уравнение Ван-дер-Ваальса для случая реального газа, путем введения в него поправок.
Для водяного пара уравнение состояния М. Н. Вукаловича и И. И. Новикова в современной термодинамике является наиболее точным уравнением. Причем его можно использовать и для расчета состояний перегретого пара (при условии и для расчета давления), если добавить к нему несколько последующих членов уравнения.
Свойства реальных веществ описываются термическими коэффициентами.
Определение 1. Коэффициентом объемного расширенияaназывается изменение объема вещества при повышении его температуры на один градус.

– частная производная параметров состояния.
Она характеризует изменение объема вещества с определенной массой, если его температура повышается на один градус, а внешнее давление остается постоянным.

Определение 2. Термическим коэффициентом давления b называется изменение давления в зависимости от изменения температуры вещества. Эта величина также относительная и рассчитывается как:

где

– частная производная,характеризующая изменения давления p,если температура вещества повышается на один градус, а объем остается постоянным, давление pявляется функцией температуры.

Определение 3. Изотермическим коэффициентом сжимаемостиgназывается изменение объема в зависимости от изменения давления.

– частная производная, характеризует изменение объема вещества, если давление меняется на одну единицу.
Функции, описывающие любые термодинамические свойства, называются характеристическими функциями или термодинамическими потенциалами системы. Наиболее важными характеристическими функциями являются: энтальпия
i= i(S,p),
внутренняя энергия
U= U(S,v),
изобарно-изотермический потенциал, или свободная энтальпия,
Z= Z(T,p),
изохорно-изотермическтий потенциал, или свободная энергия,
F= F (T,v).
К основным свойствам характеристических функций относятся следующие.
1. Термодинамические потенциалы отличаются от других функций тем, что имеют более простую структуру и определенное физическое значение.
2. Параметры состояния системы равны частным производным от термодинамического потенциала, взятым по тем же параметрам.
3. В результате дифференцирования термодинамического потенциала получается полный дифференциал данной функции.
4. Используя характеристические функции, записанные в дифференциальном виде, можно получить любые термодинамические параметры системы.
5. Термодинамический потенциал всей системы складывается из значений потенциала ее частей, т. е. обладает свойством аддитивности.
6. Характеристические функции устанавливают зависимость между различными термодинамическими свойствами вещества. Так, например, первые производные от потенциала характеризуют термические свойства (т. е. величины, измеряемые непосредственно приборами – объем, температура, давление), а вторые производные соответствуют калорическим свойствам системы (это величины, выраженные в единицах теплоты – теплоемкость, энтропия, энтальпия, внутренняя энергия).
7. Частные производные характеристических функций позволяютсоставлять уравнения теплоемкостей Cv и Cp, уравнения состояния и другие термодинамические зависимости.
8. Функция является характеристической только при определенных параметрах. При выборе других переменных она утрачиваетсвои свойства, потому что в этом случае частные производные не выражают термодинамические свойства системы.
Химической энергией называется такая энергия, которая образуется в результате химических взаимодействий и входит в состав внутренней энергии вещества. Химические реакции делятся на экзотермические (проходящие с выделением энергии) и эндотермические (сопровождающиеся ее поглощением).
В случае химической реакции меняется внутренняя энергия системы, так как меняется поглощение атомов в веществах-реагентах. Для таких процессов, можно применить первое начало термодинамики в виде:
U1-U2 =∆U=Q+A,
где Q– количество теплоты;
DU – изменение внутренней энергии вещества;
А – полезная работа, включающая работу по преодолению также различных электромагнитных сил.
Работа, совершенная в процессе обратимой химической реакции, является максимальной. Ее выражают с помощью уравнения Гиббса-Гельмгольца:

Рассмотрим химический потенциал реакции. В случае химических реакций масса реагирующих веществ не постоянна, ее можно определить в виде функции т (количество вещества) от основных параметров (v, p, T, F, S, Uи т. д). Продифференцируем равенство:
U = mu,
где u– удельное количество внутренней энергии, имеем:
dU = mdu + udm,
ф = u– ST+ pv = i– ST
j– химический потенциал.
Но, химическим потенциалом называется частная производная по массе, взятая от какого-либо термодинамического потенциала при определенных значениях аргумента. Химический потенциал показывает, как меняется энергия вещества, если его масса изменяется на единицу.
Дифференциальные уравнения в термодинамике используются для исследования реальных газов, при теоретических (и практических) вычислениях.
Рассмотрим следующие случаи.
1. Независимыми переменными являются параметры p, V.

это первый закон термодинамики в дифференциальной форме.
2. Независимыми переменными являются параметры р, Т.

а полный дифференциал объема имеет вид:

3. Независимыми переменными являются параметры V, T.

4. При p= const теплоемкость

при v = const теплоемкость

1. Частная производная по объему:

Это частная производная по объему, взятая от значения внутренней энергии. 2. Частная производная по давлению.
Подставим значение dQв отношение dS = dQ/ T, получаем:

Это частная производная по давлению, взятая от значения внутренней энергии. 3. Частная производная по температуре.


Это частная производная по температуре, взятая от значения внутренней энергии.
Согласно газовой теории потока течение газа в случае стационарности определяется с помощью специальной системы уравнений. В нее входят следующие соотношения:
1) уравнение энергии для газового потока;
2) уравнение состояния;
3) уравнение для неразрывности газового потока.
Уравнение энергии следует из первого начала
термодинамики для газовых потоков.
Уравнением неразрывности называется соотношение:
Gv = Fw.
Из него следует, что в случае установившегося течения газа в каждом сечении потока расход газа по массе является постоянной величиной. Иначе это уравнение можно записать в виде:
G =pFw =p1F1w1 =P2F2w2 =const,
где r1,r2, r= 1/v плотность газа в поперечных сечениях;
F1, F2– площадь сечения потока;
w1, w2– скорость потока, измеряется в области сечения.
В данном случае имеется два сечения потока (1-е и 2-е), а величина Gиз этого уравнения называется массовым расходом газа (в секунду).
Как известно, второй закон Ньютона гласит: «Сила определяется произведением массы и ускорения». Если газовый поток имеет одномерный характер, то из второго закона следует:

В данном соотношении каждый член имеет определенное физическое значение. Рассмотрим каждый множитель из уравнения.
1. Величина

показывает, как изменяется давление в зависимости от Х-координаты.
2. Величина

показывает, как изменяется скорость в зависимости от Х-координаты.
3. Соотношение

равно силе, приложенной к элементарному объему, dV – выделенный объем.
dw
4. Величина

газа равна ускорению массы pdV(элементарная масса).
Работа проталкивания. Для ее определения в уравнение:

подставим равенство i = u +pv, получим в результате:

где d(pv) – работа проталкивания, рассчитанная для элементарного объема,
d(pv) = pdv + vdp – уравнение для элементарной работы.
Соотношение (2), включающее силы гравитации, имеет вид:

В том случае, когда течение газа представлено в виде адиабатного процесса, при котором dq = 0, соотношение (1) записывается таким образом:

При адиабатном движении потока сумма удельной кинетической энергии и удельной энтальпии является постоянной величиной.
Если техническая работа имеет место в процессе, то для газового потока первое начало термодинамики будет иметь вид:

где dlTEK– полезная работа (элементарная).

Исследуем процесс перемещения (истечения) газового потока.
Предположим наличие некоторой емкости, в ней содержится пар или газ (т. е. рабочее тело), имеющий параметры состояния в виде величин f1, v1, p1. Из данного сосуда, в стенке которого находится отверстие, газ вытекает в окружающую среду. Это происходит вследствие разницы в давлениях (p1– p2), газ на выходе имеет давление p1 < p2 Соответственно температура газа при этом равна t2, а удельный объем – v2 Для того чтобы струя вытекающего газа получила заданное направление, с наружной стороны сосуда к поверхности, где расположено отверстие, приставляют насадки цилиндрической формы (так называемые сопла). Чаще всего они имеют форму усеченного конуса, суживающегося к наружному краю. Такие сопла называются кон-фузорами. В случае канала, работающего по обратному процессу, такое сопло является диффузором. Устьем называют внешнее (т. е. на выходе) сечение сопла.
Обозначим скорость газовой струи на выходе из устья величиной а на входе в сосуд – величиной W1 (втекающий газ), при этом сопло имеет устье, поперечное сечение которого определяется площадью f. На практике w1намного меньше w2,при вычислениях ею пренебрегают и принимают: w1= 0, w2= w.

dq = du + dA,
где dA = pdv – работа по расширению, или совершаемая самим газом элементарная работа. Отсюда:

Таким образом, в результате истечения газа мы располагаем работой, равной A0.Численно она равна либо увеличению кинетической энергии в ходе истечения, либо сумме работ проталкивания и против внешних сил.
Скорость истечения в сужающемся канале
Рассмотрим процесс адиабатного истечения вещества. Предположим, что рабочее тело с некоторым удельным объемом (v1) находится в резервуаре под определенным давлением (p1).Процесс истечения заключается в перемещении газа (или пара) из среды, имеющей давление p1(резервуар) в окружающую среду, давление в которой p2 < p1.При этом за время процесса истечения рабочего вещества из сопла давление внутри резервуара практически не уменьшается, это допустимо в случае очень большого объема резервуара. При перемещении потока газа (пара) через сопло его потенциальная энергия очень мала и ее изменением обычно пренебрегают. Кинетическая энергия в этом случае возрастает.

где w1– скорость перемещения потока вещества во входном сечении насадки;
w2– скорость на выходе сопла.

скорость истечения газа (пара)из сопла.
Чаще всего скорость w1 намного меньше скорости w2 (W1 << W2), поэтому ею пренебрегают и считают W1 = 0.
Тогда:

Массовой скоростью перемещения потока называется отношение:

где Gc– секундный расход пара (газа);
S – площадь сечения потока;
r– плотность рабочего тела.

Располагаемая работа для любого вещества, являющегося рабочим телом, определяется по формуле:
I0 = q + (i1 – i2).
Если течение адиабатное (при q = 0)

где i– энтальпия (Дж/кг);
W2 = w– скорость истечения (м/с).
Величину Di = i1 – i2, равную разности энтальпий, называют теплопадением газа (пара).

а для капельной жидкости справедливо равенство:

где w– скорость истечения жидкости из сопла.
Массовым расходом называется количество вещества, которое за секунду вытекает через насадки. Оно равно отношению секундного объема истечения вещества (газа) У2 к удельному объемутого же вещества соответствующего давлению p2:

массовый расход (его также определяют из уравнения неразрывности: Gv = Sw).
Анализ формулы для скорости истечения показывает, что при уменьшении значения p2/p1 увеличивается скорость потока. Это возможно, например, если pi = const, а давление p2 уменьшается.
Из опытов известно, что уменьшение давления на выходе суживающегося сопла (или сопла постоянного сечения) p2 может осуществляться лишь до некоторого предельного значения, так называемого критического давления (pкритич). При этом критическим отношением давлений называется величина b= pкритич/p1, отсюда Pк = bp1
В результате уменьшения давления p0 (внешней среды) при p1= const возможны два случая:
1) po ≥ Pк, т. е. пока давление po уменьшается до критического значения, соблюдается равенство p2= po где p2 – давление вещества на выходе суживающегося сопла, po – давление внешней среды;
2) po < Pк, т. е. дальнейшее падение давления po среды ниже критического значения определяется равенством p2 = pk,причем давление p2 вытекающего вещества является постоянным (p2= const).
Таким образом, явление, при котором в устье насадки давление постоянно и не понижается, называется запиранием сопла. Поэтому такое давление на выходе сопла, которое невозможно понизить путем уменьшения давления внешней среды, в которую осуществляется истечение рабочего тела, называют критическим(P2к).
Независимо от падения давления внешней среды po в устье суживающегося сопла при bk устанавливается давление P2к=const, которому соответствует Gmax = const (массовый расход), wk = const (скорость истечения), Tk = const (температура), и v2k = const (удельный объем), т. е. постоянство всех параметров на выходе сопла (так называемые выходные параметры).

В полученных формулах a, Y – коэффициенты, определяемые только величиной k(показателем адиабаты), их значения находят из специальных таблиц.
По определению критической скоростью называется наибольшая скорость вещества при его истечении из сопла, не превышающая скорость звука, т. е. wk =a, где а – так называемая местная скорость звука.
Полученная формула называется уравнением Лапласа.
Сопла Лаваля используются для создания закрити-ческого процесса истечения рабочего тела, условием которого служит po/p1 < bk В нем выделяют три основные области.
1. Суживающаяся короткая часть, в которой скорость потока дозвуковая.
2. Узкое сечение, в котором вещество движется со скоростью звука.
3. Расширяющаяся конусообразная насадка (сверхзвуковая скорость потока).
Главным условием выбора размеров широкой части сопла Лаваля для истечения рабочего тела является безотрывность его от стенок насадки. Поэтому угол раствора конуса должен иметь предел в 12o, это помогает устранить существенные потери вследствие расширения газа (пара).
Рассмотрим процессы, происходящие при работе комбинированного сопла. В том случае, когда давление внешней среды po < pk,скорость и давление потока в узкой плоскости сопел являются критическими.
Конструкция сопла Лаваля позволяет для каждого отношения o < po/p1 < b получить полное расширение вещества в границах значения давлений [po, pi]. При этом в выходном сечении сопла энергия не теряется, а при выравнивании давления рабочего тела и внешней среды скорость потока становится сверхзвуковой, что необходимо для применения сопла на практике. В таком случае массовый расход становится максимальным, его величина зависит от площади наименьшего сечения сопла (Smin).
В узкой части сопла (называемой горловиной) устанавливаются критические значения параметров Vk,Tk, pk, wk= wзв, Gmax.(где Wзв– местная скорость звука). Движение потока по расширяющейся части характеризуется тем, что газ расширяется далее в границах [ p2k, p1], повышается скорость в интервале [wk = Wзв, w > wk] (т. е. до значений w > Wзв), что ведет к уменьшению давления, но при этом удельный объем увеличивается (т. е. v >vk , p< pk).
Расширяющаяся часть насадки может выполнять функцию диффузора, если в узкой плоскости w < wзв (для po / p1> bk).
Для водяного пара критическая температура составляет Тк = 647 К, соответственно, Тинв > 4400 К (температура инверсии). В процессе дросселирования всегда происходит охлаждение водяного пара, это связано с полной диссоциацией молекул пара при таких не очень высоких значениях данной температуры инверсии.
Дросселирование водяного пара характеризуется следующими свойствами, полученными из анализа диаграммы (i, s):
1) для любого состояния пара дросселирование всегда понижает температуру водяного пара;
2) дросселирование влажных паров при небольших давлениях сопровождается переходом из увлажненного в сухое, а затем в перегретое состояние. Влажные пары при высокихдавленияхсначала еще более увлажняются, но потом такжеобразуют сухую и перегретую фазу;
3) дросселирование перегретых паров при больших давлениях (если температура перегрева невелика) сопровождается прохождением ими несколькихфаз (сухого насыщенного, влажного, сухого и наконец, перегретого). Последнее состояние пара характеризуется низкими значениями температуры и давления. В общем случае при дросселировании перегретые пары сохраняют свое перегретое состояние, если в начале процесса их давления были высокими.
Обычно на is-диаграмме процесс дросселирования i1 = i2 представляет собой горизонтальную линию, направленную в сторону возрастания энтропии (вследствие необратимости процесса).
Известно, что давление перегретого пара (и его полезная работа) в процессе мятия снижается.
аад < aдрос, где адрос - температурный эффект адиабатного необратимого расширения (т. е. дросселирования), а аад– эффект адиабатного обратимого расширения. Отсюда при одном давлении dp имеем:
dTдрос < dTад на величину v/cp.

Пусть имеется полый шар с внутренним и внешним радиусами соответственно г1 и г2 коэффициент теплопроводности I которого постоянен. При заданных граничных условиях третьего рода будут также определены коэффициенты теплоотдачи на поверхностях шара a1 и a2 и температуры внутренней и внешней сред соответственно Tж1 и Tж2. Коэффициенты a1,a2 будут постоянными во времени, а температуры Tж1,Tж2 – постоянными и во времени, и по поверхностям.
При стационарном режиме теплопередачи полный тепловой поток Q, переданный через однородную сферическую стенку от горячей среды к холодной, будет постоянным для всех изотермических поверхностей и может быть определен тремя уравнениями.

где d1,d2 – внутренний и наружный диаметры шара;
a1,a2 коэффициенты теплоотдачи от горячей среды к стенке и от стенки к холодной среде;
I– коэффициент теплопроводности материала стенки;
T1,Т2 – температуры внутренней и наружной стенок.
где DT = Тж1 – Тж2 – полный температурный напор;
Кш – коэффициент теплопередачи шаровой стенки (Вт/град).

Величина обратная Кш называется термическим сопротивлением теплопередачи шаровой стенки:
