Экономический анализ как наука представляет собой систему специальных знаний, связанную с:
• исследованием экономических процессов в их взаимосвязи, складывающихся под воздействием объективных экономических законов и факторов субъективного порядка;
• научным обоснованием бизнес-планов, объективной оценкой их выполнения;
• выявлением положительные и отрицательных факторов и количественным измерением их действия;
• раскрытием тенденций и пропорций хозяйственного развития, определением неиспользованных внутрихозяйственных резервов;
• принятием оптимальных управленческих решений.
Наиболее важные моменты анализа – установление взаимосвязи, взаимозависимости и взаимообусловленности причин и факторов.
Содержание экономического анализа как научной дисциплины вытекает из его функций:
1) изучение характера действия экономических законов, установление закономерностей и тенденций экономических явлений и процессов в конкретных условиях предпринимательства;
2) научное обоснование текущих и перспективных планов;
3) контроль за выполнением планов и управленческих решений, экономным использованием ресурсов;
4) поиск резервов повышения эффективности производства;
5) оценка результатов работы предприятия по выполнению планов, достигнутого уровня развития экономики, использование имеющихся возможностей;
6) разработка мероприятий по использованию выявленных резервов.
Предмет экономического анализа – хозяйственные процессы предприятий, объединений, ассоциаций, социально-экономическая эффективность и конечные финансовые результаты их деятельности, складывающиеся под воздействием объективных и субъективных факторов, получающие отражение через систему экономической информации.
Базовые принципы экономического анализа:
1. Принцип научности, который предусматривает глубокое познание объективной реальности функционирования экономической системы, влияния объективных факторов на ее изменение и развитие; применение научной методики и организации аналитических исследований.
2. Принцип системности, который предусматривает исследование экономических явлений и процессов как сложных систем с функционально-структурным строением элементов взаимосвязи и взаимообусловленности их составляющих.
3. Принцип комплексности тесно связан с принципом системного подхода: определяется тем, что в анализе экономических явлений и процессов как сложных систем следует комплексно оценивать входные параметры функционально-структурного строения, их изменение и развитие на исследуемом объекте в пространстве и времени, количественные, качественные признаки, исходные (результативные) параметры этого процесса.
4. Принцип конкретности и действенности экономического анализа означает целевую направленность исследований на конкретную практику и результативность в достижении поставленной цели.
5. Принцип рейтинговой оценки предусматривает определение приоритетов в достижении поставленной цели, очередности осуществления мероприятий, направленных на целевое изменение и развитие экономических систем. Рейтинговая оценка проводится по критериям, которые определяют конечную цель функционирования экономической системы. Для достижения промежуточных целей могут использоваться другие критерии рейтинговой оценки.
6. Принцип демократичности, массовости экономического анализа предполагает участие в аналитическом процессе широкого круга заинтересованных лиц, а не только специалистов-аналитиков, а также широкую доступность, прозрачность, убедительность выводов и предложений. Этот подход позволяет наиболее полно выявить имеющиеся резервы и недостатки, более взвешенно принимать решение.
Соблюдение названных принципов является необходимым условием проведения аналитических исследований, гарантом достижения поставленных целей и решения конкретных задач.
Задачи экономического анализа определяются его значением, содержанием и предметом:
1. Повышение научно-экономической обоснованности бизнес-планов и нормативов в процессе их разработки реализуется в ходе осуществления ретроспективного анализа хозяйственной деятельности. Построение временных рядов за значительный период позволяет установить определенные экономические закономерности в хозяйственном развитии, выявить основные факторы, оказавшие существенное влияние на хозяйственную деятельность в прошлом и способные оказать влияние в будущем.
2. Объективное и всестороннее исследование выполнения бизнес-планов и соблюдения нормативов по количеству, качеству и ассортименту продукции, работ, услуг реализуется по данным учета и отчетности. В промышленности исследуется выполнение производственной программы; на транспорте – грузооборот; в организациях связи – число оказанных услуг, в торговле – объем оптового и розничного товарооборота, ассортиментная структура и пр.
3. Определение экономической эффективности использования трудовых, материальных и финансовых ресурсов дополняется анализом использования природных богатств, контролем за строгим соблюдением определенных экологических требований и пр.
4. Контроль за осуществлением требований коммерческого расчета и оценка конечных финансовых результатов. Для коммерческого расчета характерны самостоятельность и ответственность предприятий перед государством, в первую очередь по вопросам налогообложения и по эффективности использования имеющихся ресурсов. Для правильной оценки соблюдения принципов коммерческого расчета и финансовых результатов требуется выявление факторов, влияющих на исследуемые показатели, зависящих и не зависящих от предприятий.
5. Выявление и измерение внутренних резервов (на всех стадиях производственного процесса). Резервы могут быть выявлены путем сравнительного изучения выполнения плана внутренними подразделениями предприятия, а также однородными предприятиями.
6. Испытание оптимальности управленческих решений (на всех ступенях иерархической лестницы). В условиях рыночных отношений важное значение приобретает оперативность управления, мотивированность и обоснованность решений.
Роль экономического анализа проявляется в его значении в системе управления. Без умения научно обосновать и правильно оценить эффективность решений, принимаемых на основе данных анализа, управление предприятием не может быть достаточно качественным, что ведет к снижению его роли как катализатора экономического развития.
Управленческие решения в современных условиях жесткой конкуренции не могут приниматься интуитивно, приблизительно, они должны быть основаны на точных расчетах, глубоком экономическом анализе. Данные результатов анализа являются, таким образом, базой для разработки и принятия управленческих решений. Экономический анализ является функцией управления, обеспечивающей научность принятия решений.
Данные анализа выполнения планов за предыдущие периоды являются базой для составления объективных оптимальных бизнес-планов на будущее. Объективная оценка экономических результатов деятельности трудовых коллективов, доли каждого рабочего в общих экономических результатах деятельности предприятия соответственно количеству и качеству его трудовых затрат создает основу для разработки системы материального поощрения работающих на предприятии за счет фонда оплаты труда. Экономический анализ оказывает содействие распространению передового опыта, прогрессивных организационных форм управления, внедрению современной техники и технологий, обеспечивает возможность распознать закономерности, прогрессивные явления, имеющие место в хозяйственной деятельности. Как функция управления, экономический анализ выходит за пределы предприятия – становится функцией управления отраслями и народным хозяйством в целом.
Экономический анализ базируется на системе экономической информации.
Система экономической информации – совокупность данных, всесторонне характеризующих хозяйственную деятельность на всех уровнях. Информационная система весьма динамична; она состоит из входных данных, результатов промежуточной обработки, выходных данных и конечных результатов, поступающих в систему управления.
Источники информации об анализируемых предприятиях и организациях могут быть систематизированы следующим образом.
К плановым относятся все типы планов, которые разрабатываются на предприятии – перспективные, текущие, оперативные и т. д., а также нормативные материалы, сметы, ценники, проектные задания и др.
К учетным источникам информации относятся документы бухгалтерского учета, статистического и оперативного учета, а также все другие виды отчетности. Ведущая роль в информационном обеспечении экономического анализа принадлежит бухгалтерскому учету, где наиболее полно отражаются хозяйственные процессы и их результаты (бухгалтерский баланс, отчет о прибылях и убытках, отчет о движении капитала, отчет о движении денежных средств, приложение к бухгалтерскому балансу (ф. № 5) и пр.
Данные статистического учета используются для углубленного изучения взаимосвязей, выявления экономических закономерностей. Данные оперативного учета создают условия для повышения эффективности и своевременности аналитических исследований.
К внеучетным источникам информации относятся документы, которые регулируют хозяйственную деятельность: законы, указы, постановления правительства, акты ревизий и проверок, приказы и распоряжения руководителей предприятия и т. д., а также техническая документация, материалы исследований.
Информация для экономического анализа должна соответствовать ряду требований:
1. Аналитичность информации, т. е. поступающая информация, должна быть именно о тех направлениях деятельности и с той детализацией, которая нужна аналитику.
2. Объективность информации необходима для того, чтобы выводы после проведения анализа соответствовали действительности.
3. Единство информации – возможность сопоставления информации.
4. Оперативность информации (с помощью ПЭВМ).
5. Рациональность информации, т. е. минимум затрат на ее сбор, хранение и пользование.
Главная цель аналитической обработки экономической информации – раскрыть причинную связь и измерить влияние факторов на тот или иной показатель.
Аналитическая обработка экономических показателей ведется с помощью различных методов (математических, статистических, специальных приемов экономического анализа). При этом обработка информации может сопровождаться составлением таблиц, графиков, диаграмм.
Аналитическая обработка обычно начинается с предварительного ознакомления с общими результатами хозяйственной деятельности предприятий. Для этого по основным показателям устанавливают степень выполнения плана и его изменения в динамике; выявляют положительные и отрицательные моменты в работе и их причины. Обработку информации начинают с округления цифровых данных, объединения однородных показателей, исчисления средних и относительных величин, а также определения взаимосвязанных показателей.
Аналитические расчеты – весьма трудоемкий процесс, поскольку связан с большим объемом разнообразных вычислений, что требует использования современной вычислительной техники. Технические качества ЭВМ дают возможность повысить эффективность аналитических расчетов: сократить сроки анализа; добиться более полного охвата влияния различных факторов на результаты хозяйственной деятельности; заменить приближенные расчеты более точными вычислениями; решать многомерные задачи анализа, невыполнимые традиционными методами.
Рационально организованный и соответствующим образом регулируемый информационный поток, систематизированные и обработанные данные служат надежной базой для построения моделей в соответствии с задачами анализа.
Экономический анализ является необходимым элементом управления экономикой. В зависимости от потребностей управления можно выделить виды анализа. Классификация видов экономического анализа базируется на основе классификации функций управления и определяется потребностями практики.
По субъектам анализа выделяют внешний и внутренний анализ. Внутренний анализ проводится в целях внутреннего управления, внешний – в целях принятия деловых решений по отношению к настоящим или потенциальным контрагентам (поставщики, покупатели, партнеры по совместной деятельности, банки и т. д.).
По степени ориентации анализа на отдельные подсистемы – технико-экономический анализ (технические службы управления), социально-экономический анализ (экономические и социологические службы, статистические органы), экономико-правовой анализ (юридические службы), экономико-экологический анализ (органы охраны окружающей среды).
По направленности во времени выделяют ретроспективный, текущий (итоговый), оперативный, предварительный, перспек тивный анализ. Ретроспективный анализ направлен на изучение прошлых периодов для выявления тенденций развития. Текущий (итоговый) анализ также является формой ретроспективного анализа и проводится по итогам работы за год: оценка результатов производится нарастающим итогом. Текущий анализ базируется главным образом на сравнении фактически достигнутого уровня показателей с их плановыми или нормативными значениями. Оперативный анализ означает постоянный контроль текущей хозяйственной деятельности и выполнения плана; в значительной степени основан на данных первичного учета и непосредственного наблюдения за процессом производства и реализации продукции. Главная задача оперативного анализа – выявление отклонений по основным показателям, причин отклонений, разработка мероприятий по устранению негативных явлений. Предварительный анализ – это анализ, предшествующий принятию конкретного управленческого решения, в том числе и оперативного. Возможные варианты решения оцениваются с позиций момента принятия решения и с учетом возможных последствий. Предварительный анализ нацелен на будущее, по содержанию может быть как тактическим, так и стратегическим. Перспективный анализ включает оценку будущих результатов, возможных темпов развития, оценку рисков, анализ при составлении годовых и перспективных планов, прогнозирование банкротства.
По цели исследования выделяют анализ для оценки результатов хозяйственной деятельности, выявления резервов и путей их мобилизации, с целью подготовки материалов для выбора управленческого решения, а также прогнозирования результатов хозяйственной деятельности.
По характеру объектов управления выделяют анализ стадий расширенного воспроизводства, отраслевой анализ, анализ ведомств и предприятий, анализ составных элементов производства и производственных отношений.
В зависимости от пользователей экономической информации и задач анализа различают управленческий и финансовый анализ (не взаимоисключающие, а дополняющие друг друга на правления анализа).
По уровням управления выделяют макро– и микроанализ.
В зависимости от периодичности анализа – годовой, квартальный, месячный, декадный и ежедневный анализ.
По различию в полноте и содержании изучаемых вопросов: полный, локальный, тематический анализ.
В зависимости от методов изучения объекта различают комплектный, системный, сравнительный, сплошной и выборочный анализ.
По степени автоматизации работ выделяют анализ сприме-нением компьютерной техники и без ее использования.
На практике отдельные виды экономического анализа встречаются редко. В процессе управления для обоснования принимаемых решений используется совокупность различных видов экономического анализа.
Принципы метода экономического анализа: сравнение, детализация, элиминирование, использование объективный основ взаимосвязи экономических показателей.
Методологическую основу экономического анализа предприятия представляет моделирование характера взаимосвязи результативного показателя с показателями-факторами.
Метод экономического анализа представляет собой системное, комплексное изучение, измерение и обобщение влияния факторов на результаты деятельности предприятия путем обработки специальными и традиционными приемами системы показателей с целью повышения эффективности производства.
Характерными особенностями метода являются: определение системы показателей, характеризующих хозяйственную деятельность; установление соподчиненности показателей с выделением совокупных результативных факторов и факторов, на них влияющих; выявление формы взаимосвязи между факторами; выбор приемов и способов для изучения взаимосвязи; количественное измерение влияния факторов на совокупный показатель.
Совокупность приемов и способов, которые применяются при изучении хозяйственных процессов, составляет методику экономического анализа.
Методика экономического анализа базируется на пересечении трех областей знаний: экономики, статистики и математики.
К экономическим методам анализа относят: сравнение, группировку, балансовый и графический методы.
Статистические методы включают в себя использование средних и относительных величин, индексный метод, корреляционный и регрессивный анализ и др.
Математические методы можно разделить на три группы: методы моделирования (матричные методы, теория производственных функций, теория межотраслевого баланса); методы математического программирования (линейное, нелинейное, динамическое программирование); методы исследования операций (теория графов, теория игр, теория массового обслуживания).
Методы экономического анализа находят свое практическое отображение в конкретных приемах или инструментах. Среди них можно выделить традиционные приемы, которые широко применяются и в других дисциплинах для обработки и изучения информации, и нетрадиционные (специальные) приемы экономического анализа.
К традиционным приемам относятся:
• сравнение (сопоставление изучаемых данных и фактов хозяйственной жизни);
• относительные (проценты, удельные веса, коэффициенты, индексы) и средние статистические величины;
• способ группировки (используется для исследования зависимости в сложных явлениях, характеристика которых отражается однородными показателями и разными значениями);
• балансовый метод (соизмерение двух комплексов показателей, стремящихся к определенному равновесию);
• графический способ (построение масштабных изображений показателей и их зависимости с помощью геометрических фигур).
В специальных приемах экономического анализа раскрывается специфичность метода экономического анализа, отражается его системный, синтетический характер. Специальные методы экономического анализа используются для изучения влияния факторов на результаты хозяйствования:
• способ цепных подстановок (определение ряда промежуточных значений обобщающего показателя путем последовательной замены базисных значений факторов на отчетные);
• способ абсолютных разниц (изменение результативного признака определяется как произведение отклонения изучаемого фактора на базисное или отчетное значение другого фактора);
• процентных, или относительных, разниц (применяется для измерения влияния факторов на прирост результативного показателя);
• сокращенных подстановок (используются подстановки промежуточных произведений факторов);
• метод выявления изолированного влияния факторов (основан на вычитании результирующего признака при единственном изменяющемся факторе);
• интегральный метод (основан на логарифмическом законе перераспределения факторных нагрузок).
Приемы (инструменты) экономического анализа делятся н традиционные приемы, которые широко применяются и в других дисциплинах для обработки и изучения информации, и нетради ционные (специальные) приемы экономического анализа. К традиционным приемам относятся: сравнение; расчет относитель ных и средних статистических величин; группировка; балансовый метод; графический способ.
Сравнение – сопоставление изучаемых данных и факто хозяйственной жизни. Различают горизонтальный сравнительный анализ, который применяется для определения абсолютны и относительных отклонений фактического уровня исследуемы показателей от базового; вертикальный сравнительный анализ используемый для изучения структуры экономических явлений трендовый анализ, применяемый при изучении относительны темпов роста и прироста показателей за несколько лет к уровню базисного года, т. е. при исследовании рядов динамики.
Обязательным условием сравнительного анализа является сопоставимость сравниваемых показателей, предполагающая:
• единство объемных, стоимостных, качественных, структурных показателей;
• единство периодов времени, за которые производится сравнение;
• сопоставимость условий производства;
• сопоставимость методики исчисления показателей.
Средние величины – исчисляются на основе массовых данных о качественно однородных совокупностях. При нарушении качественной однородности изучаемой совокупности сред ними величинами оперировать нельзя, т. к. за ними могут скрываться существенные недостатки в работе предприятия. Поэтом наряду с использованием средних величин необходимо анализировать показатели, из которых они складываются.
Относительные величины представляют собой частное о деления одной абсолютной величины на другую. Примером относительных величин являются проценты (исчисляются для характеристики выполнения плана товарооборота, издержек обращения, дохода), удельные веса (для изучения структуры показателей), коэффициенты (исчисляются для характеристики, например, оборачиваемости оборотных средств и т. д.). На относительных показателях, выражающих отношение уровня данного явления к его уровню, взятому в качестве базы сравнения, также основывается индексный метод. Статистика называет несколько видов индексов, которые применяются при анализе: агрегатные, арифметические, гармонические и т. д. Использовав индексные пересчеты и построив временной ряд, характеризующий, например, выпуск промышленной продукции в стоимостном выражении, можно квалифицированно проанализировать явления динамики.
Группировки – используются для исследования зависимости в сложных явлениях, характеристика которых отражается однородными показателями и разными значениями (характеристика парка оборудования по срокам ввода в эксплуатацию, по месту эксплуатации, по коэффициенту сменности и т. д.).
Балансовый метод состоит в сравнении, соизмерении двух комплексов показателей, стремящихся к определенному равновесию. Он позволяет выявить в результате новый аналитический (балансирующий) показатель. Как вспомогательный, балансовый метод используется для проверки результатов расчетов влияния факторов на результативный совокупный показатель. Если сумма влияния факторов на результативный показатель равна его отклонению от базового значения, то, следовательно, расчеты проведены правильно. Отсутствие равенства свидетельствует о неполном учете факторов или о допущенных ошибках. Балансовый метод применяют также для определения размера влияния отдельных факторов на изменение результативного показателя, если известно влияние остальных факторов.
Графический способ. Графики являются масштабным изображением показателей и их зависимости с помощью геометрических фигур. Графический способ не имеет в анализе самостоятельного значения, а используется для иллюстрации измерений.
Одной из задач факторного анализа является моделирование взаимосвязей между результативными показателями и факторами, которые определяют их величину. Сущность моделирования факторных систем заключается в том, что взаимосвязь исследуемого показателя с факторными передается в форме конкретного математического уравнения. В факторном анализе различают модели детерминированные (функциональные) и стохастические (корреляционные). С помощью детерминированных факторных моделей исследуется функциональная связь между результативным показателем (функцией) и факторами (аргументами).
При моделировании детерминированных факторных систем необходимо выполнять ряд требований.
1. Факторы, включаемые в модель, и сами модели должны иметь определенно выраженный характер, реально существовать, а не быть придуманными абстрактными величинами или явлениями.
2. Факторы, которые входят в систему, должны быть не только необходимыми элементами формулы, но и находиться в причинно-следственной связи с изучаемыми показателями.
3. Все показатели факторной модели должны быть количественно измеримыми, т. е. иметь единицу измерения и необходимую информационную обеспеченность.
4. Факторная модель должна обеспечивать возможность измерения влияния отдельных факторов, т. е. в ней должна учитываться соразмерность изменений результативного и факторных показателей, а сумма влияния отдельных факторов должна равняться общему приросту результативного показателя.
В детерминированном анализе выделяют следующие типы наиболее часто встречающихся факторных моделей.
1. Аддитивные модели. Используются, когда результативный показатель представляет собой алгебраическую сумму нескольких факторных показателей.
2. Мультипликативные модели. Применяются, когда результативный показатель представляет собой произведение нескольких факторов.
3. Кратные модели. Используются, когда результативный показатель получают делением одного факторного показателя на величину другого.
4. Смешанные (комбинированные) модели – это сочетание в различных комбинациях предыдущих моделей.
Моделирование аддитивных факторных систем производится за счет расчленения одного или нескольких факторных показателей на составные элементы.
Моделирование мультипликативных факторных систем осуществляется путем последовательного расчленения факторов исходной системы на факторы-сомножители.
К классу кратных моделей применяют следующие способы их преобразования: удлинения, формального разложения, расширения и сокращения. Первый метод предусматривает удлинение числителя исходной модели путем замены одного или нескольких факторов на сумму однородных показателей. Способ формального разложения факторной системы предусматривает удлинение знаменателя исходной факторной модели путем замены одного или нескольких факторов на сумму или произведение однородных показателей. Метод расширения предусматривает расширение исходной факторной модели за счет умножения числителя и знаменателя дроби на один или несколько новых показателей. Способ сокращения представляет собой создание новой факторной модели путем деления числителя и знаменателя на один и тот же показатель.
Таким образом, результативные показатели могут быть разложены на составные элементы (факторы) различными способами и представлены в виде различных типов детерминированных моделей. Выбор способа моделирования зависит от объекта исследования, поставленной цели, а также от профессиональных знаний и навыков исследователя.
Процесс моделирования факторных систем – очень сложный и ответственный в анализе хозяйственной деятельности. От того, насколько реально и точно созданные модели отражают связь между исследуемыми показателями, зависят конечные результаты анализа.
После построения факторной модели необходимо определить способ оценки влияния факторов. Большинство способов измерения влияния факторов в детерминированных моделях основано на элиминировании. Элиминировать – значит устранить, исключить воздействие всех факторов на величину результативного показателя, кроме одного, исходя из того, что все факторы изменяются независимо друг от друга, т. е. сначала изменяется один фактор, а все остальные остаются без изменения, потом изменяются два при неизменности остальных и т. д.
Способ цепных подстановок заключается в определении ряда промежуточных значений обобщающего показателя путем последовательной замены базисных значений факторов на отчетные.
В общем виде применение способа цепных постановок можно описать следующим образом:
Y0 = а0⋅Ь0⋅С0; Yусл.1 = а1⋅Ь0⋅С0; Уа = Yусл.1– У0;
Yусл.2 = а1⋅Ь1⋅С0; YЬ = Yусл.2 – Yусл.1; Yф = а1⋅Ь1⋅С1
где а0,Ь0,С0 – базисные значения факторов, оказывающих влияние на обобщающий показатель Y; а1,Ь1,С1 – фактические значения факторов; Yусл.1, Yусл.2 – промежуточные значения результирующего показателя, связанные с изменением факторов а, b соответственно.
Общее изменение складывается из суммы изменений результирующего показателя за счет изменения каждого фактора при фиксированных значениях остальных факторов:
Yа + Yь + Yс = Yф – Y0.
Способ абсолютных разниц является модификацией способа цепной подстановки. Изменение результативного показателя за счет каждого фактора способом абсолютных разниц определяется как произведение отклонения изучаемого фактора на базисное или отчетное значение другого фактора в зависимости от выбранной последовательности подстановки:
Yа = ∆а⋅Ь0⋅С0; Yь = а1⋅ ∆Ь⋅ С0; Yс = а1 ⋅Ь1⋅∆с;
Yа + Yь + Yс = Yф – Y0.
Способ относительных разниц применяется для измерения влияния факторов на прирост результативного показателя в мультипликативных и смешанных моделях вида
Y = (а – Ь) – с.
Заключается в нахождении относительного отклонения каждого факторного показателя и определении направления и размера влияния факторов в % путем последовательного вычитания (из первого – всегда 100 %).
Способ сокращенных подстановок – показатели для расчета представляют собой промежуточные произведения с последовательным накоплением влияющих факторов 3, 3Ь, 3 Ьс. Производятся подстановки, а затем путем последовательного вычитания находятся размеры влияния факторов.
Интегральный метод позволяет достигнуть полного разложения результативного показателя по факторам и носит универсальный характер, т. е. применим к мультипликативным, кратным и смешанным моделям. Изменение результативного показателя измеряется на бесконечно малых отрезках времени, т. е. производится суммирование приращения результата, определяемого как частные произведения, умноженные на приращения факторов на бесконечно малых промежутках.
В специальной литературе имеются сформированные рабочие формулы для применения интегрального метода:

Метод цепных подстановок является наиболее универсалы-ным из методов элиминирования. Он используется для расчета влияния факторов во всех типах детерминированных факторных моделей: аддитивные, мультипликативных, кратных и смешанных (комбинированных). Этот способ позволяет определить влияние отдельных факторов на изменение величины результативного показателя путем постепенной замены базисной величины каждого факторного показателя в объеме результативного показателя на фактическую в отчетном периоде. С этой целью определяют ряд условных величин результативного показателя, которые учитывают изменение одного, затем двух, трех и т д. факторов, допуская, что остальные не меняются. Сравнение величины результативного показателя до и после изменения уровня того или другого фактора позволяет элиминироваться от влияния всех факторов, кроме одного, и определить воздействие последнего на прирост результативного показателя.
Степень влияния того или иного показателя выявляется последовательным вычитанием: из второго расчета вычитается первый, из третьего – второй и т. д. В первом расчете все величины плановые, в последнем – фактические. В случае трехфакторной мультипликативной модели алгоритм расчета следующий:
Y0 = а0⋅Ь0⋅С0;
Yусл.1 = а1⋅Ь0⋅С0; Уа = Yусл.1 – У0;
Yусл.2 = а1⋅Ь1⋅С0; YЬ = Yусл.2 – Yусл.1;
Yф = а1⋅Ь1⋅С1; Yс = Yф – Yусл.2 и т. д.
Алгебраическая сумма влияния факторов обязательно должна быть равна общему приросту результативного показателя:
Yа + Yь + Yс = Yф – Y0.
Отсутствие такого равенства свидетельствует о допущенных ошибках в расчетах.
Отсюда вытекает правило, заключающееся в том, что число расчетов на единицу больше, чем число показателей расчетной формулы.
При использовании метода цепных подстановок очень важно обеспечить строгую последовательность подстановки, т. к. ее произвольное изменение может привести к неправильным результатам. В практике анализа в первую очередь выявляется влияние количественных показателей, а потом – качественных. Так, если требуется определить степень влияния численности работников и производительности труда на размер выпуска промышленной продукции, то прежде устанавливают влияние количественного показателя численности работников, а потом качественного производительности труда. Если выясняется влияние факторов количества и цен на объем реализованной промышленной продукции, то вначале исчисляется влияние количества, а потом влияние оптовых цен. Прежде чем приступить к расчетам, необходимо, во-первых, выявить четкую взаимосвязь между изучаемыми показателями, во-вторых, разграничить количественные и качественные показатели, в-третьих, правильно определить последовательность подстановки в тех случаях, когда имеется несколько количественных и качественных показателей (основных и производных, первичных и вторичных). Таким образом, применение способа цепной подстановки требует знания взаимосвязи факторов, их соподчиненности, умения правильно их классифицировать и систематизировать.
Произвольное изменение последовательности подстановки меняет количественную весомость того или иного показателя. Чем значительнее отклонение фактических показателей от плановых, тем больше и различий в оценке факторов, исчисленных при разной последовательности подстановки.
Метод цепной подстановки обладает существенным недостатком, суть которого сводится к возникновению неразложимого остатка, который присоединяется к числовому значению влияния последнего фактора. Этим объясняется разница в расчетах при изменении последовательности подстановки. Отмеченный недостаток устраняется при использовании в аналитических расчетах более сложного интегрального метода.
В статистике, планировании и анализе хозяйственной деятельности основой для количественной оценки роли отдельных факторов в динамике изменений обобщающих показателей являются индексные модели. Индексный метод – один из приемов элиминирования. Основывается на относительных показателях динамики, пространственных сравнений, выполнении плана, выражающих отношение фактического уровня анализируемого показателя в отчетном периоде к его уровню в базисном периоде (или к плановому, или по другому объекту). Любой индекс исчисляется сопоставлением соизмеряемой (отчетной) величины с базисной. Индексы, выражающие соотношение непосредственно соизмеряемых величин, называются индивидуальными, а характеризующие соотношения сложных явлений – групповыми, или тотальными.
Статистика оперирует различными формами индексов (агрегатная, арифметическая, гармоническая и др.), используемыми в аналитической работе.
Агрегатный индекс является основной формой любого общего индекса; его можно преобразовать как в средний арифметический, так и в средний гармонический индексы. С помощью агрегатных индексов можно выявить влияние различных факторов на изменение уровня результативных показателей в мультипликативных и кратных моделях.
Корректность определения размера каждого фактора зависит от:
1) количества знаков после запятой (не менее четырех);
2) количества самих факторов (связь обратно пропорциональна).
Принципы построения индексов: изменение одного фактора при неизменном значении всех остальных, при этом если обобщающий экономический показатель представляет собой произведение количественного (объемного) и качественного показателей-факторов, то при определении влияния количественного фактора качественный показатель фиксируется на базисном уровне, а при определении влияния качественного фактора количественный показатель фиксируется на уровне отчетного периода.
Пусть Y = а⋅Ь⋅с⋅d. Тогда:

При этом: lY =la⋅lb⋅lc⋅ld.
Индексный метод позволяет провести разложение по факторам не только относительных, но и абсолютных отклонений обобщающего показателя. В этом случае влияние отдельных факторов определяется с помощью разности между числителем и знаменателем соответствующих индексов, т. е. также при расчете влияния одного фактора элиминируется влияние другого:
Пусть Y = а⋅Ь, где а – количественный фактор, ab – качественный. Тогда:
a1⋅b0 —a0⋅b0 – абсолютный прирост результирующего показателя за счет фактора а;
a1⋅b1 —a1⋅b0 – абсолютный прирост результирующего показателя за счет фактора b;
a1⋅b1 —a0⋅b0 – абсолютный прирост результирующего показателя за счет влияния всех факторов.
Данный принцип разложения абсолютного прироста (отклонения) обобщающего показателя по факторам пригоден для случая, когда число факторов равно двум (один из них количественный, другой – качественный), а анализируемый показатель представлен как их произведение.
Теория индексов не дает общего метода разложения абсолютных отклонений обобщающего показателя по факторам при числе факторов более двух. Для решения этой задачи используется метод цепных подстановок.
Элиминирование как способ детерминированного факторного анализа имеет важный недостаток. При его использовании исходят из того, что факторы изменяются независимо друг от друга, однако фактически они изменяются взаимосвязанно, в результате образуется некоторый неразложимый остаток, который прибавляется к величине влияния одного из факторов (как правило, последнего). В связи с этим величина влияния факторов на изменение результативного показателя колеблется в зависимости от места фактора в детерминированной модели. Чтобы избавиться от этого недостатка, в детерминированном факторном анализе используется интегральный метод, который применяется для определения влияния факторов в мультипликативных, кратных и смешанных моделях кратно-аддитивного вида.
Использование этого способа позволяет получить более точные результаты вычисления влияния факторов по сравнению со способами цепной подстановки, абсолютных и относительных разниц и избежать неоднозначной оценки влияния: в данном случае результаты не зависят от местоположения факторов в модели, а дополнительный прирост результативного показателя, возникающий из-за взаимодействия факторов, распределяется между ними поровну.
Для распределения дополнительного прироста недостаточно взять его часть, соответствующую количеству факторов, т. к. факторы могут действовать в разных направлениях. Поэтому изменение результативного показателя измеряется на бесконечно малых отрезках времени, т. е. производится суммирование приращения результата, определяемого как частные произведения, умноженные на приращения факторов на бесконечно малых промежутках. Операция вычисления определенного интеграла решается с помощью ПЭВМ и сводится к построению подынтегральных выражений, которые зависят от вида функции или модели факторной системы. В связи со сложностью вычисления некоторых определенных интегралов и дополнительные сложностей, связанных с возможным действием факторов в противоположных направлениях, на практике используются специально сформированные рабочие формулы, приводимые в специальной литературе:

Таким образом, использование интегрального метода не нуждается в знании всего процесса интегрирования. Достаточно лишь в рабочие формулы подставить необходимые числовые данные и сделать подсчеты. При этом достигается более высокая точность расчетов.
Сущность моделирования факторных систем заключается в том, что взаимосвязь исследуемого показателя с факторными передается в форме конкретного математического уравнения. В факторном анализе различают модели детерминированные (функциональные) и стохастические (корреляционные). С помощью детерминированных факторных моделей исследуется функциональная связь между результативным показателем (функцией) и факторами (аргументами).
Основная задача факторного анализа формируется как задача оценки влияния абсолютного изменения любого фактора на абсолютное изменение результативного показателя. Общая постановка данной задачи: пусть Y=f(x1 x2…., хп) – жестко детерминированная модель, характеризующая изменение результативного показателя Х от факторов (х1). Пусть Y получил приращение ∆Y за анализируемый период (в динамике или по сравнению с планом). Требуется определить, какой частью ∆Y обязано приращению каждого аргумента, т. е. представить его в следующем виде:
∆общ.Y = ∆x1Y + ∆x2Y + … + ∆xnY.
Одним из методов такой оценки является метод изолированного влияния факторов. Пусть результатный показатель Х определяется несколькими факторами: xv Х2, хп. Базовый период обозначим индексом 0, а отчетный – 1. Общее изменение результативного показателя, имевшее место за это время:
∆общ.Y = Y1 – Y2
Изменение, связанное с изменением лишь одного, х-го показателя, таким образом, составит:
∆x1=f(x10….,xi-10,xi0,xi+1…, хп0)−f(x10…., хп0)
Данной моделью выявляется изолированное влияние одного xi-го фактора.
Этот способ не относится к методам элиминирования и позволяет частично устранить главный недостаток совокупности этих методов. При использовании элиминирования основная гипотеза заключается в том, что факторы изменяются независимо друг от друга, однако фактически они изменяются взаимосвязанно, в результате образуется некоторый неразложимый остаток, который прибавляется к величине влияния одного из факторов (как правило, последнего). В связи с этим величина влияния факторов на изменение результативного показателя колеблется в зависимости от места фактора в детерминированной модели.
Очевидно, что для приема изолированного влияния факторов ∆общ.Y ≠ ∑∆xiY, т. к. при использовании данного метода неразложимый остаток отбрасывается полностью, не прибавляется ни к одному из значений влияния факторов. С одной стороны, не искажается степень абсолютного воздействия факторов на прирост результативного показателя; с другой стороны, полное разложение изменения результативного показателя на изменения факторов не достигается: сумма влияний всех факторов оказывается не равной общему приросту результативного показателя. Это является главным недостатком приема и причиной того, что он используется в тех случаях, когда не требуется высокая точность результата, а достаточно лишь приблизительно оценить степень влияния факторов.
Преимущества метода заключаются в том, что он является наиболее простым из специальных приемов факторного анализа и не требует установления очередности изменения факторов, которое вызывает много трудностей, например, при использовании метода цепных подстановок, и способно сильно исказить результат факторного анализа.
Комплексная оценка результатов хозяйственной деятельности организации или ее подразделений служит инструментом учета, анализа и планирования; индикатором научно-технического состояния хозяйственного объекта в изучаемой совокупности; критерием сравнительного оценивания коммерческой деятельности предприятий и их подразделений; показателем эффективности принятых ранее управленческих решений и полноты их реализации; основой выбора возможных вариантов развития производства и показателей ожидаемых результатов в будущем; стимулятором производства.
Отсюда возникает необходимость формирования комплексной оценки на базе системы показателей, агрегирование которых тем или иным способом позволит ранжировать результаты.
Конструирование интегрального показателя для обобщающей комплексной оценки может проводиться методами: сумм, средней геометрической, коэффициентов, суммы мест, расстояний и др.
Метод суммы основан на суммировании фактических абсолютных изменений показателей.
Недостатком метода сумм является возможность высокой оценки результатов по интегральному показателю при значительном отставании по какому-либо частному показателю, которое покрывается за счет высоких достижений по другим частным показателям.
Метод геометрической средней базируется на определении коэффициентов по частным показателям, когда за единицу принимается самое высокое значение данного индикатора. Этот метод целесообразно применять при относительно малом числе оцениваемых показателей и в случае, если большинство их значений близко к единице.
В некоторых случаях применим метод коэффициентов, т. е. оценка получается умножением соответствующих относительных показателей.
Метод суммы мест предполагает предварительное ранжирование каждого объекта анализа в зависимости от уровня исследуемых показателей. Число мест должно быть равно количеству анализируемых организаций. Чем меньше сумма мест, тем более высокий ранг присваивается анализируемому объекту.
Применение методов сумм, суммы мест, геометрической средней возможно только в случае однонаправленности влияния всех оцениваемых параметров на эффективность производства, т. е. увеличение (уменьшение) значения любого частного показателя расценивается как улучшение результатов хозяйственной деятельности (и наоборот). В противном случае при расчете показателя комплексной оценки в качестве критериев берутся обратные к исходным величинам показатели.
При использовании метода расстояний устанавливается близость объектов анализа к объекту-эталону по каждому из сравниваемых показателей. Вначале определяются коэффициенты по каждому показателю как отношение его значений к показателю-эталону с максимальным уровнем. В некоторых случаях типичным объектом считается такой, значения показателей которого равны средним арифметическим уровням показателей в изучаемой совокупности. Однако в совокупности экономических объектов, где преобладают асимметрические распределения, среднее арифметическое в качестве характеристики типичного, эталонного объекта утрачивает свое значение. Затем рассчитывается сумма квадратов полученных коэффициентов. Если есть возможность учесть сравнительную значимость индикаторов, то каждый квадрат умножается на соответствующий весовой коэффициент значимости. Затем из суммы квадратов извлекают квадратный корень.
Сведение ряда показателей в единый интегральный показатель позволяет определить отличие достигнутого состояния от базы сравнения в целом по группе выбранных показателей и, хотя оно не дает возможности измерить степень отличия, сделать однозначный вывод об улучшении (ухудшении) результатов работы за анализируемый промежуток времени. Однако конструирование интегрального показателя не означает, что для оценки используется лишь он один. Напротив, интегральный показатель предполагает исследование системы показателей, лежащих в основе оценки, а выводы, полученные только на базе интегрального показателя, носят лишь ориентировочный характер, выполняют вспомогательную (хотя и важную) роль определения характера изменений в результатах хозяйственной деятельности в целом по всем показателям.
Круг экономико-математических моделей и методов, используемых в экономическом анализе, чрезвычайно широк, однако их применение сдерживается затрудненностью адекватного описания производственного процесса, получения решений в условиях высокой размерности задач, а также отсутствием необходимой для этого случая квалификации управленческого персонала. Методология экономического анализа, таким образом, должна быть расширена. Приемы исследования в экономическом анализе разделяют на две общие группы: качественные и количественные. Одним из видов качественных технических приемов являются эвристические.
Эвристика – приемы и методы принятия решений, использующие интуицию и опыт специалистов в решении аналогичных проблем.
Эвристические приемы экономического анализа представляют собой совокупность логических приемов и методических правил теоретического исследования и поиска приемлемого решения, которая опирается в определенной мере на изобретательность и творческий поиск и активно использует методику «наводящих» вопросов. Эвристические приемы можно разделить на три группы:
1. Методы индивидуального творческого поиска.
2. Методы коллективного творческого поиска.
3. Методы активизации творческого поиска.
1. Метод аналогий, метод инверсии, метод идеализации.
Метод аналогии состоит в использовании уже известного решения, которое было применено в подобной ситуации, либо подсказано технической, экономической, художественной литературой, «подсмотрено» в природе.
Метод инверсии состоит в применении таких подходов, как: перевернуть «вверх ногами», поменять местами, «вывернуть наизнанку».
Метод идеализации направлен на получение представления об идеальном варианте решения проблемы. Рассматривать идеальные решения полезно (даже когда имеет место фантазирование), т. к. они могут привести к новой идее.
2. «Мозговой штурм», конференция идей, метод коллективного блокнота.
«Мозговой штурм» – это наиболее эффективный метод генерирования новых идей путем творческого сотрудничества специалистов.
Конференция идей отличается от метода «мозгового штурма» тем, что активно поощряет критику в форме реплик и комментариев. Считается, что критика может повысить ценность идеи, которая предлагается.
Метод коллективного блокнота объединяет индивидуальное продвижение идей каждым членом рабочей группы с их коллективной оценкой. Каждый участник группы получает блокнот, в котором в доступной форме изложена суть решаемой проблемы.
3. Метод контрольных вопросов, метод фокальных объектов, метод морфологического анализа.
Метод контрольных вопросов заключается в нахождении решения проблемы с помощью «наводящих» вопросов.
Сущность метода фокальных объектов заключается в перенесении признаков случайно избранных объектов на объект, который совершенствуется, и находится будто бы в фокусе переноса (отсюда название).
Метод морфологического анализа базируется на комбинаторике и систематическом изучении всех теоретически возможных вариантов, которые вытекают из закономерностей строения (морфологии) изучаемого объекта.
В экономическом анализе также популярны эвристические методы прогнозирования – методы, используемые для прогнозирования поведения сложных систем с множеством параметров и целей, когда нет возможности формализовать прогноз в виде математических моделей. Различают две группы таких методов: интуитивные, основанные на личной эрудиции, проницательности и опыте эксперта; аналитические, основанные на логическом анализе модели процесса развития объекта прогнозирования. Результаты могут быть выражены математическими и графическими моделями, матрицами и сетями.
Эвристические методы получили достаточно широкое распространение в экономическом анализе, дальнейший прогресс в этом направлении связан с разработкой и внедрением экспертных систем.
Одним из важнейших свойств денежных потоков является их распределенность во времени. Причины: инфляционное обесценивание денег, риск неполучения денег в будущем, возможность вложения денег и получения прибыли (в на
Количественной мерой изменения стоимости денег являются процентная и учетная ставки. С их помощью может быть определена будущая (наращенная) и настоящая стоимость денег (современная, текущая или приведенная). В первом случае используется операция наращения, во втором – дисконтирования или приведения будущей стоимости к ее современной величине (текущему моменту)
Формула процентной ставки:

где % – абсолютная величина процента; Сс – современная стоимость Сб – будущая стоимость денег.
Учетная ставка (ставка дисконта) определяется:

где Д – сумма дисконта. Первая формула отражает прирост текущей стоимости вторая – снижение будущей стоимости.
Наращенная сумма денег рассчитывается на основе начисления процентов. Существует два способа начисления процентов: декурсивный (начисление % в конце каждого временного интервала) и антисипативный (начисление % в начале каждого временного интервала)
Финансовая математика использует два вида процентов: простые и сложные проценты. При начислении простых процентов наращение первоначальной суммы происходит в арифметической прогрессии, а при начислении сложных процентов – в геометрической.
Начисление простых декурсивных и антисипативных процентов производится по формулам:
декурсивные проценты: Сiб = Сc × (1+n⋅i)
антисипативные проценты:

где n – продолжительность ссуды измеренная в годах
Наращение по антисипативному методу происходит более быстрыми темпами, чем при использовании процентной ставки. Недостаток: при n = 1/d знаменатель дроби обращается в нуль и выражение теряет смысл.
Особенностью простых процентов является то, что частота процессов наращения в течение года не влияет на результат. Если продолжительность ссуды не кратна году, определяется длительности ссуды в днях, вычисления ведутся по формулам:

антисипативные проценты: С-О =Сс
где к – продолжительность ссуды в днях; К – количество дней в году
Обратной задачей по отношению к начислению процентов является дисконтирование, в зависимости от того, какая именно ставка – простая процентная или простая учетная – применяется для дисконтирования, различают два его вида: математическое дисконтирование и банковский учет.
Дисконтирование по методу банковского учета использует простую учетную ставку:

где к – срок, остающийся до погашения векселя, в днях. При математическом дисконтировании используется простая процентная ставка i

Основной областью применения простых процентной и учетной ставок являются краткосрочные финансовые операции, длительность которых менее года. Вычисления с простыми ставками не учитывают возможность реинвестирования начисленных процентов.
В отличие от них, сложные ставки процентов учитывают возможность реинвестирования процентов:

Важной особенностью сложных процентов является зависимость конечного результата от количества начислений в течение года:

где m – количество начислений в год
Дисконтирование по сложным процентам также может выполняться двумя способами – математическое дисконтирование и банковский учет. Наиболее популярен банковский учет при однократном начислении процентов:

Инфляционные процессы в экономике приводят к необходимости сопоставлять разновременные затраты, результаты и эффекты, что прежде всего актуально для капитальных вложений. Коммерческая деятельность предприятия нуждается в постоянном контроле за эффективностью инвестиций, для чего используются две группы критериев, основанных на учетных и на дисконтированных оценках.
К группе учетных оценок относятся такие, как срок окупаемости и коэффициент эффективности инвестиций.
Срок (период) окупаемости, представляющий собой период, необходимый для возврата первоначальных инвестиций, рассчитывается по формуле:

где И – инвестиции, Дср. – средний ожидаемый доход.
Эффективность инвестиций может быть измерена как отношение дохода (денежных поступлений) к первоначальным инвестициям и находится в обратном отношении со сроком окупаемости:

Недостатком учетной оценки эффективности инвестиционной деятельности является множественность способов определения дохода. Также при расчете срока окупаемости не принимается по внимание временной аспект стоимости денег. Доходы разновременные, но одинаковые по своей величине, рассматриваются как эквивалентные, что, как правило, не может дать реальной оценки эффективности инвестиций, в отличие от применения дисконтированных оценок.
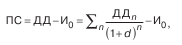
В составе дисконтированных оценок используются: чистая приведенная стоимость или эффект (ПС); общая накопленная величина дисконтированных доходов (ДД); индекс рентабельности инвестиций (РИ); внутренняя норма прибыли (НП) и др.
Дисконтированная чистая приведенная стоимость (эффект) рас считывается как разность между общей суммой дисконтированных денежных поступлений за п лет и суммой исходных инвестиций:

где Дп – общая накопленная величина дохода за п лет;

– общая накопленная величина дисконтированных доходов; d – величина дисконта. Используя этот критерий, необходимо руководствоваться правилом: если показатель меньше нуля, то проект следует отвергнуть.
Для оценки эффективности инвестиционных вложений наряду с абсолютными показателями ПС используются и относительные индексы рентабельности инвестиций, представляющие собой отношение общей суммы накопленных дисконтированных доходов к исходной инвестиции.
Для оценки эффективности планируемых инвестиций может использоваться критерий внутренней нормы прибыли проекта (внутренней доходности, или окупаемости), отражающий ставку дисконтирования, при которой ПС проекта равна нулю. Экономический смысл данного показателя, в отражении верхней границы допустимого уровня банковской процентной ставки, если проект полностью финансируется за счет ссуды банка. Если используются разные источники финансирования, то уровень рентабельности инвестиций не должен быть ниже текущего значения стоимости капитала. Большее числовое значение внутренней нормы прибыли считается предпочтительным.
Инвестиционная деятельность сопровождается риском, т. к. связана с иммобилизацией собственных финансовых ресурсов, привлечением заемных средств, разными сроками их возврата и ценой, поскольку инвестиции осуществляются в условиях неопределенности. Для оценки инвестиционных рисков используются статистические методы оценки: дисперсия, среднеквадратическое отклонение, коэффициент вариации, размах вариации и другие, т. к. требуется учесть неопределенность и вероятностные характеристики получения результатов не ниже требуемого значения, вероятность наступления ожидаемого ущерба.
Инвестиционные проекты характеризуются денежными потоками и необходимостью их финансовой оценки (дисконтирования). Риск может учитываться путем поправок к указанным параметрам.
Корреляционная (стохастическая) связь – это неполная, вероятностная зависимость между показателями, которая проявляется только в массе наблюдений. Различают парную и множественную корреляцию.
Парная корреляция – это связь между двумя показателями, один из которых является факторным, а другой результативным. Множественная корреляция возникает от взаимодействия нескольких факторов с результативным показателем.
Для изучения стохастических соотношений используются следующие способы экономического анализа: сравнение параллельных и динамических рядов, аналитические группировки, графики. Однако они позволяют выявить только общий характер и направление связи. Для определения степени влияния каждого фактора на уровень результативного показателя применяются способы корреляционного, дисперсионного, компонентного, современного многомерного факторного анализа и т. д.
Наиболее широкое применение в экономических исследованиях нашли приемы корреляционного и регрессионного анализа, которые позволяют количественно выразить взаимосвязь между показателями.
Регрессионный анализ предназначен для выбора формы связей, типа модели, определения расчетных значений зависимой переменной (результирующего признака).
Применение корреляционного анализа позволяет решить следующие задачи:
1. Определить изменение результативного показателя под воздействием одного или нескольких факторов (в абсолютном измерении), т. е. выяснить, на сколько единиц изменяется величина результативного показателя при изменении факторного на единицу.
2. Установить относительную степень зависимости результативного показателя от каждого фактора.
Необходимые условия применения корреляционного анализа:
1. Наличие достаточно большого количества наблюдений о величине исследуемых факторных и результативных показателей (в динамике или за текущий год по совокупности однородных объектов).
2. Исследуемые факторы должны иметь количественное измерение и отражение в тех или иных источниках информации.
При использовании способов парной корреляции связь между корреляционным фактором и результативным показателем характеризуется прежде всего коэффициентом корреляции, который может изменяться от нуля до единицы. Чем ближе он к единице, тем более тесная связь между анализируемыми показателями. Коэффициент корреляции с плюсом указывает на прямую связь, с минусом – на обратную:

где р – число наблюдений; у – результативный показатель; x – факторный показатель.
Далее корреляционый анализ дополняется регрессионным анализом. Зависимость исследуемого показателя от одного фактора в простейшем виде можно представить формулой у = а + bx. Для определения параметров (а и b) этого уравнения используется метод наименьших квадратов, решается такая система уравнений:

Размер влияния фактора на результат оценивается по параметру b (коэффициент регрессии), что показывает, на сколько единиц изменяется хозяйственный результат при изменении размера фактора на единицу.
При измерении тесноты связи при криволинейной зависимости используется универсальное корреляционное отношение:

Множественный корреляционный анализ более сложен, он состоит из нескольких этапов:
1. Определение наиболее существенных факторов.
2. Сбор и оценка исходной информации.
3. Изучение характера и моделирование связи между факторами и результативным показателем (подбор математического уравнения, наиболее точно выражающего сущность связи).
4. Расчет показателей связи.
5. Статистическая оценка результатов корреляционного анализа.
Деловая активность коммерческой организации проявляется в динамичности ее развития, достижении ею поставленных целей, что отражают натуральные и стоимостные показатели, в эффективном использовании экономического потенциала, расширении рынков сбыта продукции.
Количественная оценка и анализ деловой активности производятся по двум направлениям:
• степень выполнения плана по основным показателям, обеспечение заданных темпов их роста;
• уровень эффективности использования ресурсов коммерческой организации.
Наиболее информативные аналитические выводы формулируются в результате сопоставления темпов изменения основных показателей. Оптимальным считается следующее соотношение таких темповых показателей:
100 % < Tc <TРП<Tп,
где Тс, Трп, Tп соответственно – темп изменения совокупного капитала, авансированного в деятельность коммерческой организации, объема реализации и прибыли.
Первое неравенство означает, что экономический потенциал коммерческой организации возрастает; второе – по сравнению с увеличением экономического потенциала, объем реализации возрастает более высокими темпами; из третьего неравенства следует, что прибыль возрастает опережающими темпами.
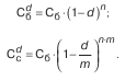
Для характеристики деловой активности акционерных компаний также используют коэффициент устойчивости экономического роста:

где П4 – чистая прибыль (доступная к распределению между владельцами организации); Д – дивиденды, выплаченные акционерам; СК – собственный капитал.
Куст. роста – показывает, какими темпами в среднем увеличивается собственный капитал за счет финансово-хозяйственной деятельности, а не за счет привлечения дополнительного акционерного капитала, или какими, в среднем, темпами может развиваться коммерческая организация в дальнейшем, не меняя сложившиеся соотношения между различными источниками финансирования, фондоотдачей, рентабельностью производства, дивидендной политикой и т. д. Связь коэффициента Куст. роста с этими показателями может быть описана жестко детерминированной факторной моделью:

где Пр – чистая прибыль, реинвестируемая в развитие; ВР – выручка от реализации; А – стоимостная оценка совокупных активов предприятия. Экономическая интерпретация:
• первый фактор модели характеризует дивидендную политику в коммерческой организации, выражающуюся в выборе экономически целесообразного соотношения между выплачиваемыми дивидендами и аккумулируемой частью прибыли;
• второй фактор характеризует рентабельность продаж;
• третий фактор отражает ресурсоотдачу;
• четвертый фактор (коэффициент финансовой зависимости) характеризует соотношение между заемными и собственными источниками средств.
Основными оценочными показателями в рамках оценки деловой активности как уровня эффективности использования ресурсов коммерческой организации являются показатели ресурсоотдачи. Так, показатель эффективности использования основных фондов (фондоотдача) рассчитывается по формуле

где ОС – средняя стоимость основных средств.
Этот коэффициент показывает, сколько рублей выручки от реализации приходится на один рубль вложений в основные средства.
Эффективность использования трудовых ресурсов обычно характеризуется показателями производительности труда, характеризующими объем производства (в стоимостном измерении), приходящийся на одного работника.
Эффективность использования финансовых ресурсов рассматривается в рамках управления оборотными активами: рассчитываются оборачиваемость производственных запасов и средств в расчетах, продолжительность операционного и финансового циклов и другие показатели.
Обобщающим показателем оценки эффективности использования ресурсов предприятия является показатель ресурсоотдачи (коэффициент оборачиваемости средств в активах), рассчитываемым по формуле

где Аср – средняя стоимость активов.
Этот показатель характеризует объем реализованной продукции, приходящейся на рубль средств, вложенных в деятельность предприятия.
Финансовый анализ – это процесс, основанный на изучении данных о финансовом состоянии предприятия и результатах его деятельности в прошлом с целью оценки будущих условий и результатов его деятельности. Финансовое состояние предприятия отражает его способность финансировать свою деятельность. Оно характеризуется обеспеченностью финансовыми ресурсами, целесообразным их размещением и эффективным использованием, финансовыми взаимоотношениями с другими юридическими и физическими лицами.
Финансовый анализ дает возможность оценить имущественное состояние предприятия, степень предпринимательского риска, достаточность капитала, потребность в дополнительных источниках, способность к наращению капитала, рациональность привлечения заемных средств, обоснованность политики распределения и использования прибыли, целесообразность выбора инвестиций и т. д.
Анализ финансового состояния предприятия осуществляется на основе бухгалтерского баланса, отчета о финансовых результатах (о прибылях и убытках), отчета о движении денежных средств, отчета о движении капитала, сводной бухгалтерской отчетности в регистрах, журналах.
Наиболее важен бухгалтерский баланс, представляющий собой зафиксированное на определенную дату состояние имущества фирмы и источников ее финансирования. Баланс не достаточно удобен из-за его статичности.
Анализ финансового состояния может проводиться руководителями и работниками (службами) предприятия – внутренний анализ; а также различными заинтересованными лицами: инвесторами, банками, поставщиками и другими деловыми партнерами, налоговыми органами ит. д. – это внешний анализ. Результаты внутреннего анализа используются для планирования, контроля и прогнозирования финансового состояния. Его цель – обеспечить необходимое поступление денежных средств, рациональное размещение и эффективное использование собственных и заемных средств.
Внешний анализ характеризуется множественностью субъектов анализа, разнообразием их целей и интересов. Несмотря на это, внешний анализ проводится на основе типовых методик, стандартов учета и отчетности, которые охватывают различные стороны финансового состояния предприятия и позволяют адаптировать анализ к целям заинтересованных лиц.
Основные группы пользователей бухгалтерской отчетностью, имеющие к ней доступ:
1) акционеры, кредиторы, инвесторы;
2) контролирующие органы;
3) работники предприятий, потенциальные инвесторы, профсоюзные организации, статистические органы.
Все другие пользователи могут получить информацию из официально публикуемой отчетности, которая предоставляется в обязательном порядке определенными законодательно установленными категориями предприятия (например, банки, ломбарды, АО) или на добровольном основании.
Успешность анализа определяется соблюдением следующих основных принципов:
• принцип осторожности, в соответствии с которым результаты любых аналитических процедур следует рассматривать как субъективные оценки, которые не могут служить неоспоримым аргументом для принятия управленческого решения;
• требование наличия четкой программы анализа, предшествующей его проведению, включая проработку и однозначную идентификацию целей, желаемых результатов и доступных ресурсов;
• принцип построения схемы анализа от общего к частному с выделением наиболее существенных моментов и отбрасыванием несущественных;
• принцип тщательного анализа отклонений от нормативных или плановых значений показателей даже в том случае, когда они имеют позитивный характер;
• требование тщательного выбора используемых аналитических методик и обоснованности применения определенной совокупности критериев и показателей;
• принцип соответствия сложности привлекаемого аппарата целям исследования, в соответствии с которым выбор математического аппарата должен основываться на идее целесообразности и оправданности, поскольку сама по себе сложность аппарата не гарантирует получение более качественных оценок и выводов.
Под финансовым состоянием понимается способность предприятия финансировать свою деятельность. Оно характеризуется обеспеченностью финансовыми ресурсами, необходимыми для нормального функционирования предприятия, целесообразностью их размещения и эффективностью использования, финансовыми взаимоотношениями с другими юридическими и физическими лицами, платежеспособностью и финансовой устойчивостью. Финансовое состояние предприятия зависит от результатов его производственной, коммерческой и финансовой деятельности. Информационной базой анализа финансового состояния служит финансовая отчетность. Финансовая отчетность предприятия может быть проанализирована при помощи системы показателей.
Выделяют шесть групп показателей, которые описывают имущественное положение коммерческой организации (актив бухгалтерского баланса); ее ликвидность (способность активов трансформироваться в денежные средства) и платежеспособность (наличие у предприятия денежных средств и их эквивалентов, достаточных для расчетов по кредиторской задолженности, требующей немедленного погашения); финансовую устойчивость (стабильность деятельности в долгосрочной перспективе); деловую активность (динамичность развития организации, эффективное использование экономического потенциала, расширение рынков сбыта продукции); рентабельность (эффективность работы предприятия); положение на рынке ценных бумаг. 1. Основными характеристиками имущественного положения
коммерческой организации являются:
• сумма хозяйственных средств, находящихся в распоряжении организации (валюта или итог баланса);
• доля внеоборотных активов в итоге баланса;
• доля активной части основных средств;
• коэффициент износа.
2. Основными характеристиками ликвидности и платежеспособности коммерческой организации являются:
• величина собственных оборотных средств;
• коэффициенты текущей, быстрой и абсолютной ликвидности.
3. Финансовая устойчивость коммерческой организации характеризуется следующими показателями:
• доля собственного капитала в общей сумме источников;
• доля заемного капитала в общей сумме долгосрочных пассивов, под которыми понимается собственный и заемный капитал;
• коэффициент обеспеченности процентов по полученным кредитам и займам;
• коэффициент соотношения заемного и собственного капитала.
4. Основные показатели деловой активности:
• соотношение темпов роста активов, выручки и прибыли;
• показатели оборачиваемости;
• фондоотдача;
• производительность труда;
• продолжительность операционного и финансового цикла.
5. Рентабельность финансово-хозяйственной деятельности коммерческой организации характеризуется показателями:
• прибыль;
• рентабельность продукции;
• рентабельность авансированного капитала;
• рентабельность собственного капитала.
6. Показатели положения на рынке ценных бумаг:
• рыночная стоимость коммерческой организации;
• доход на акцию;
• общая доходность акций (облигаций);
• капитализированная доходность акций (облигаций).
Информационная база анализа и оценки результатов деятельности хозяйственных субъектов включает в себя совокупность входящей информации, результаты ее промежуточной обработки, выходные данные и конечные результаты анализа, поступающие в систему управления. Рационально организованный и соответствующим образом регулируемый информационный поток служит надежной базой для построения моделей в соответствии с задачами анализа. Формирование системы информационного обеспечения анализа результатов деятельности организации – это процесс целенаправленного подбора соответствующих информативных показателей для использования в процессе анализа, прогнозирования и принятия управленческих решений.
Информационной базой для анализа хозяйственной деятельности (АХД) являются:
1. Планово-нормативные источники анализа (данные планов, нормы расходов топлива, электроэнергии, материалов, сырья, обеспеченности и использования торговых и складских площадей, другие нормативные материалы, проектно-сметные документы, технические паспорта).
2. Данные бухгалтерского, статистического и оперативного учета и отчетности.
Наиболее подробные сведения приводятся в годовых отчетах, к которым обязательно прилагается обязательная записка. По данным первичных документов можно установить причины перерасходов, уплаты штрафов, виновных лиц, изучить законность и целесообразность совершаемых хозяйственных операций.
3. Данные документальных ревизий, проверок, приказов и распоряжений предприятий, вышестоящих органов, хозяйственно-правовые материалы (договоры, спецификации, наряды, заявки и заказы на поставку товаров, решения арбитража), протоколы заседаний балансовых комиссий, экономических советов, производственных совещаний и т. п.
4. Личные наблюдения, материалы хронометража, фотографирования рабочего дня.
К исходной информации в экономическом анализе предъявляются определенные требования.
Главное из них – удовлетворение потребностям широкого круга пользователей. Требования к учетной информации:
1. Аналитичность информации, т. е. поступающая информация должна быть именно о тех направлениях деятельности и с той детализацией, которая нужна аналитику.
2. Объективность информации необходима для того, чтобы выводы после проведения анализа соответствовали действительности.
3. Единство информации, т. е. сопоставление одних и тех же показателей из разных источников и т. п.
7. Оперативность информации (с помощью ПЭВМ).
8. Рациональность информации, т. е. минимум затрат на ее сбор, хранение и пользование.
Эффективность экономического анализа и оценки во многом зависят от правильности его организации. Экономический анализ состоит из трех этапов:
1. Подготовительный этап, в который входят: составление плана проведения анализа, подбор, проверка и предварительная обработка изучаемой информации.
В планах анализа предусматривают: цель, программу, объекты анализа, сроки его проведения, исполнителей и распределение функций между ними, оформление и использование результатов анализа.
2. Основной этап предполагает аналитическую обработку материалов, составление таблиц, графиков, диаграмм, установление основных факторов, влияющих на изучаемые показатели.
3. Заключительный этап, во время которого обобщают результаты проведенного анализа, разрабатывают меры по устранению выявленных недостатков и использованию имеющихся резервов, а также осуществляют контроль за выполнением разработанных мероприятий.
При проведении экономического анализа за длительный период его результаты оформляют в виде докладной или объяснительной записки, справки, заключения, приказа и т. п., состоящих из двух частей: выводов и предложений.
В выводах дается общая оценка степени выполнения планов и динамики хозяйствования, отмечаются положительные и отрицательные моменты в работе, их причины, указываются пути и возможности улучшения хозяйственной деятельности.
Предложения основываются на результатах анализа и содержат комплекс конкретных мер, направленных на выявление резервов повышения эффективности хозяйствования.
Одно из приоритетных направлений в оценке финансового состояния – анализ имущественного положения организации и выявление возможностей приумножения капитала, способности обеспечивать неуклонный рост прибыли и расплачиваться своевременно по своим обязательствам (долгам).
Цель анализа состава, динамики и структуры активов организации состоит в оценке тенденций изменения структуры и разработке организационно-экономических механизмов повышения качества их использования.
Информационной базой анализа являются: ф. № 1 «Бухгалтерский баланс»; ф. № 5 «Приложение к „Бухгалтерскому балансу“; Расчет среднегодовой стоимости имущества предприятия для исчисления налога на имущество (в поквартальном разрезе); остатки на счетах бухгалтерского учета, отражающие все процессы движения активов; главная книга и др.
Для анализа имущества и капитала используются также методы: динамический, структурный, структурно-динамический, коэффициентный; факторный.
Этапы анализа имущественного положения и эффективности использования активов:
1. Вертикальный анализ актива баланса.
2. Горизонтальный анализ актива баланса.
3. Анализ рентабельности активов.
4. Анализ основного капитала и оценка эффективности его использования.
5. Анализ состояния оборотного капитала и его использования.
1. Вертикальный анализ показывает структуру средств предприятия с помощью относительных оценок с целью сравнения экономических показателей деятельности предприятий, различающихся по величине использованных ресурсов, и сглаживания влияние инфляционных процессов, искажающих абсолютные показатели бухгалтерского баланса.
Вертикальный анализ активов баланса проводится по схеме: определяется доля постоянных и текущих активов в итоге баланса, далее рассматривается их структура, выявляются причины изменений структуры баланса.
2. Горизонтальный анализ баланса заключается в построении одной или нескольких аналитических таблиц, в которых абсолютные показатели дополняются относительными темпами роста (снижения).
Для целей горизонтального анализа наиболее удобна аналитическая таблица, в которой отображаются следующие показатели, относящиеся к определенной строке актива: величина актива на начало и конец года в руб. и в % к итогу; изменения величины активов в руб., удельных весах и % к величине. Если динамика, представленная в документах, охватывает промежуток свыше года, рассчитываются базисные темпы роста за несколько лет (смежных периодов), что позволяет анализировать не только изменение отдельных показателей, но и прогнозировать их значения.
3. Рентабельности активов характеризует результативность производственно-хозяйственной деятельности предприятия и определяется как отношение прибыли до вычета процентов и налогов к стоимостной оценке совокупных активов предприятия (итог баланса по активу). Анализ рентабельности активов основан на использовании многофакторных комплексных моделей.
4. Анализ основного капитала заключается в горизонтальном и вертикальном анализе первого раздела актива баланса и оценке эффективности использования основных фондов. На первом этапе анализируется динамика и структура соответствующих статей бухгалтерского баланса, рассчитываются темпы роста и прироста, доля соответствующих частей основного капитала во внеоборотных активах в целом. На втором этапе оцениваются коэффициенты эффективности использования наиболее значимой части основного капитала – основных фондов.
5. При анализе оборотного капитала рассчитывают величину собственных оборотных средств и оценивают структуру собственного капитала. Эффективность использования оборотных средств определяется на основе расчета оборачиваемости оборотных средств в днях и коэффициента оборачиваемости. Под оборачиваемостьюсредств понимается продолжительность прохождения средствами отдельных стадий производства и обращения; коэффициент оборачиваемости оборотных средств характеризует объем выручки от реализации в расчете на один рубль оборотных средств.
Цель анализа статей бухгалтерского баланса – охарактеризовать структуру имущества организации и источников его финансирования.
Вертикальный анализ показывает структуру средств предприятия и их источников и позволяет перейти к относительным оценкам, чтобы проводить хозяйственные сравнения экономических показателей деятельности предприятий, различающихся по величине использованных ресурсов, и сглаживать влияние инфляционных процессов, искажающих абсолютные показатели финансовой отчетности.
Вертикальный анализ баланса проводится по схеме: определяется доля постоянных и текущих активов в итоге баланса; далее рассматривается их структура, определяется доля инвестированного капитала и текущих пассивов в итоге баланса и их структура; выявляются причины изменений структуры баланса.
Горизонтальный анализ отчетности заключается в построении одной или нескольких аналитических таблиц, в которых абсолютные показатели дополняются относительными темпами роста (снижения). Степень агрегированности показателей определяется аналитиком.
Для целей горизонтального анализа наиболее удобна аналитическая таблица, в которой отображаются следующие показатели, относящиеся к определенной строке актива или пассива: величина актива (пассива) на начало и конец года в руб. и % к итогу; изменения величины активов (пассивов) в руб., удельных весах и % к величине. Если динамика, представленная в документах, охватывает промежуток свыше года, рассчитываются базисные темпы роста за несколько лет (смежных периодов), что позволяет анализировать не только изменение отдельных показателей, но и прогнозировать их значения.
Горизонтальный и вертикальный анализы взаимодополняют друг друга. Так, если при вертикальном анализе особое внимание уделяется элементам, имеющим наибольший удельный вес, то в горизонтальном делается акцент на элементы, доля которых изменялась скачкообразно. Т. к. элементы с максимальным удельным весом либо изменяющиеся скачкообразно являются индикаторами «проблемных точек» организации, то выявить их можно только при одновременном использовании соответствующих методов.
Оба этих вида анализа особенно ценны при межхозяйственных сопоставлениях, т. к. позволяют сравнивать отчетность различных по виду деятельности и объемам производства предприятий.
Коэффициентный метод, применяемый в экономическом анализе, представляет собой систему относительных показателей, определяемых по данным бухгалтерской отчетности, главным образом, по данным баланса и отчета о прибылях и убытках. Применение коэффициентов основано на теории, предполагающей существование определенных соотношений между отдельными статьями отчетности. Предпочтительные значения коэффициентов зависят от отраслевых особенностей предприятий, а также их размеров, оцениваемых обычно годовым объемом продаж и среднегодовой стоимостью активов. На предпочтительные величины коэффициентов, кроме того, могут влиять общее состояние экономики и фаза экономического цикла. Для расчета коэффициентов финансовые отчеты предприятия должны быть приведены в определенную форму, называемую аналитической.
Коэффициентный метод экономического анализа дополняется факторным методом, позволяющим выявить изменения результирующего признака под влиянием отклонения некоторых факторов, предположительно оказывающих на него количественное воздействие. Сущность применения факторного метода заключается в том, что взаимосвязь исследуемого показателя с факторными передается в форме конкретного математического уравнения. С помощью детерминированных факторных моделей исследуется функциональная связь между результативным показателем (функцией) и факторами (аргументами). Таким образом, коэффициенты могут выступать в факторных моделях как в роли результирующего признака, так и в роли фактора. Каждый коэффициент представляет собой простейшую двухфакторную кратную модель типа y = a/b, которая может быть существенно дополнена с помощью способов преобразования факторных моделей.
По абсолютной сумме прибыли не всегда можно судить об уровне доходности предприятия, его финансовом результате, т. к. на размер показателей прибыли влияет не только качество работы, но и масштабы деятельности. Поэтому для характеристики эффективности работы предприятия наряду с абсолютной суммой прибыли используют относительный показатель – уровень рентабельности.
Рентабельность – показатель эффективности деятельности предприятия, характеризующий уровень отдачи от затрат и степень использования средств. В основе расчета рентабельности – отношение прибыли к затратам. Если аналитические расчеты ведутся с позиций самого предприятия, то в качестве обобщающего показателя ресурсов используется средняя стоимость активов.
Рентабельность активов (коэффициент генерирования доходов) характеризует результативность всей производственно-хозяйственной деятельности предприятия и определяется как отношение прибыли до вычета процентов и налогов к стоимостной оценке совокупных активов предприятия (итог баланса по активу):

К активам предприятия относятся основные производственные средства, нематериальные активы, используемые в производстве (патенты, товарные знаки и т. д.), а также материально-производственные запасы.
Или

где ОФ – средняя за период стоимость основных производственных фондов,
ОбФ – средняя за период стоимость материальных оборотных средств.
Существуют различные методики анализа рентабельности производственных активов по факторам, однако наиболее широкое распространение получила комплексная факторная модель фирмы «DuPont», которая позволяет в ходе исследования получить оценку влияния следующих показателей-факторов:
Пч/ВР – рентабельность продаж;
ВР/СК – оборачиваемость собственного капитала;
СК/А – доля собственного капитала в формировании активов.
Мультипликативная факторная детерминированная модель рентабельности активов:

Другая интерпретация факторной модели рентабельности активов основана на том, что и числитель, и знаменатель формулы расчета рентабельности производственных активов умножаются на себестоимость реализованной продукции, прибыль от реализации продукции и величину материальных оборотных средств. Модель позволяет оценить влияние факторов:
СС/ОбФ – число оборотов оборотных средств (СС – себе стои мость реализованной продукции);
Прп/СС – рентабельность продукции, характеризует эффективность использования текущих затрат живого и прошлого;
ОбФ/ОФ+ОбФ – доля оборотных средств в общей стоимости производственных фондов;
Пч/Прп – коэффициент мультипликации прибыли.
Факторная модель рентабельности активов:

Обе факторные модели являются комплексными, обеспечивая анализ рентабельности с различных позиций (с точки зрения пассивов или активов предприятия). Каждый из этих коэффициентов в обеих моделях отражает эффективность различных сторон деятельности организации. Количественное значение влияния этих факторов можно найти, применив один из специальных приемов экономического анализа.
Основной капитал – это часть финансовых ресурсов (собственного и заемного капитала) организации, инвестированных для приобретения или создания новых основных фондов производственного и непроизводственного назначения. Это материализованная часть собственного и заемного капитала, используемая в процессе производства и реализации продукции, товаров, работ, услуг с целью получения дохода. Существенным сегментом основного капитала являются основные средства (фонды) – часть имущества, используемая в качестве средств труда в процессе производства продукции, выполнения работ и оказания услуг либо для управления организацией в течение периода, превышающего 12 месяцев. В состав основного капитала также включаются нематериальные активы, долгосрочные финансовые вложения, которые в настоящий момент обеспечивают получение дохода организации или будут приносить доход в будущем. Все перечисленные статьи и основные средства объединены в бухгалтерском балансе в разделе I «Внеоборотные активы».
Анализ основного капитала заключается в горизонтальном и вертикальном анализе первого раздела актива баланса и оценке эффективности использования основных средств.
На первом этапе анализируется динамика и структура соответствующих статей бухгалтерского баланса, рассчитываются темпы роста и прироста, доля соответствующих частей основного капитала во внеоборотных активах в целом. Наибольшее внимание уделяется анализу основных фондов, для оценки движения и состояния которых разработана система показателей.
Анализ движения основных фондов проводится на основе следующих показателей:
• коэффициент поступления основных средств – отношение поступивших основных средств к стоимости основных средств на конец периода;
• коэффициент обновления основных средств – определяется отношением стоимости новых основных средств к стоимости основных средств на конец периода;
• коэффициент выбытия основных средств – стоимость выбывших основных средств к стоимости основных средств на начало периода;
• коэффициент ликвидации основных средств – отношение стоимости ликвидированных основных средств к стоимость основных средств на начало периода.
125ТЯ Показатели движения основных фондов рассчитываются по всем основным фондам, по активной их части, по основным видам оборудования.
Для анализа состояния основных фондов применяются следующие показатели:
• коэффициент годности основных средств – отношение остаточной стоимости основных средств к первоначальной стоимости основных средств;
• коэффициент износа основных средств – сумма начисленного износа основных средств, деленная на первоначальную стоимость основных средств.
Показатели состояния основных фондов рассчитываются по состоянию на начало и конец анализируемого периода. Чем ниже коэффициент износа, тем лучше техническое состояние, в котором находятся основные фонды.
На втором этапе анализа основного капитала производится оценка эффективности его использования, для чего используется показатель фондоотдачи, который определяется как отношение стоимости товарной продукции (П) к среднегодовой стоимости основных производственных фондов (ОФ):
ОФ=П/ОФ
Другим показателем эффективности использования основных средств является фондоемкость, которая определяется отношением средней стоимости основных средств (ОФ) к объему выпуска продукции (П):
ФЕ=ОФ/П
При расчете фондоотдачи в стоимости основных фондов учитываются собственные и арендованные средства; не учитываются основные фонды, находящиеся на консервации, а также сданные в аренду другим предприятиям. Повышение фондоотдачи приводит к снижению суммы амортизационных отчислений на 1 руб. готовой продукции и способствует повышению доли прибыли в цене товара.
Для выявления эффективности использования различных групп основных фондов показатель фондоотдачи рассчитывается по группам основных фондов, по промышленно-производственным фондам, по активной части промышленно-производственных фондов. Сопоставление темпов изменения фондоотдачи по разным группам основных фондов дает возможность определить направления совершенствования их структуры.
Оборотный капитал (оборотные средства, оборотные активы, текущие активы, оборотные фонды) по вещественному содержанию представляют собой запасы сырья, полуфабрикатов, топлива, тару, расходы будущих периодов, малоценные и быстроизнашивающиеся предметы. Данные активы обеспечивают текущие потребности предприятия и достаточно быстро завершают свой финансовый кругооборот, трансформируясь из денежной в материальную форму и обратно в деньги. Их ликвидность значительно выше, чем у основных фондов.
Оборотный капитал представляет собой сумму второго раздела актива баланса предприятия.
Среди показателей, характеризующих состояние оборотного капитала, наиболее значимым является величина собственных оборотных средств. Данный показатель отражает часть собственного капитала предприятия, которая является источником покрытия текущих активов предприятия, зависит как от структуры активов, так и от структуры источников средств и определяется как разность между оборотными активами и краткосрочными пассивами. Повышение платежеспособности предприятия, его ликвидность определяются по показателю собственного оборотного капитала.
Для анализа структуры собственного капитала используется коэффициент маневренности, при расчете которого используется собственный оборотный капитал:
Кман.= СоК/СК
где СоК – собственный оборотный капитал; СК – собственный капитал. Высокое значение этого коэффициента означает, что собственный капитал представлен в форме более ликвидных средств, что расширяет возможности его использования, маневрирования средствами.
Эффективность использования оборотных средств характеризуется прежде всего их оборачиваемостью. Под оборачиваемостью средств понимается продолжительность прохождения средствами отдельных стадий производства и обращения. Время, на протяжении которого оборотные средства находятся в обороте, т. е. последовательно переходят из одной стадии в другую, составляет период оборота оборотных средств.
Оборачиваемость оборотных средств:

где Оо – оборачиваемость оборотных средств в днях; ОСост. – средний остаток оборотных средств; Кдн. – число дней анализируемого периода (90, 360); ВР – выручка от реализации продукции за анализируемый период.
Коэффициент оборачиваемости оборотных средств характеризует объем выручки от реализации в расчете на один рубль оборотных средств:
Ко=ВР/ОСост или Кдн/Оо.
При анализе оборачиваемости оборотных средств особое внимание уделяется производственным запасам и дебиторской задолженности.
Важным показателем эффективности использования оборотных средств является также коэффициент загрузки средств в обороте. Он характеризует сумму оборотных средств, которые авансируются на 1 рубль выручки от реализации продукции:
ОСост/ ВР
Коэффициент загрузки средств в обороте – величина, обратная коэффициенту обращения оборотных средств. Чем меньше коэффициент загрузки средств, тем эффективнее используются оборотные средства.
Также одной из характеристик использования оборотного капитала является экономический эффект от изменения оборачиваемости – сумма экономии (высвобождения) или перерасхода (дополнительного привлечения) средств при изменении оборачиваемости оборотных средств.
По аналогичным формулам производится расчет частных показателей состояния и использования оборотного капитала: коэффициент оборачиваемости, продолжительность оборота и коэффициент загрузки нормируемых оборотных средств и отдельных элементов или групп оборотных средств:
• оборотных активов организации;
• дебиторской задолженности;
• товарно-материальных запасов;
• краткосрочных финансовых вложений.
Вместо величины всех оборотных средств в формулы подставляется величина нормируемых средств или отдельного их элемента. Частная оборачиваемость отдельных элементов или групп оборотных средств называется слагаемой, если она рассчитывается по выручке от реализации. Совокупность слагаемых частных показателей по всем видам (группам) оборотных средств даст в результате общий показатель оборачиваемости всех оборотных средств.
Капитал – это стоимость, приносящая прибавочную стоимость. Вложение капитала в хозяйственную деятельность, его инвестирование создают прибыль. Всеобщая формула капитала: Д—Т—Д'
где Д – денежные средства, авансированные инвестором; Т – товар (купленные средства производства, рабочая сила и другие элементы производства); Д' – денежные средства, полученные инвестором от продажи продукции и включающие в себя реализованный прибавочный продукт (прибавочную стоимость);
Д'—Д – прибавочный продукт (доход инвестора);
Д'—Т – выручка от продажи продукции;
Д – Т – затраты инвестора на покупку товара.
В структуру капитала входят денежные средства, вложенные в основные фонды, нематериальные активы, оборотные фонды, фонды обращения.
Основные фонды представляют собой средства труда (здание, оборудование, транспорт и т. д.), которые многократно используются в хозяйственном процессе, не изменяя при этом свою вещественно-натуральную форму. Стоимость основных фондов частями, по мере их износа, переносится на стоимость продукции (услуги) и возвращается в процессе ее реализации (амортизация). Денежные суммы, соответствующие снашиванию основных средств, накапливаются в амортизационном фонде. Денежные средства, авансированные на приобретение основных фондов, называются основными средствами.
Нематериальные активы представляют собой вложение денежных средств предприятия (его затраты) в нематериальные объекты, используемые в течение долгосрочного периода в хозяйственной деятельности и приносящие доход. Таким образом, нематериальные активы – это стоимость объектов промышленной и интеллектуальной собственности и иных имущественных прав. Основные средства, нематериальные активы, незавершенное строительство и долгосрочные финансовые вложения образуют основной капитал.
Оборотные фонды по вещественному содержанию представляют собой запасы сырья, полуфабрикатов, топлива, тару, расходы будущих периодов, малоценные и быстроизнашивающиеся предметы.
Оборотные производственные фонды принимают однократное участие в производственно-торговом процессе, изменяя при этом свою вещественно-натуральную форму. Их стоимость полностью переносится на вновь произведенный продукт, а основное назначение – обеспечение непрерывности и ритмичности производства.
Фонды обращения связаны с обслуживанием процесса обращения товаров. Они включают произведенную, но нереализованную продукцию, запасы товаров, денежные средства в кассе и расчетах и др. По характеру участия в производственно-торговом процессе оборотные средства и фонды обращения тесно взаимосвязаны и постоянно переходят из сферы производства в сферу обращения и наоборот.
Денежные средства, вложенные в оборотные производственные фонды и фонды обращения, представляют собой оборотные средства (оборотный капитал).
Движение оборотных средств происходит по схеме: Д—Т … П …Т'—Д',
где Т – средства производства; П – производство; Т' – готовая продукция;
Д' – денежные средства, полученные от продажи продукции и включающие в себя реализованный прибавочный продукт.
Точки (…) означают, что обращение средств прервано, но процесс их кругооборота продолжается в сфере производства.
Уставный капитал представляет собой сумму вкладов учредителей хозяйствующего субъекта для обеспечения его жизнедеятельности. Величина уставного капитала соответствует сумме, зафиксированной в учредительных документах, и является неизменной. Увеличение или уменьшение уставного капитала может производиться в установленном порядке.
В финансовой деятельности хозяйствующего субъекта различаются активы и пассивы. Активы хозяйствующего субъекта – это совокупность имущественных прав, принадлежащих ему. В состав активов хозяйствующего субъекта входят основные средства, нематериальные активы, долгосрочные вложения (в сумме – внеоборотные активы) и оборотные средства. Активы за вычетом долгов (расчеты с кредиторами, заемные средства, доходы будущих периодов) представляют чистые активы. Пассивы хозяйствующего субъекта – это совокупность его долгов и обязательств, состоящих из заемных и привлеченных средств, включая кредиторскую задолженность.
Основным методом анализа эффективности использования собственного и заемного капитала является коэффициентный анализ, который объединяет систему показателей:
1. Коэффициенты оценки движения капитала (активов) преддпри-ятия, к которым относят коэффициенты поступления, выбытия и использования, рассчитываемые по всему совокупному капиталу и по его составляющим:
• коэффициент поступления всего капитала показывает, какую часть средств от имеющихся на конец отчетного периода составляют новые источники финансирования (Кпост.– поступивший капитал; Кк – стоимость капитала на конец периода);
КпК =Кпост./ Кк
• коэффициент поступления собственного капитала показывает, какую часть собственного капитала от имеющегося на конец отчетного периода составляют вновь поступившие в его счет средства (СК – собственный капитал (здесь и далее индексы соответственно);
КпСК =СКпост./ СКк
• коэффициент поступления заемного капитал показывает, какую часть заемного капитала от имеющегося на конец отчетного периода составляют вновь поступившие долгосрочные и краткосрочные заемные средства (ЗК – собственный капитал);
КпЗК =ЗКпост./ ЗКк
• коэффициент использования собственного капитал показывает, какая часть собственного капитала, с которым предприятие начало деятельность в отчетном периоде, была использована в процессе деятельности (СКисп.– использованная часть собственного капитала; СКИ – собствен ный капитал на начало периода);
КиСК =СКисп/ СКн
• Коэффициент выбытия заемного капитала показывает, какая его часть выбыла в течение отчетного периода посредством возвращения кредитов и займов и погашения кредиторской задолженности (ЗКвыб.– выбывшие заемные средства).
КвЗК =ЗКвыб./ ЗКн
2. Коэффициенты деловой активности позволяют проанализировать, насколько эффективно предприятие использует свой капитал:
• коэффициент оборачиваемости собственного капитал с коммерческой точки зрения отражает излишки (недостаточность) продаж, с финансовой – скорость оборота вложенного капитала, с экономической – активность денежных средств, которыми рискует вкладчик (РП – объем реализации; СКср. – среднего довая стоимость собственного капитала);
ОСК=РП/ СКСК
• коэффициент оборачиваемости инвестиционного капитала рассчитывается по формуле (ДО – долгосрочные обязательства);

• коэффициент оборачиваемости кредиторской задолженности показывает, сколько компании требуется сделать оборотов инвестиционного капитала для оплаты выставленных ей счетов (СС(РП) – себестоимость реализованной продукции; КЗ – кредиторская задолженность).
Оборачиваемость в днях рассчитывается как частное от деления количества дней в году на соответствующие коэффициенты оборачиваемости и показывает, сколько требуется дней для осуществления одного оборота собственного, инвестированного капитала или кредиторской задолженности.
3. Коэффициенты структуры капитала характеризуют степень защищенности интересов кредиторов и инвесторов. Рассчитываются: коэффициент собственного капитала, характеризующий долю собственного капитала в структуре капитала компании; коэффициент заемного капитала, выражающий долю заемного капитала в общей сумме источников финансирования предприятия, и коэффициент соотношения заемного и собственного капитала, характеризующий степень зависимости организации от внешних займов (кредитов). Коэффициенты этой группы называются также коэффициентами платежеспособности.
4. Коэффициенты рентабельности (доходности) показывают, насколько прибыльна деятельность компании, и исчисляются отношением полученной прибыли к используемым источникам средств:

• рентабельность собственного капитала представляет особый интерес для имеющихся и потенциальных владельцев обыкновенных и привилегированных акций (Пч – чистая прибыль);
• аналогично – рентабельность заемного капитала.
Общая сумма средств, которую нужно уплатить за использование определенного объема финансовых ресурсов, выраженная в процентах к этому объему, называется ценой капитала. Цена капитала является ключевым элементом теории и практики решений инвестиционного характера. Для определения цены капитала необходимо рассчитать цену основных источников капитала и их элементов.
Основными элементами заемного капитала являются ссуды банка и выпущенные предприятием облигации.
Цена единицы ссуды банка:
Цс=i(1־ НП).
где i – ставка банковского процента; НП – налог на прибыль.
Цена такого источника средств, как облигации хозяйствующего субъекта, приблизительно равна величине уплачиваемого процента.
На многих предприятиях в качестве заемных средств выступает задолженность перед бюджетом и внебюджетными фонд&ми. Штрафные санкции и пени, уплачиваемые за просрочку, в данном случае являются платой за этот источник средств, цена которого:
Цзад = Ш/3Дср
где Ш – штрафы, пени за просрочку за год; 3Дср – среднегодовая задолженность в бюджет и внебюджетные фонды.
Цена источника средств привилегированные акции» с неограниченным периодом обращения рас считывается по формуле
Цпа =Двпа/ Ц′па
где, Двпа – размер фиксированного дивиденда (в денежных единицах) по привилегированным акциям; Ц'па – чистая сумма средств, полученных АО от продажи одной привилегированной акции. Аналогично рассчитывается цена обыкновенных акций с постоянной величиной дивиденда.
Для расчета цены обыкновенных акцииспостоянной динамикой изменения уровня дивидендов, зависящего от эффективности работы организации, наиболее популярны две модели.
Модель Гордона:

где Дв1 – прогнозное значение дивиденда на ближайший период; ЦО – текущая (рыночная) цена обыкновенной акции; ТПдв – прогнозируемый темп прироста дивидендов.
Модель САРМ:
Цоа=Дтбезриск.+К · (Дтрын. ־ Дтбезриск.)
где Дтбезриск – доходность безрисковых вложений; К – коэффициент, рассчитываемый для каждой акции; Дтрын – средняя ставка доходности, сложившаяся на рынке ценных бумаг.
Далее определяется цена нераспределенной прибыли. Если она направляется на цели финансирования, то цена данного источника равна рентабельности, которую смогли бы получить акционеры (собственники) предприятия при вложении полученного ими дивидендного дохода в альтернативные проекты. Существуют четыре методики расчета цены нераспределенной прибыли, они достаточно сложны. Первая методика допускает расчет на основе САРМ-модели. Определение цены нераспределенной прибыли по второй методике базируется на формуле дисконтированного денежного потока. При этом допускается, что акционеры общества на полученные дивиденды могут купить акции других компаний. Величина ЦНП определяется из следующей формулы:

где t – период времени.
Третья методика предполагает использование альтернативных ставок рентабельности. В этом случае в качестве цены не распределенной прибыли рекомендуется использовать депозитный процент по вкладам в стабильной иностранной валюте. Четвертая методика строится на основе безрисковой ставки рентабельности и субъективно оцениваемой рисковой премии. В качестве безрисковой ставки рентабельности принято использовать ставку дохода по долгосрочным правительственным облигациям.
Показатель, характеризующий относительный уровень общей суммы расходов по обслуживанию всех источников капитала, представляет собой цену капитала:

где Ц – цена j-го источника средств; Удj – удельный вес j-го источника средств в общей их сумме.
Предприятие может принимать любые решения инвестиционного характера, уровень рентабельности которых не ниже текущего значения показателя этого интегрального показателя.
Финансовый рычаг («финансовый леверидж») – это финансовый механизм управления рентабельностью собственного капитала за счет оптимизации соотношения используемых собственных и заемных финансовых средств. Таким образом, финансовый рычаг позволяет воздействовать на прибыль через оптимизацию структуры капитала.
Эффект финансового рычага – это показатель, отражающий приращение к рентабельности собственных средств, получаемое благодаря использованию кредита, несмотря на платность последнего. Он рассчитывается по следующей формуле:
ЭФЛ =(1− НП)⋅(РА−%ср.)ЗК/СК,
где ЭФЛ – эффект финансового левериджа, заключающийся в приросте коэффициента рентабельности собственного капитала, %; ПН – ставка налога на прибыль, выраженная десятичной дробью; РА – коэффициент валовой рентабельности активоЕ (отношение валовой прибыли к средней стоимости активов), %; %ср. – средний размер процентов за кредит, уплачиваемых предприятием за использование заемного капитала, %; 3К – средняя сумма используемого предприятием заемного капитала; СК – средняя сумма собственного капитала предприятия.
Приведенная формула расчета эффекта финансового леве-риджа позволяет выделить в ней три основные составляющие:
1. Налоговый корректор финансового левериджа (1-НП), который показывает, в какой степени проявляется эффект финансового левериджа в связи с различным уровнем налогообложения прибыли.
2. Дифференциал финансового левериджа (РА−%ср.) который отражает разницу между коэффициентом валовой рентабельности активов и средним размером процента за кредит.
3. Плечо финансового левериджа ЗК/СК, которое характеризует сумму заемного капитала, используемого предприятием, в расчете на единицу собственного капитала.
Налоговый корректор финансового левериджа практически не зависит от деятельности предприятия, т. к. ставка налога на прибыль устанавливается законодательно. В процессе управления финансовым левериджем дифференциальный налоговый корректор может быть использован в следующих случаях:
• дифференциации ставки налогообложения прибыли или наличия налоговых льгот по различным видам деятельности предприятия;
• осуществления деятельности дочерних фирм предприятия в оффшорных зонах или странах с иным налоговым климатом. Дифференциал финансового левериджа является главным
условием, формирующим положительный эффект финансового левериджа, если уровень валовой прибыли, генерируемый активами предприятия, превышает средний размер процента за используемый кредит. Чем выше положительное значение дифференциала финансового левериджа, тем выше при прочих равных условиях будет его эффект.
Плечо финансового левериджа является рычагом, который вызывает положительный или отрицательный эффект, получаемый за счет дифференциала. При положительном значении дифференциала любой прирост коэффициента финансового левериджа будет вызывать еще больший прирост коэффициента рентабельности собственного капитала, а при отрицательном значении дифференциала прирост коэффициента финансового левериджа будет приводить к еще большему темпу снижения коэффициента рентабельности собственного капитала. Таким образом, при неизменном дифференциале плечо финансового левериджа является главным генератором как возрастания суммы и уровня прибыли на собственный капитал, так и финансового риска потери этой прибыли. Аналогичным образом, при неизменном плече финансового левериджа положительная или отрицательная динамика его дифференциала генерирует как возрастание суммы и уровня прибыли на собственный капитал, так и финансовый риск ее потери.
3нание механизма воздействия финансового капитала на уровень прибыльности собственного капитала и уровень финансового риска позволяет целенаправленно управлять как стоимостью, так и структурой капитала предприятия.
Количественное значение влияния факторов на изменение результирующего показателя находится путем применения одного из специальных приемов экономического анализа.
Оптимизация решений по привлечению капитала – это процесс исследования множества факторов, воздействующих на ожидаемые результаты, в ходе которого на основе критериев оптимизации осуществляется выбор наиболее эффективного варианта привлечения капитала. В качестве критериев оптимизации могут выступать прирост обобщающих показателей рентабельности капитала, а разработанные на их основе факторные модели зависимости рентабельности собственного или заемного капитала от других частных показателей факторов позволяют выявить степень количественного воздействия каждого из них на изменение результативных показателей. Коэффициенты рентабельности (доходности) показывают, насколько прибыльна деятельность компании, и исчисляются отношением полученной прибыли к используемым источникам средств.
Рентабельность собственного капитала представляет собой отношение чистой прибыли к собственному капиталу организации:
РСК = Пч/ СК⋅100%
где Пч – чистая прибыль (доступная к распределению между владельцами организации); СК – собственный капитал. Этот показатель представляет интерес для имеющихся и потенциальных владельцев обыкновенных и привилегированных акций.
Рентабельность заемного капитала представляет собой отношение чистой прибыли к заемному капиталу организации:
РСК = Пч/ 3К⋅100%
где 3К – заемный капитал.
Наиболее широкое распространение в качестве инструментария анализа показателей рентабельности получила модифицированная факторная модель фирмы «D11Pont». Назначение модели – идентифицировать факторы, определяющие эффективность функционирования предприятия, оценить степень их влияния и складывающиеся тенденции в их изменении и значимости.
Для оценки влияния факторов на изменение рентабельности собственного капитала предлагается следующая многофакторная модель:

где ВР – выручка от реализации; А – стоимостная оценка совокупных активов предприятия (итог баланса по активу).
Таким образом, на рентабельность собственного капитала оказывают влияние следующие факторы:
Пч/ ВР рентабельность продаж;
ВР/A– коэффициент оборачиваемости активов или ресурсоотдача;

– показатель структуры капитала организации или коэффициент финансовой зависимости (итог баланса по активу равен соответственно, итогу баланса по пассиву, т. е. сумме собственного и заемного капитала). Из представленной модели видно, что рентабельность собственного капитала зависит от трех факторов: рентабельности продаж, ресурсоотдачи и структуры источников средств, авансированных в данное предприятие.
Для оценки влияния факторов на изменение рентабельности заемного капитала используется следующая многофакторная модель

где ВР – выручка от реализации; А – стоимостная оценка совокупных активов предприятия (итог баланса по активу). Факторы, оказывающие влияние на рентабельность заемного капитала:
Пч/ ВР рентабельность продаж;
ВР/A – коэффициент оборачиваемости активов или ресурсоотдача;

– коэффициент покрытия активами привлеченных средств (также является показателем структуры капитала организации, обратным к коэффициенту концентрации заемного капитала).
Из представленной модели видно, что рентабельность заемного капитала также зависит от трех факторов: рентабельности продаж, ресурсоотдачи и коэффициента покрытия активами собственных средств.
Финансовое положение предприятия можно оценивать с точки зрения краткосрочной и долгосрочной перспектив. В краткосрочном периоде критерии оценки финансового положения – ликвидность и платежеспособность предприятия, т. е. способность своевременно и в полном объеме произвести расчеты по краткосрочным обязательствам.
Ликвидность какого-либо актива – его способность трансформироваться в денежные средства, а степень ликвидности определяется продолжительностью временного периода, в течение которого эта трансформация может быть осуществлена. Чем короче период, тем выше ликвидность данного вида активов.
Платежеспособность означает наличие у предприятия денежных средств и их эквивалентов, достаточных для расчетов по кредиторской задолженности, требующей немедленного погашения. Таким образом, основными признаками платежеспособности являются:
• наличие в достаточном объеме средств на расчетном счете;
• отсутствие просроченной кредиторской задолженности. Ликвидность и платежеспособность не тождественны друг другу. Для оценки ликвидности и платежеспособности предприятия разработана система показателей и методика их анализа, заключающаяся в сравнении с нормативными значениями:
• величина собственных оборотных средств – часть собственного капитала предприятия, которая является источником покрытия его текущих активов, численно равна разности между оборотными активами и краткосрочными пассивами (рост показателя в динамике – положительная тенденция).
• маневренность функционирующего капитала – часть собственных оборотных средств, которая находится в форме денежных средств, т. е. средств, имеющих абсолютную ликвидность (меняется в пределах от нуля до единицы, рост оценивается положительно);
• коэффициент текущей ликвидности показывает, сколько рублей текущих активов приходится на один рубль текущих обязательств (нижнее критическое значение показателя – 2, рост – положительная тенденция);
• коэффициент быстрой ликвидности аналогичен коэффициенту текущей ликвидности, однако исчисляется по более узкому кругу текущих активов. Из расчета исключается наименее ликвидная их часть – производственные запасы (ориентировочное нижнее значение – 1);
• коэффициент абсолютной ликвидности (платежеспособности) наиболее жесткий критерий, показывает, какая часть краткосрочных заемных обязательств может быть погашена немедленно (нижняя граница – 0,2);
• доля собственных оборотных средств в покрытии запасов (рекомендуемая нижняя граница – 50 %);
• коэффициент покрытия запасов – отношение «нормальных» источников покрытия запасов и суммы запасов (если значение меньше 1, то текущее финансовое состояние неустойчиво). Одна из важнейших характеристик финансового состояния
предприятия – стабильность его деятельности в свете долгосрочной перспективы или финансовая устойчивость. Система показателей:
• коэффициент концентрации собственного капитала – доля владельцев предприятия в общей сумме средств, авансированных в его деятельность (чем выше значение, тем финансово устойчивей предприятие). Также рассчитывается коэффициент концентрации привлеченного (заемного) капитала – их сумма равна 1;
• коэффициент финансовой зависимости является обратным к коэффициенту концентрации собственного капитала;
• коэффициент маневренности собственного капитала – отношение собственного оборотного к собственному капиталу;
• коэффициент структуры долгосрочных вложений показывает, какая часть основных средств и прочих внеоборотных активов профинансирована внешними инвесторами;
• коэффициент долгосрочного привлечения заемных средств характеризует структуру капитала (рост этого показателя – негативная тенденция).
• коэффициент соотношения собственных и привлеченных средств дает наиболее общую оценку финансовой устойчивости предприятия (рост показателя в динамике – свидетельство усиления зависимости предприятия от внешних инвесторов и кредиторов).
Строгих нормативных критериев для всех рассмотренных показателей не существует: они могут варьироваться.
Новый Закон РФ «О несостоятельности (банкротстве)» был принят в 1997 г. Согласно данному закону, несостоятельность (банкротство) – это признанная арбитражным судом или объявленная должником неспособность должника в полном объеме удовлетворить требования кредиторов по денежным обязательствам и (или) исполнить обязанность по уплате обязательных платежей.
Согласно п. 2 ст. 3 Закона, «юридическое лицо считается не способным удовлетворить требования кредиторов по денежным обязательствам и (или) исполнить обязанность по уплате обязательных платежей, если соответствующие обязательства и (или) обязанности не исполнены им в течение трех месяцев с момента наступления даты их исполнения".
В п. 2 ст. 4 Закона предусмотрено, что для определения при знаков банкротства должника принимаются во внимание:
• размер денежных обязательств, в том числе размер задолженности за переданные товары, выполненные работы и оказанные услуги;
• сумма займа с учетом процентов, подлежащих уплате должником, за исключением обязательств перед гражданами, перед которыми должник несет ответственность за причинение вреда жизни и здоровью;
• обязательства по выплате авторского вознаграждения;
• обязательства перед учредителями (участниками) должника – юридического лица.
Подлежащие уплате за неисполнение или ненадлежащее исполнение денежного обязательства неустойки (штрафы, пени) не учитываются при определении размера денежных обязательств. Согласно п. 3 ст. 4 Закона, для определения наличия признаков банкротства должника принимается во внимание размер обязательных платежей без учета установленных законодательством РФ штрафов (пеней) и иных финансовых (экономических) санкций.
Закон 0״ несостоятельности (банкротстве)» определяет признаки несостоятельности для предприятий всех форм собственности.
Меры, которые могут быть применены к должнику – юридическому лицу, следующие: наблюдение; внешнее управление; конкурсное производство; мировое соглашение; иные процедуры, предусмотренные Законом.
Процедуры разрешения банкротств – реорганизация, ликвидация, мировое соглашение, санации. Реорганизационные процедуры проводятся, если имеется реальная возможность восстановления платежеспособности должника с целью продолжения деятельности путем реализации части его имущества и осуществления других организационных и экономических мероприятий. При проведении санации предприятиям может оказываться государственная финансовая поддержка.
В зависимости от форм собственности ликвидация проводится по-разному. Закон предусматривает возможность добровольного объявления должника о своем банкротстве и ликвидации при обязательном выполнении таких условий:
• факт наличия у организации-должника признаков банкротства;
• принятие решения о ликвидации собственниками имущества должника – унитарного предприятия или органом, уполномоченным на это учредительными документами должника;
• наличие письменного согласия всех кредиторов. Ликвидационные процедуры ведут к прекращению деятельности предприятия.
Закон устанавливает упрощенную процедуру банкротства, которая применяется к организациям, условно относящимся к двум группам: «отсутствующий должник» и «ликвидируемый должник». Эта процедура применяется, когда организация-должник фактически прекратила свою деятельность, а установить местонахождение ее руководителя не представляется возможным. К одному из частных случаев прекращения предпринимательской деятельности Закон относит ситуацию, когда операции по счетам должника не проводились в течение последних 12 месяцев.
Банкротство предприятия является последствием взаимодействия целого ряда факторов. К внешним факторам, оказывающим влияние на деятельность предприятия, относятся:
1. Экономика, состояние которой определяет уровень доходов, накоплений населения и покупательную способность населения; уровень цен и возможность получения кредита; фазу экономического цикла.
2. Демография, состояние которой определяет размер и структуру потребностей, и, как следствие, величину спроса.
3. Политика, обуславливающая уровень стабильности и направленность внутреннего развития, реализуемого через рычаги хозяйственного законодательства. Политическими предпосылками банкротства могут явиться: нелояльные по отношению к предпринимательству принципы государственного регулирования экономики, распределения собственности, реформирования земельного права и т. д.
4. НТП, который определяет все составляющие процесса производства товара и его конкурентоспособность.
5. Культура, которая находит проявление в привычках и нормах потребления, предпочтении одних товаров и отрицательном отношении к другим.
Основная рекомендация по избежанию несостоятельности из-за внешних причин для предприятий заключается в формировании механизма прогнозировании неблагоприятных изменений.
Одним из самых опасных факторов, приводящих к банкротству, является неплатеже способность должников. Данный фактор носит промежуточный характер между внутренними и внешними. Даже тщательный анализ кредитоспособности заемщика не гарантирует устранение этой угрозы в современных нестабильных условиях хозяйствования.
Риск возникновения банкротства зависит от таких внутренних факторов:
1. Философия фирмы.
2. Принципы деятельности фирмы.
3. Ресурсы и их использование.
4. Качество и уровень использования маркетинга.
Эти группы включают множество конкретных, действующих в каждой фирме избирательно, факторов.
Неопытность менеджеров, некомпетентность руководства, его несоответствие изменившимся объективным условиям, злоупотребления – все это ведет в целом к неэффективному управлению фирмой, к принятию ошибочных решений, невозможности приспособления к рыночным условиям, следовательно, к возрастанию риска банкротства.
Фактором возможной неудачи предприятия могут явиться высокие издержки производства продукции. С целью избежания неплатежеспособности необходимо сокращение излишних и устаревших производственных мощностей, улучшение технологических процессов, их удешевление, устранение брака, потерь от нерационального использования рабочего времени и текучести кадров, сокращение управленческих расходов, продажа и ликвидация убыточных производств и переключение на производство высокорентабельной продукции и т. д.
Нерациональная структура предприятия, излишнее его расширение ведет к неуправляемости, что может привести к распаду части подразделений и их ликвидации.
Обоснованная система стратегического планирования и набор эффективных маркетинговых средств ведет к снижению вероятности наступления банкротства. В случае игнорирования такого аппарата, неправильного финансового планирования и прогнозирования сроков поступления доходов и осуществления платежей предприятие может оказаться неплатежеспособным.
В качестве самостоятельного сильного фактора успешности работы выступают культуры производства и предприятия, включающие квалификационный состав, технологический уровень, психологическую атмосферу в коллективе и т. д.
На платежеспособность российских предприятий наиболее сильное воздействие оказывают политическая, экономическая и финансовая нестабильность, а также банкротство должников.
Финансовый результат – обобщающий показатель анализа и оценки эффективности деятельности хозяйствующего субъекта на определенных стадиях его формирования. Показателями, выражающими финансовый результат деятельности предприятия, являются:
• показатели прибыли, характеризующие финансово-хозяйственный эффект деятельности предприятия (абсолютные показатели);
• показатели рентабельности, характеризующие эффективность использования применяемых в процессе производства ресурсов и текущих затрат (относительные показатели).
Прибыль – это часть чистого дохода, созданного в процессе производства и реализованного в сфере обращения, которую непосредственно получает предприятие.
В РФ формирование различных показателей прибыли определяется Приказом МФ № 97.
Прибыль (убыток) отчетного периода складывается из:
• прибыли от реализации товаров;
• прибыли от реализации имущества и прочих активов;
• прибыли от финансовых операций;
• внереализационной прибыли.
Прибыль от реализации товаров представляет собой разность выручки от реализации за вычетом НДС, акцизов, экспортных пошлин, налога на реализацию ГСМ, процентных надбавок к розничным ценам на отдельные товары, вносимых в доход бюджета и себестоимости реализованной продукции, включающей в себя также административные и коммерческие расходы. Прибыль от реализации имущества и прочих активов как показатель инвестиционной сферы есть разница прочих операционных доходов и расходов. Финансовую деятельность характеризует показатель, определяемый как сумма доходов от участия в других организациях. Показатель внереализационной прибыли обусловлен наличием случайных и экстраординарных доходов и расходов. 0н исчисляется как разность между внереализационными доходами и расходами.
Анализ перечисленных показателей сводится в основном к изучению динамики и причин полученных убытков и прибыли по каждому конкретному случаю.
Формирование чистой прибыли отражается в форме № 2 бухгалтерской отчетности «Отчет о прибылях и убытках». В процессе формирования рассчитывают:
• валовую прибыль;
• прибыль от продаж;
• прибыль до налогообложения;
• прибыль от обычной деятельности;
• чистую (нераспределенную) прибыль.
Валовая прибыль рассчитывается по формуле
ВП = ВР – СС,
где ВП – валовая прибыль (ф. 2, стр. 029); ВР – выручка (нетто) от продажи товаров, продукции, услуг (ф. 2, стр. 010); СС – себестоимость проданных товаров, продукции, работ, услуг (ф. 2, стр. 020).
На предприятиях торговли и общественного питания валовая прибыль (валовой доход) характеризует сумму торговой надбавки, приходящейся на проданные товары, т. е. представляет собой разность между продажной и покупной стоимостью проданных товаров.
Прибыль от продаж рассчитывается по формуле
ПП = ВП – КР – УР
где ПП – прибыль от продаж (ф. 2, стр. 050); ВП – валовая прибыль (ф. 2, стр. 029); КР – коммерческие расходы (ф. 2, стр. 030); УР – управленческие расходы (ф. 2, стр. 040).
Прибыль до налогообложения рассчитывается по формуле
ПДН = ПП + ОД – ОР + ВРД – ВРР
где ПДН – прибыль до налогообложения (ф. 2, стр. 140); 0Д, ОР – операционны1едоходы и расходы; ВРД, ВРР – внереализационные доходы и расходы.
Чтобы оценить эффективность применяемых в производстве ресурсов и затрат, используют показатели рентабельности. Методика расчета показателей рентабельности сходная: сравнивается прибыль с затратами на различных уровнях.
Система показателей рентабельности включает: рентабельность активов, рентабельность продукции, рентабельность продаж, рентабельность отдельного вида изделий, рентабельность собственного и заемного капитала.
Наиболее общим является показатель рентабельности активов, который характеризует результативность всей производственно-хозяйственной деятельности предприятия и определяется как отношение прибыли до вычета процентов и налогов к стоимостной оценке совокупных активов предприятия (итог баланса по активу):

где ОФ – средняя за период стоимость основных производственных фондов; ОбФ – средняя за период стоимость материальных оборотных средств.
Основную часть прибыли предприятия получают от обычных видов деятельности, к которой относят прибыль от продаж продукции (работ, услуг). Прибыль от продаж продукции в целом по предприятию зависит от четырех факторов первого уровня соподчиненности: объема продаж продукции, ее структуры, себестоимости и уровня среднереализацион-ных цен. Также данные факторы могут быть дополнены уровнем условно-постоянных затрат и ценами на используемые ресурсы.
Объем продаж продукции может оказывать положительное и отрицательное влияние на сумму прибыли. Увеличение объема продаж рентабельной продукции приводит к пропорциональному увеличению прибыли. Если же продукция является убыточной, то при увеличении объема продаж происходит уменьшение суммы прибыли.
Структура товарной продукции может оказывать как положительное, так и отрицательное влияние на сумму прибыли. Если увеличивается доля более рентабельных видов продукции в общем объеме ее реализации, то сумма прибыли возрастает, и, наоборот, при увеличении удельного веса низкорентабельной или убыточной продукции общая сумма прибыли уменьшается.
Рост цен на реализованную продукцию способствует росту прибыли при неизменных прочих условиях.
Себестоимость продукции и прибыль находятся в обратно пропорциональной зависимости: при увеличении уровня цен сумма прибыли возрастает и наоборот.
Общая факторная модель прибыли от реализации (без учета структуры продаж):
П = РП (Ц – ССi),
где П – прибыль; РП – объем реализации; Ц – цена за единицу; ССi – себестоимость единицы.
Совместное влияние изменения объема и структуры продаж – это разница между базисной валовой прибылью, пересчитанной на фактический объем и структуру продаж, и базисной валовой прибылью. Пересчет производится по всем видам продукции путем перемножения базисной валовой прибыли на единицу продукции и количества видов продукции и сложения полученных результатов:

где i – номер вида продукции; K1i – количество продукции i-го вида.
Для расчета влияния изменения только объема продаж базисная валовая прибыль умножается на прирост индекса изменения физического объема продаж в сопоставимых ценах (ценах базисного периода):

Влияние изменения уровня среднереализационных цен на прибыль от продаж рассчитывается по формуле

Изменение уровня прибыли под воздействием изменения уровня затрат (себестоимости СС) при неизменном объеме реализации равно:

где 3i – уровень i-го вида затрат (на единицу продукции); Цi – цена i го вида затрат (за единицу затрат).
Влияние изменения цен потребляемых ресурсов на прибыль при неизменном объеме затрат составляет:

Увеличение условно-постоянных расходов в общем объеме затрат ведет к уменьшению прибыли и наоборот.
Запас финансовой прочности показывает, насколько можно снизить выручку от продаж, не впадая в убытки. Это разница между фактической выручкой от продаж и точкой безубыточности.
Анализ безубыточности определяет точку, в которой средств, выручаемых от продаж, становится достаточно для оплаты понесенных предприятием расходов. При проведении анализа безубыточности издержки производства делятся на два составляющие, одна из которых возрастает пропорционально увеличению производства – переменные затраты, а другая практически не зависит от количества произведенной продукции – постоянные затраты. Количество продукции, продажа которой покроет все затраты и обеспечит нулевую прибыль:

где ПЗ – постоянные затраты; Ц – цена за единицу товара; ПрЗс – средние переменные затраты.
Если предприятие произведет большее количество продукции, оно получит прибыль, меньшее – понесет убытки.
Рассчитанная по данному пороговому значению выручка дает возможность определить финансовую прочность организации.
Содержание и состав доходов и расходов определено Положениями РФ по бухгалтерском учету: ПБУ 9/99 «Доходы организации» и ПБУ 10/99 «Расходы организаций».
Доходами организации признается увеличение экономических выгод в результате поступления активов (денежных средств и иного имущества) или погашения обязательств, приводящее к увеличению капитала организации (сюда не включаются вклады участников в уставный капитал).
Доходы классифицируются на четыре группы:
• доходы от обычных видов деятельности: выручка от продаж товаров, продукции (работ, услуг);
• операционные доходы включают поступления от: предоставления за плату во временное пользование активов и прав организации; продажи основных средств и иных активов; участия в уставных капиталах других организаций; а также проценты, полученные за предоставление в пользование денежных средств (по облигациям, депозитам, векселям) и использование банком денежных средств на счете организации;
• внереализационные доходы: полученные штрафы, пени, неустойки за нарушение договоров; поступления от возмещения убытков; прибыль прошлых лет; кредиторская и дебиторская задолженность с истекшим сроком исковой давности; сумма дооценки активов;
• чрезвычайные доходы: страховое возмещение; стоимость материальных ценностей, остающихся от списанных активов. Не признаются доходами организации такие поступления от других юридических и физических лиц: суммы НДС, акцизов, налога с продаж, экспортных пошлин и пр.; авансы в счет оплаты продукции, товаров и услуг; задатки; залоги и т. д.
Расходами организации признается уменьшение экономических выгод в результате выбытия активов (имущества, денежных средств) или возникновения обязательств, уменьшающих капитал организации, за исключением уменьшения вкладов в уставный капитал собственников имущества по их решению.
Не признается расходами организации выбытие активов, связанное с приобретением внеоборотных активов; вложениями в уставный капитал других организаций; приобретением акций АО и иных ценных бумаг; перечислением средств и взносов, связанных с благотворительной деятельностью; предварительной оплатой материально-производственных запасов и иных ценностей (работ и услуг); погашением кредита, займа и т. п.
Расходы также классифицируются на четыре группы:
• расходы по обычным видам деятельности: себестоимость произведенных товаров, продукции (работ, услуг) и произведенные расходы, сопутствующие поступлению выручки;
• операционные расходы: расходы, связанные с предоставлением за плату во временное пользование активов и прав организации; расходы, связанные с продажей, выбытием и прочим списанием основных средств и иных активов; расходы, связанные с участием в уставных капиталах других организаций; проценты, уплаченные за пользование денежными средствами и пр.;
• внереализационные расходы: уплаченные штрафы, пени, неустойки за нарушение договоров; возмещение причиненных убытков; убытки прошлых лет; суммы дебиторской задолженности с истекшим сроком исковой давности, но реальных для взыскания; сумма уценки активов; убытки от списания долгов по недостачам и хищениям (на основе актов о несостоятельности ответчика);
• чрезвычайные расходы: по страховому возмещению, восстановлению разрушенного имущества, приобретению утраченного имущества.
Правила для признания расходов в отчете о прибылях и убытках:
1. Соответствие расходов полученным доходам.
2. Необходимость обоснованного распределения расходов между отчетными периодами.
3. Подлежат признанию независимо от предыдущих правил расходы, признанные в отчетном периоде, если по ним можно определенно утверждать о неполучении экономических выгод (доходов) или поступлении активов.
Анализ доходов и расходов организации проводится по данным ф. № 2 «Отчет о прибылях и убытках». В ней содержится информация о всех видах доходов и расходов за отчетный и предыдущий периоды в поквартальном, полугодовом, девятимесячном и годовом разрезах. Это позволяет качественно оценить характер возникновения и содержание доходов и расходов; проанализировать в динамике состав и структуру доходов и расходов, их изменение, осуществлять контроль за их движением и состоянием; выявлять факторы, оказавшие влияние на увеличение (снижение) доходов и расходов, а также рассчитывать ряд коэффициентов, свидетельствующих об эффективности использования доходов и целесообразности произведенных расходов в сравнении с полученными доходами.
Для анализа доходов и расходов используются методы, аналогичные методам анализа бухгалтерского баланса: вертикальный и горизонтальный анализ, коэффициентный и факторный методы. При горизонтальном анализе доходов и расходов изучаются абсолютные изменения объемов доходов и расходов и темпы роста показателей, анализируются причины изменений с помощью качественных методов экономического анализа.
При вертикальном анализе соответствующих статей формы № 2 рассчитывается удельный вес различных частей доходов и расходов в итоге по виду доходов (расходов), а также доля доходов (расходов) обычных, операционных, внереализационных и чрезвычайных доходов (расходов) в валовых доходах (расходах) предприятия.
Доля доходов и расходов разных видов, в том числе внереализационных, в общей сумме валовой выручки (расходов) предприятия может быть достаточно большой, однако преобладающими, как правило, являются доходы (расходы) от основной деятельности. Если это не так, требуется более глубокий анализ причин этого, особенно в случаях повторения ситуации в динамике. Аномально высокая доля финансовых доходов (от совместной С!:! деятельности и от деятельности дочерних организаций) в течение продолжительного времени может свидетельствовать, в частности, о том, что предприятие является производственным лишь формально. Уменьшение производственных фондов ставит под угрозу нормальное функционирование хозяйствующего субъекта; если распродажа имущества осуществляется систематически, это может привести к банкротству.
Для проведения качественного контроля и мониторинга динамики и структуры операционных и внереализационных расходов предприятия необходимо детально конкретизировать направления использования его средств во избежание нецелесообразных трат и в целях своевременного их устранения. В зависимости от величины компании и ресурсов, которые она может направить на проведение аналитических процедур и сбор информации, анализ может проводиться очень подробно или по укрупненным статьям, однако в том или ином объеме, с той или иной регулярностью анализ структуры расходов проводится практически всеми предприятиями. Скачкообразное увеличение или динамический рост доли любой статьи расходов в совокупных расходах организации являются угрозой неплатежеспособности для предприятия и должны быть проанализированы.
Проведение анализа динамики, состава и структуры доходов и расходов организации углубляется с помощью коэффициентных методов, характеризующих степень эффективности использования (расходования) этих средств, исходя из данных. Рассчитываются следующие коэффициенты: рентабельность активов, рентабельность продаж, рентабельность расходов; доля выручки от продаж на 1 руб. доходов; доходы на 1 руб. активов; доходы на 1 руб. расходов.
Углубленный анализ коэффициентов проводится в случаях их резкого или систематического изменения в динамике. В этих случаях для выявления количественного влияния различных факторов на результативный показатель используются методы факторного анализа. Факторный анализ позволяет найти реальные пути изменения ситуации в пользу предприятия.
В связи с переходом к рынку залогом выживаемости и основой стабильного положения предприятия служат его финансовая устойчивость, эффективное (ориентированное на потребителя) производство. Квалифицированное руководство, которое располагает полной информацией о финансовом состоянии и хозяйственной деятельности организации, способно прогнозировать ее дальнейшее развитие. В связи с этим в коммерческих организациях особую роль выполняют подразделения, занимающиеся анализом и оценкой финансового положения организации.
Для оценки финансового состояния и разработки методов повышения эффективности деятельности предприятия необходимо проведение комплексного финансового анализа как инструмента обоснования управленческих решений. Финансовый анализ – это процесс, основанный на изучении данных о финансовом состоянии предприятия и результатах его деятельности в прошлом с целью оценки будущих условий и результатов его деятельности. Финансовое состояние предприятия отражает его способность финансировать свою деятельность. Финансовый анализ дает возможность оценить имущественное состояние предприятия, степень предпринимательского риска, достаточность капитала, потребность в дополнительных источниках, способность к наращению капитала, рациональность привлечения заемных средств, обоснованность политики распределения и использования прибыли, целесообразность выбора инвестиций и т. д. и является инструментом финансового менеджмента.
Финансовый анализ выступает не только основной составляющей любой функции управления (прогнозирования и бизнес-планирования; координирования, регулирования, учета и контроля, стимулирования, оценки условий хозяйствования и т. д.), но и сам является видом управленческой деятельности, предшествующей принятию управленческих решений для поддержания бизнеса на необходимом уровне.
Свобода взаимодействия рыночных субъектов, конкуренция, коммерческий риск и неопределенность получения ожидаемых экономических выгод, вероятность наступления предполагаемого ущерба или получения результата ниже требуемого значения выдвигают на первый план проблему выбора. Для анализа наиболее актуальной становится задача обоснования выбора оптимальных вариантов деловых решений из имеющихся альтернатив. Развитая в научных и методических аспектах система анализа и оценки финансовой отчетности хозяйствующих субъектов позволяет выявлять, систематизировать и актуализировать решение наиболее сложных и часто встречающихся проблем и разрабатывать эффективные рекомендации по их устранению и выходу из создавшегося положения.
Исключительная роль анализа финансовой отчетности обусловлена перечнем типов управленческих решений, которые базируются на его результатах:
• для внешних пользователей – целесообразность выдачи кредита; вложения инвестиций; признание или непризнание предприятия банкротом и пр.;
• для внутренних пользователей: по обычной деятельности (решения по номенклатуре и ассортименту производства зависят от частных показателей рентабельности продукции за прошлые периоды; варианты внедрения новых видов продукции сопоставляются с предпринимательским риском и прогнозными значениями финансовых коэффициентов и т. д.); решения по удовлетворению потребностей в дополнительных ресурсах; решения о рациональности привлечения заемных средств, размещении и эффективном использовании собственных и заемных средств; обоснованность политики распределения и использования прибыли; целесообразность принятия инвестиционного проекта и т. д.
Финансовый анализ находится во взаимосвязи с анализом хозяйственной деятельности в целом, инвестиционным анализом, маркетингом и т. д.
Таким образом, финансовый анализ является главным, но не единственным инструментом управления.
Кредитоспособность – это:
• с точки зрения заемщика – способность к совершению кредитной сделки, возможность своевременного возврата полученной ссуды;
• с позиций банка – правильное определение размера допустимого кредита.
При определении кредитоспособности заемщика необходим учет таких факторов:
• дее– и правоспособность заемщика для совершения кредитной сделки;
• его моральный облик, репутация;
• наличие обеспечительного материала ссуды;
• способность заемщика получать доход.
Основные блоки методики анализа и оценки кредитоспособности заемщика:
• анализ текущей платежеспособности (ликвидность, финансовая маневренность);
• анализ долгосрочной платежеспособности (финансовые результаты, финансовый рычаг, структура пассивов);
• анализ величины и структуры финансовых потоков реципиента;
• анализ величины и структуры финансовых потоков проекта, обеспечиваемого кредитом.
Анализ текущей платежеспособности производится с помощью показателей ликвидности и финансовой маневренности.
Ликвидность характеризует соотношение различных статей текущих активов и пассивов заемщика и, таким образом, наличие свободных ликвидных ресурсов, являющихся источником погашения кредита и процентов по нему. Основные показатели ликвидности:
• коэффициент текущей ликвидности показывает, сколько рублей текущих активов приходится на один рубль текущих обязательств (нижнее критическое значение показателя – 2, рост – положительная тенденция);
• коэффициент быстрой ликвидности аналогичен коэффициенту текущей ликвидности, однако исчисляется по более узкому кругу текущих активов. Из расчета исключается наименее ликвидная их часть – производственные запасы (ориентировочное нижнее значение – 1);
• коэффициент абсолютной ликвидности (платежеспособности) – наиболее жесткий критерий, показывает, какая часть
краткосрочных заемных обязательств может быть погашена немедленно (нижняя граница – 0,2);
• величина чистого оборотного капитала (разница оборотных активов и текущих обязательств).
Маневренность функционирующего капитала – часть собственных оборотных средств, которая находится в форме денежных средств, т. е. средств, имеющих абсолютную ликвидность (меняется в пределах от нуля до единицы, рост оценивается положительно).
Анализ долгосрочной платежеспособности начинается с построения динамического отчета о финансовых результатах с расчетом темпов роста, т. е. его горизонтального анализа. Учитывая долгосрочность потенциального кредита, в условиях инфляции целесообразно корректировать показатели.
Далее на основе последних данных квартальной отчетности и представленного технико-экономического обоснования проекта, обеспечиваемого кредитными ресурсами, моделируется изменение финансовых результатов заемщика при условии успешной реализации проекта.
Анализ прогнозных финансовых потоков фирмы-заемщика проводится на основе текущего и планового отчетов о движении денежных средств и запрашиваемых расшифровок к данным отчетам. Проведение такого анализа целесообразно по той причине, что получение доходов и момент поступления денежных средств на счет предприятия не всегда совпадают, также не все расходы могут быть облечены в денежную форму. В то же время выплата процентов и погашение основного долга практически всегда означают реальное перечисление денежных средств. Анализ финансовых потоков фирмы-заемщика проводится на основе исследования прогнозного баланса движения денежных средств.
Анализ финансовых потоков проекта, обеспечиваемого выдачей целевого кредита, показывает банку возможность погашения процентов и суммы основного долга за счет поступлений, генерируемых непосредственно финансируемым за счет кредита проектом. Также составляется анализ чувствительности финансовых потоков.
Далее осуществляется составление графика погашения кредита, поиск приемлемых как для банка, так и для заемщика условий кредитования. Источник информации – результаты оценки и анализа кредитоспособности; выбор условий кредитования производится на основе калькуляции метода погашения кредита.
Большинство видов хозяйственных операций организации в той или иной форме связано с поступлением или выбытием де нежных средств.
Для осуществления своих расходов организация должна обеспечивать адекватный приток денежной массы в виде выручки от продаж продукции, товаров (работ, услуг), поступления дивидендов на вложенный капитал, получения временных заемных денежных средств и т. д. Таким образом, деятельность организации является объективной предпосылкой возникновения движения денежных средств.
Движение денежных средств организации во времени представляет собой непрерывный процесс, создавая денежный поток. Денежный поток – это совокупность распределенных во времени объемов поступления и выбытия денежных средств в процессе хозяйственной деятельности организации. Поступление (приток) денежных средств называется положительным денежным потоком, выбытие (отток) денежных средств – отрицательным денежным потоком. Разность между положительным и отрицательным денежными потоками по каждому виду деятельности или по хозяйственной деятельности организации в целом называется чистым денежным потоком.
Для обеспечения всестороннего, глубокого анализа денежные потоки организации классифицируются:
По видам деятельности:
• денежный поток по операционной деятельности;
• денежный поток по инвестиционной деятельности;
• денежный поток по финансовой деятельности. По участию в хозяйственном процессе:
• денежный поток по организации в целом;
• денежный поток по видам хозяйственной деятельности;
• денежный потокпо структурным подразделениям организации;
• денежный поток по отдельным хозяйственным операциям. По направлению:
• положительным денежный поток;
• отрицательный денежный поток. По уровню оптимальности:
• избыточный денежный поток;
• дефицитный денежный поток.
По времени:
• ретроспективный (отчетный) денежный поток;
• оперативный денежный поток;
• планируемый денежный поток.
По моменту оценки стоимости денежных средств:
• настоящая стоимость денежного потока;
• будущая стоимость денежного потока. По характеру формирования:
• периодический (регулярный) денежный поток;
• эпизодический (дискретный) денежный поток. По временным интервалам:
• денежный поток с равномерными временными интервалами;
• денежный поток с неравномерными временными интервалами.
Для осуществления нормальной жизнедеятельности организация должна располагать оптимальной суммой денежных средств. Недостаток средств может негативно отразиться на деятельности организации и привести к неплатежеспособности, снижению ликвидности, убыточности и прекращению функционирования. Избыточная денежная масса, не вовлеченная в производственно-коммерческий оборот, не приносит дохода.
Цель анализа денежных потоков – получение необходимого объема их параметров, дающих объективную, точную и своевременную характеристику направлений поступления и расходования денежных средств, объемов, состава, структуры, объективных и субъективных, внешних и внутренних факторов, оказывающих различное влияние на изменение денежных потоков.
Задачи анализа денежных потоков организации:
• оценка оптимальности объемов денежных потоков организации;
• оценка денежных потоков по видам хозяйственной деятельности;
• оценка состава, структуры, направлений движения денежных средств;
• оценка динамики потоков денежных средств;
• выявление и измерение влияния различных факторов на формирование денежных потоков;
• выявление и оценка резервов улучшения использования денежных средств;
• разработка предложений по реализации резервов повышения эффективности использования денежных средств.
Для анализа движения денежных средств используется показатель их прироста с включением наличного и безналичного оборота:
• денежные средства в кассе;
• денежные средства на расчетном счете;
• денежные средства на валютном счете, которые переоцениваются на дату составления отчетности по курсу ЦБ.
При определении показателя изменения денежных средств может использоваться прямой и косвенный метод.
Прямой метод. Прямой метод расчета изменения денежных средств (метод «поступлений – выплат») основывается на сопоставлении по каждому виду деятельности притока денежных средств с расходованием денежных средств. Этот метод – трансформация расчета балансовой прибыли с учетом реального движения денежных средств.
В движении денежных средств не участвуют, но применяются при определении прибыли: амортизация, бартер и т. д.
Прямой метод используется для всех сфер деятельности.
1. Основная деятельность.
Приток денежных средств: поступление выручки от реализации продукции; авансы, полученные от покупателей; поступления средств целевого характера; возврат средств от поставщиков или ранее перечисленных авансов; возврат неиспользованных подотчетных сумм.
Отток денежных средств: оплата счетов поставщиков; выплата зарплаты; отчисления в бюджет и внебюджетные фонды; выдача подотчетных сумм; возврат целевых поступлений; уплата процентов по кредиту; использование фонда потребления; уплата авансов; прочие выплаты.
2. Инвестиционная деятельность:
Приток денежных средств – поступления от реализации внеоборотных активов.
Отток денежных средств – приобретение внеоборотных активов капитального характера, долгосрочного использования, долгосрочные финансовые вложения.
3. Финансовая деятельность.
Приток денежных средств: кредиты банков; займы у п/п; выручка от реализации краткосрочных финансовых вложений; доходы от ц/б и долевого участия; безвозмездно полученная помощь; реализация акций.
Отток денежных средств: погашение займов, кредитов; предоставление займов; вложения в краткосрочные ц/б; выкуп собственных акций; выплата дивидендов; безвозмездное перечисление финансовой помощи.
Изменение денежных средств представляет собой разницу между притоками и оттоками денежных средств. Сумма изменений денежных средств по отдельным сферам за период равна разнице в наличии денежных средств по всем сферам на конец и начало периода.
Аналитическое значение отчета о движении денежных средств в том, что в нем четко выделены сферы-источники денежных средств и денежноемкие сферы и видны причины, вызывающие приток и отток денежных средств.
Косвенный метод. Показатель изменения денежных средств можно рассчитать и косвенным методом. Он устраняет недостатки прямого, который не отвечает на вопрос, почему отклоняется значение изменения денежных средств от полученной чистой прибыли. В основе косвенного метода лежит показатель чистой прибыли, который трансформируется в изменение денежных средств. Обычно для перехода из одной системы в другую используют две итерации. Первая состоит в том, чтобы исключить те операции, которые полностью связаны с системой начисления и не влияют на показатель изменения денежных средств. Второй шаг – это выделение тех операций, которые по-разному влияют на чистую прибыль и изменение денежных средств.
Обычно показатель изменения денежных средств считают косвенным методом для основной деятельности. На первом этапе сумму амортизации, убыток от списания основных средств, потери от оприходования окончательно забракованной продукции, другие аналогичные операции прибавляют к чистой прибыли. На втором этапе сумма чистой прибыли корректируется на изменение дебиторской и кредиторской задолженности, а также товарных запасов. На втором этапе (при расчете показателя изменения денежных средств только от основной деятельности) необходимо также освободиться от влияния прибыли (убытка) от инвестиционной и финансовой деятельности. Для этого прибыль от такой деятельности вычитают, а убыток прибавляют к сумме чистой прибыли.
Косвенный метод отвечает на вопрос, почему чистая прибыль отличается от изменения денежных средств, а также характеризует причину изменения денежных средств.
Коэффициентный метод в анализе денежных потоков применяется для изучения уровней и их отклонения от плановых и базисных значений различных относительных показателей, характеризующих денежные потоки; эффективности использования денежных средств организации; анализа динамики различных коэффициентов, позволяющего установить положительные и отрицательные тенденции. Данные процедуры позволяют отразить качество управления денежными потоками организации, разработать необходимые мероприятия для внесения соответствующих коррективов по оптимизации управленческих решений.
Коэффициентный анализ денежных потоков объединяет такие показатели:
1. Коэффициент достаточности чистого денежного потока – показатель, определяющий достаточность создаваемого организацией чистого денежного потока с учетом финансируемых потребностей:

где ДПч – чистый денежный поток за анализируемый период;
Взк– выплаты по долго– и краткосрочным кредитам и займам за анализируемый период; Д – дивиденды, выплаченные собственникам организации за анализируемый период; ∆3 – прирост остатков материальных оборотных активов за анализируемый период.
2. Коэффициент эффективности денежных потоков используется в качестве обобщающего показателя:

где ДР0 – отток денежных средств за анализируемый период.
3. Коэффициент реинвестирования – один из частных показателей эффективности денежных потоков организации:

где ∆ВА – приток внеоборотных активов, связанный с произведенными организацией затратами за анализируемый период.
4. Коэффициенты ликвидности денежного потока рассчитываются для оценки синхронности формирования различных видов денежных потоков по отдельным временным интервалам (месяц, квартал) внутри рассматриваемого периода (года) по формуле

где ΔДС – приращение остатков денежных средств за анализируемый период. Оценка эффективности использования денежных средств производится также с помощью различных коэффициентов рентабельности:
1. Коэффициент рентабельности положительного денежного по тока в анализируемом периоде:

где Пч – чистая прибыль, полученная за анализируемый период; ДПП – положительный денежный поток за анализируемый период.
2. Коэффициент рентабельности среднего остатка денежных средств в анализируемом периоде:

где ДП – средняя величина остатков денежных средств за анализируемый период.
3. Коэффициент рентабельности чистого потока денежных средств в анализируемом периоде:

Отдельно рассматриваются показатели рентабельности денежных потоков по видам деятельности:
1. Коэффициент рентабельности денежного потока по текущей деятельности – отношение прибыли от продаж за анализируемый период к положительному денежному потоку по текущей деятельности.
2. Коэффициент рентабельности денежного потока по инвестиционной деятельности в анализируемом периоде – отношение прибыли от инвестиционной деятельности к положительному денежному потоку по инвестиционной деятельности за анализируемый период.
3. Коэффициент рентабельности денежного потока по финансовой деятельности в анализируемом периоде – отношение прибыли от финансовой деятельности к положительному денежному потоку по финансовой деятельности за анализируемый период.
Перечисленные коэффициенты целесообразно анализировать в динамике.
Оценка сбалансированности денежных потоков во времени исходит из критерия минимизации возможных отклонений (колебаний) значений притока и оттока денежных средств. Для установления степени синхронности (сбалансированности) денежных потоков за анализируемый период используется корреляционный анализ, который позволяет выявить риск неплатежеспособности и наличие избытка (недостатка) денежной массы.
Инфляция – это процесс, характеризующийся повышением общего уровня цен. Инфляция вызывает убытки по денежным активам, приводит к значительным изменениям стоимости других активов и пассивов. Игнорирование влияния инфляционных процессов на оценку активов и пассивов предприятия приводит к искажению достоверности информации финансовой отчетности, неправомерным результатам и выводам анализа динамики ее показателей. В условиях инфляционной экономики показатели бухгалтерской отчетности подлежат корректировке, для чего используются значения темпов инфляции. Темп инфляции представляет собой изменение общего уровня цен, выраженное в процентах.
Механизм корректировки бухгалтерской отчетности связан с трудностями определения: собственно методов корректировки (пересчета) на уровень инфляции показателей финансовой отчетности; показателей и методов измерения инфляции; последовательности проведения корректировочных процедур.
Наиболее правомерным считается использование методов корректировки отчетности, основанных на динамике уровня цен. В мировой практике существуют три основных метода корректировки влияния изменения цен на статьи финансовой от четности предприятия:
1. Модель учета в постоянных ценах, предусматривающая оценку объектов бухгалтерского учета в денежных единицах одинаковой покупательной способности (General Purchasing Power – GPP).
Основной целью корректировки метода GPP является представление финансовой отчетности в единообразных единицах покупательной способности. При этом не учитывается динамика цен по отдельным компонентам активов и пассивов.
Формула корректировки при пересчете показателей финансовой отчетности (инфлирование):
Ki′ = Ki ⋅ IЦ,
где Ki′ – скорректированное (пересчитанное) значение показателя i-го периода; Ki – первоначальное значение показателя i-го периода; IЦ – индекс цен отчетного периода по сравнению с i-м периодом.
Модель корректировки бухгалтерского баланса методом GPP:
А+АНМ⋅i=СК⋅(1+i)+ЗК−(АМ−ЗК)⋅ i ,
где А – величина актива исходного бухгалтерского баланса; АНМ – величина немонетарных статей актива исходного бухгалтерского баланса; СК – собственный капитал; ЗК – заемный капитал (долгосрочные и краткосрочные пассивы); АМ – величина монетарных статей актива исходного бух галтерского баланса; i – величина инфляции, коэффициент
2. Модель учета в текущих ценах, предусматривающая пере оценку объектов бухгалтерского учета в текущую (рыночную) стоимость (Current Value Accounting – CVA, или Current Cost Accounting – CCA).
Является более точной, поскольку подразумевает пересчет статей финансовой отчетности исходя из продажных цен и формирование текущих оценок статей по пересчитанным стоимостям активов и пассивов предприятия с учетом их реальной рыночной стоимости на текущий момент. Корректировка статей баланса проводится по индексам цен, рассчитанным по конкретным позициям активов и пассивов, что является более трудоемким процессом по сравнению с методом GPP.
Модель корректировки бухгалтерского баланса методом CCA:

где А – величина актива исходного бухгалтерского баланса; ij – величина инфляции j-го немонетарного показателя актива исходного бухгалтерского баланса, коэффициент; n – число немонетарных показателей актива исходного бухгалтерского баланса.
3. Модель, представляющая собой комбинацию первых двух методов (моделей), предполагает применение общего индекса цен к пересчету величины собственного капитала и индивидуальных индексов цен к пересчету стоимости немонетарных статей актива.
Модель корректировки бухгалтерского баланса:

Вопросы об использовании той или иной модели являются дискуссионными.
Инфляция приводит к значительным изменениям стоимости активов и пассивов организации. Игнорирование влияния инфляционных процессов на оценку активов и пассивов предприятия приводит к искажению достоверности информации финансовой отчетности, неправомерным результатам и выводам анализа динамики ее показателей. В условиях инфляционной экономики показатели бухгалтерской отчетности корректируются с использованием одной из существующих методик, как правило, основанных на динамике уровня цен. Один из методов такой корректировки – метод GPP (General Purchasing Power).
Модель корректировки учета в постоянных ценах (General Purchasing Power – GPP) основана на применении общего индекса цен к периодическому пересчету показателей отчетности с учетом изменения покупательной способности денежной единицы. Данный метод (модель) базируется на концепции финансовой природы капитала. Основной целью корректировки методом GPP является представление финансовой отчетности в единообразных единицах покупательной способности. При этом не учитывается динамика цен по отдельным компонентам активов и пассивов.
При использовании GPP на индекс инфляции корректируются неденежные статьи баланса (за исключением нераспределенной прибыли и любых сумм дооценки). Формула такой корректировки при пересчете показателей финансовой отчетности (инфлирование):
Ki′= Ki ⋅IЦ,
где K – скорректированное (пересчитанное) значение показателя i-го периода; Ki – первоначальное значение показателя i-го периода; IЦ – индекс цен отчетного периода по сравнению с i-м периодом.
Или:

где IЦ(тек./0) – индекс цен отчетного периода по сравнению с базисным (нулевым) периодом; IЦ(прошл./0) – индекс цен прошлого периода по сравнению с базисным (нулевым) периодом.
Формула пересчета показателей отчетности в цены предыдущего отчетного периода (процесс дефлирования) имеет вид:
K′Тек = Ктек/IЦ
где K′Тек – скорректированное (пересчитанное) значение показателя текущего отчетного периода; Ктек – первоначальное значение показателя текущего отчетного периода; IЦ – индекс цен отчетного периода по сравнению с каким-либо предшествующим периодом, выбранным за базу сравнения.
Модель корректировки бухгалтерского баланса методом GPP:
А+АНМ⋅i=СК⋅(1+i)+ЗК−(АМ−ЗК)⋅ i ,
где А – величина актива исходного бухгалтерского баланса; АНМ – величина немонетарных статей актива исходного бухгалтерского баланса; СК – собственный капитал; ЗК – заемный капитал (долгосрочные и краткосрочные пассивы); АМ – величина монетарных статей актива исходного бух галтерского баланса; i – величина инфляции, коэффициент.
Величина инфляционной прибыли или убытка при использовании метода GPP зависит от соотношения величин монетарных активов и заемного капитала и определяется по формуле
П= − (АМ−ЗК)×i=(ЗК−АМ)×i.
Разность между монетарными активами и монетарными пассивами (кредиторской задолженностью организации в местной валюте – ЗК) представляет собой так называемую чистую денежную (монетарную) позицию, величина которой положительна при превышении монетарных активов над монетарными пассивами и отрицательна в обратной ситуации.
Пересчитанный согласно модели GPP бухгалтерский баланс не дает дифференцированной оценки реальной рыночной стоимости немонетарных статей актива и пассива на конкретный момент. По международным стандартам финансовой отчетности, учесть такую дифференциацию можно путем использования правила низшей оценки, согласно которому неденежные статьи баланса оцениваются и отражаются по наименьшей из стоимостей: возможной рыночной стоимости реализации или скорректированной себестоимости.
В качестве возможной рыночной стоимости реализации используется чистая стоимость возможной реализации: разница между возможными значениями продажной цены и расходов по реализации в обычных условиях осуществления продаж.
Достижение целей внутрихозяйственного контроля и, в первую очередь, выявление резервов повышения эффективности деятельности предприятия и его структурных подразделений невозможно без использования широкого арсенала методов, приемов и процедур экономического анализа. Четкая организация внутрихозяйственного анализа позволяет углубить, детализировать отдельные стороны процесса формирования необходимой информации для принятия управленческих решений.
При условии регулярного исчисления соотношений различных показателей с их нормативными значениями и величинами прошлых периодов, расчета коэффициентов эффективности или ресурсоотдачи, рентабельности создается реальная информационная база для организации действенной системы внутрихозяйственного контроля, которая призвана предупреждать руководство о надвигающихся опасностях. Кроме того, сам процесс экономического анализа включает элементы контроля на завершающем своем этапе. На предприятии формируется система комплексного анализа и контроля для объективной оценки конечных результатов деятельности организации и ее подразделений, прежде всего таких значимых показателей, как объем выпуска продукции и операционная (производственная) прибыль. Итак, внутрихозяйственный анализ является способом, инструментом достижения конечных целей контроля за внутренними экономическими процессами деятельности организации, в том числе за процессом формирования ее производственно-финансовых результатов, и включает сам процесс контроля.
Поэтому по каждому объекту внутрихозяйственного контроля (объем выпуска продукции, ее себестоимость, прибыль или убыток, рентабельность производства) необходимо раскрыть общие методические подходы к его проведению с помощью методов, приемов и процедур экономического анализа. Следует определить цели и задачи осуществления таких процедур, необходимую для этого информационную базу, субъектов (исполнителей), пользователей аналитической информации, периодичность проведения, методы и приемы, формы обобщения результатов анализа и содержание управленческих решений, принимаемых по итогам аналитического исследования.
целевая направленность аналитических процедур внутрихозяйственного контроля и задачи его проведения зависят, прежде всего от его объектов: производственных результатов деятельности экономического субъекта; себестоимости или прибыли и рентабельности его продукции. Информационная база, являющаяся инструментом контроля, объединяет бухгалтерскую, статистическую отчетность и прочую информацию. Исполнители контролирующих мероприятий назначаются главным контролирующим подразделением (службой внутреннего аудита предприятия) согласно иерархической системе. Основные приемы и методы контроля, основанные на результатах экономического анализа и используемые на предприятии, должны быть обоснованными и компетентными, т. к. по их результатам определяется характер и содержание управленческих решений.
С использованием методов, приемов и процедур экономического анализа возможна организация качественной системы контроля с четко установленными контролируемыми показателями и контрольными периодами с оперативным реагированием на результаты осуществления контроля.
Для анализа объема выпуска продукции используется система показателей, определяющих состояние динамики, резервы роста объема выпуска. Объем выпуска может оцениваться как в стоимостном, так и в натуральном, условно-натуральном выражении (трудовом).
Стоимостные показатели делятся на две группы:
• полностоимостные показатели – определяются на основе цены продукции. К ним относятся: товарная продукция (стоимость всей произведенной за период готовой продукции, работ, услуг); валовая продукция (стоимость всей произведенной продукции и выполненных работ независимо от степени их готовности, выражаемая в сопоставимых ценах).
• элементностоимостные показатели, исчисленные на основе отдельных статей себестоимости или путем исключения из себестоимости некоторых элементов. Наиболее популярный – чистая продукция. Данный показатель определяется на основе товарной или валовой продукции за вычетом материальных затрат и амортизации. Показатель чистой продукции применяется при анализе соотношений темпов роста производительности труда и средней заработной платы, для оценки уровня фондоотдачи и др.
Объем выполненных работ определяется показателем трудоемкости количеством затраченного труда на единицу продукции, который относится к трудовым показателям. Данный показатель позволяет выявить влияние побочных факторов на показатели объема производства и выпуска. Трудоемкость определяется с помощью следующих измерителей:
1. Нормо-часы (характеризуют затраты труда, но не качество).
2. Нормативная стоимость обработки (формируется на базе соотношения цены, прибыли, прямых материальных затрат и характеризует только стоимость обработки).
3. Нормативная заработная плата норма оплаты труда за единицу продукции. Данные показатели привлекаются для анализа выполнения плана по объему производства в тех случаях, когда невозможно использовать натуральные единицы измерения, т. е. наблюдается многономенклатурность.
Анализ объема производства начинается с изучения динамики валовой и товарной продукции (расчета индексов динамики, базисных и цепных темпов роста). Оценка выполнения плана по объему выпуска осуществляется на основе сравнения данных за предшествующий период, плановых и фактических данных. Находятся абсолютные отклонения (в %) планового и фактического выпуска в отчетном году от соответствующего показателя базисного года.
Совокупность показателей оценки объема выпуска используется для обобщения оценки общего выполненного объема производства.
Факторы, влияющие на выпуск продукции, сосредоточены в наличии и использовании групп соответствующих ресурсов. По экономическому содержанию их объединяют в три группы: рабочая сила, средства труда, предметы труда.
Резервы роста объема производства – количественно измеримые возможности их увеличения за счет улучшения использования ресурсов предприятия. Факторы, влияющие на выпуск товарной продукции, заключены в наличии и использовании групп соответствующих ресурсов. По экономическому содержанию их объединяют в три группы: рабочая сила, средства труда, предметы труда. Для полноты подсчета резервов, прежде всего, определяют решающую группу ресурсов, с которой начинается поиск резервов. Для этого изучается структура затрат на производство, что позволяет понять, к какой группе относится производство данной продукции – фондоемкой, материалоемкой, энергоемкой или трудоемкой, после чего составляется соответствующая факторная модель.
Поиск прочих резервов проводится с целью укомплектования резервов, выявленных по решающей группе ресурсов. Расчет величины резервов по каждой группе ресурсов возможен с помощью элиминирования. За величину резерва принимается сумма отрицательного влияния качественного фактора.
Сводный резерв реализации складывается из суммы резерва увеличения выпуска товарной продукции и снижения остатков нереализованной товарной продукции.
С помощью анализа затрат на производство можно определить доходность отдельных сфер деятельности, выгодность участков и отдельных видов продукции; эффективно контролировать использование ресурсов; получать информацию о текущем состоянии производства и вносить коррективы в отчетном периоде; использовать результаты анализа для установления цены продукции и выработки стратегии продаж.
Особенность анализа затрат в том, что главным его инструментом выступает анализ структуры, а также динамики затрат (вертикальный и горизонтальный анализ). Анализ затрат на производство продукции проводится по таким направлениям:
• анализ затрат с группировкой по их функциональной роли в производственном процессе;
• анализ прямых материальных и трудовых затрат;
• анализ косвенных затрат с подразделением на переменные и постоянные.
Классификация затрат по элементам процесса производства либо по статьям калькуляции дает возможность более правильно установить уровень материалоемкости, фондоемкости и трудоемкости продукции, работ, услуг.
Классификация затрат по экономическим элементам:
• материальные затраты (сырье, материалы, топливо, энергия);
• затраты на оплату труда (зарплата);
• отчисления на социальное и медицинское страхование;
• амортизация основных фондов и нематериальных активов;
• прочие затраты.
По калькуляционным статьям затраты классифицируются с учетом места их возникновения и назначения затрат.
Существуют также группировки затрат относительно процесса изготовления продукции (основные и накладные) и по способу отнесения затрат на отдельные виды продукции (прямые и косвенные).
Основные затраты – затраты на сырье, основные и вспомогательные материалы, топливо, энергию на технологические цели, затраты на заработную плату производственных рабочих и др.
Накладные затраты – затраты на оплату труда управленческого персонала, отопление и освещение помещений (заводоуправления, офиса и т. п.).
Прямые затраты – затраты, которые можно отнести непосредственно к какому-либо виду продукции.
Косвенные затраты невозможно отнести к определенному виду продукции. Поэтому они распределяются по видам продукции с помощью коэффициентов.
Изучение структуры затрат по экономическим элементам позволяет дать оценку рациональности такой структуры и сделать вывод о необходимости и возможности ее изменения в сторону снижения материалоемкости или трудоемкости.
Группировка затрат по калькуляционным статьям расходов позволяет характеризовать связь затрат с результатами, их роль в технологическом процессе, управлении и обслуживании, во внутрихозяйственном расчете, выделить прямые и косвенные, основные и накладные, переменные и постоянные расходы. Анализ затрат по статьям расходов проводится с позиций сопоставления плановых и фактических затрат.
Анализ прямых и косвенных затрат направлен на выявление факторов, оказывающих на них влияние, обоснования причин, вызвавших влияние этих факторов, и сопоставления фактической величины затрат на единицу стоимости товарной продукции (работ, услуг) за ряд отчетных периодов, а также с плановым их уровнем на отчетный период.
Независимо от классификации, в рамках которой анализируются затраты на производство, они могут быть охарактеризованы с помощью следующих показателей:
• затраты на натуральную единицу продукции;
• сумма всех затрат на продукцию или часть продукции;
• затраты на единицу стоимости произведенной или реализованной продукции.
Анализ этих показателей проводится с помощью составления аналитических таблиц, в которых проводятся расшифровка затрат в рамках определенной классификации, данные о базисном, плановом и отчетном периоде; выполняется сравнение.
Основную часть прибыли предприятия получают по результатам производственной деятельности, к которой относят прибыль от продаж продукции (работ, услуг). Структурно-динамический анализ формирования финансовой прибыли по результатам производственной деятельности рассматривает структуру элементов формирования финансового результата в выручке от продаж в предыдущем и отчетном периодах, а также – изменение структуры, т. е. в анализе формирования прибыли выделяют два этапа:
1. Анализируется прибыль от основной деятельности (от реализации продукции, работ, услуг) по составу в динамике.
2. Проводится факторный анализ прибыли.
1. При изучении динамики, структуры и выполнения плана за отчетный год по прибыли необходимо учитывать инфляционные факторы изменения ее суммы. Для этого выручку необходимо скорректировать на средневзвешенный рост цен на продукцию предприятия в среднем по отрасли, а себестоимость товаров, продукции (работ, услуг) уменьшить на их прирост в результате повышения цен на потребленные ресурсы за анализируемый период.
Для проведения анализа прибыли по составу и в динамике составляют аналитическую таблицу, где указывают значения составных и суммарных показателей прибыли в базисный и отчетный период в виде стоимостных показателей и удельных весов каждой составной части в суммарной прибыли от производственной деятельности, находят абсолютные отклонения и темпы роста(прироста) в %.
Выполнение плана по объему продаж анализируют при помощи сопоставления фактического объема реализации с плановым в натуральном (если продукция однородна), условно-натуральном и в стоимостном выражении (если продукция неоднородна по своему составу), для чего желательно использовать базовый (плановый) уровень себестоимости отдельных изделий, т. к. себестоимость меньше подвержена влиянию структурного фактора, нежели выручка. Затем определяют сумму прибыли при фактическом объеме и структуре реализованной продукции, но при плановой себестоимости и плановых ценах, для чего необходимо из условной выручки вычесть условную сумму затрат. Далее рассчитывается, сколько прибыли предприятие могло бы получить при фактическом объеме продукции. Для этого из фактической суммы выручки вычитают условную сумму затрат.
Если предприятие производит неоднородные виды продукции, тогда структура реализованной продукции определяется отношением каждого вида продукции в оценке по плановой себестоимости к общему объему продаж продукции в той же оценке. Анализируется также выполнение плана и динамика прибыли от реализации отдельных видов продукции.
2. Прибыль от продаж продукции в целом по предприятию зависит от четырех факторов первого уровня соподчиненности: объема продаж продукции, ее структуры, себестоимости и уровня среднереализационных цен.
Объем продаж продукции может оказывать положительное и отрицательное влияние на сумму прибыли. Увеличение объема продаж рентабельной продукции приводит к пропорциональному увеличению прибыли. Если же продукция является убыточной, то при увеличении объема продаж происходит уменьшение суммы прибыли.
Структура товарной продукции может оказывать как положительное, так и отрицательное влияние на сумму прибыли. Если увеличится доля более рентабельных видов продукции в общем объеме ее реализации, то сумма прибыли возрастет, и, наоборот, при увеличении удельного веса низкорентабельной или убыточной продукции общая сумма прибыли уменьшится.
Рост цен на реализованную продукцию способствует росту прибыли при неизменных прочих условиях.
Себестоимость продукции и прибыль находятся в обратно пропорциональной зависимости: при увеличении уровня цен сумма прибыли возрастает и наоборот.
Рост эффективности деятельности предприятия неразрывно связан с усилением интенсификации, что позволяет исключить возможность декларативного подхода и ориентироваться на реальные механизмы организации производства. Количественное измерение интенсивности развития выражается в показателях использования производственных и финансовых ресурсов.
Показатели интенсивности развития производства – качественные показатели использования ресурсов: производительность труда (или трудоемкость), материалоотдача (или материалоемкость), фондоотдача (или фондоемкость), количество оборотов оборотных средств. Объем производства в стоимостном выражении, т. е. с учетом качества, является результатом воздействия всех видов ресурсов. Повышение качества продукции влияет на количество, экономию ресурсов, более полное удовлетворение запросов покупателей. Показатели качества также являются показателями интенсификации производства, они находят свое отражение как в результатах производства, так и в затратах ресурсов.
Каждый синтетический показатель использования ресурсов складывается из действия факторов второго и следующих порядков. Эти факторы (группы факторов) повышения интенсификации и эффективности производства в совокупности названы «технико-организационным уровнем производства». Анализ факторов и путей повышения технико-организационного уровня производства дает возможность повысить показатели интенсификации и эффективности деятельности.
Помимо факторов интенсификации производства выделяют также источники эффективности (резервов) производства – производственные ресурсы. Оборот производственных ресурсов проявляется в обороте финансовых ресурсов, что позволяет характеризовать авансирование или применение основных производственных фондов и оборотных средств.
Понятие интенсификации охватывает и характеризует использование всей совокупности производственных и финансовых ресурсов.
Методика анализа интенсификации производственно-финансовой деятельности организации включает систему расчетов:
1. Расчет динамики качественных показателей использования ресурсов.
2. Анализ соотношения прироста ресурсов в расчете на 1 % прироста объема производства.
3. Расчет доли влияния интенсивности на прирост производства продукции (используется индексный метод).
4. Анализ относительной экономии ресурсов.
5. Комплексная оценка всесторонней интенсификации производства.
При комплексном анализе интенсификации используются динамические или пространственные методы сравнения частных показателей интенсификации по отдельным ресурсам за определенные периоды времени или между предприятиями отрасли (региона).
Эти методы не дают однозначной оценки всесторонней интенсификации, но интуитивно возможно определение динамической тенденции всесторонней интенсификации. Однако комплексная оценка интенсивности развития организации во всех аспектах ее деятельности необходима.
6. Комплексная оценка интенсификации производственно-финансовой деятельности (формируется с помощью сведения различных показателей в единый интегральный показатель или с помощью обобщающего показателя, вбирающего в себя все качественные характеристики частных показателей интенсификации).
В качестве интегрального показателя интенсификации используются показатели относительной экономии различных ресурсов.
Обобщающим показателем всесторонней интенсификации для предприятий является уровень рентабельности активов и рентабельности капитала, в динамике которых отображаются тенденции интенсификации производственно-финансовой деятельности предприятия. Методы экономического анализа позволяют уточнить динамику уровня рентабельности за счет учета влияния внешних факторов, не зависящих от предприятия (изменение цен и т. д.).
Основными законодательными актами, регулирующими порядок осуществления инвестиционной деятельности в Российской Федерации, являются Гражданский кодекс, Федеральный закон «Об инвестиционной деятельности в РСФСР» от 26 июня 1991 г., Федеральный закон «О рынке ценных бумаг» от 22 апреля 1996 г (с изменениями и дополнениями от 26 ноября 1998 г) и Федеральный закон «Об инвестиционной деятельности в Российской Федерации, осуществляемой в форме капитальных вложений» от 25 февраля 1999 г. Эти документы определяют перечень объектов капитальных вложений, субъектов инвестиционной деятельности и экономико-правовой механизм ее осуществления в Российской Федерации. Вступление в силу последнего из вышеприведенных законодательных актов существенно усилило роль экономического анализа на стадии предпроектных исследований. Это связано с появлением требования о проведении обязательной экспертизы инвестиционных проектов на предмет соответствия их установленным стандартам (нормам и правилам), интересам государства и инвесторов (юридических и физических лиц), а также для анализа и оценки эффективности осуществляемых капитальных вложений (ст. 14).
Правовые и организационно-экономические особенности лизинга как одного из видов инвестиционной деятельности рассматриваются в Федеральном законе «О лизинге» от 29 октября 1998 г.
Федеральный закон РФ «Об иностранных инвестициях в РФ» от 9 июля 1999 г. и Федеральный закон «О соглашениях о разделе продукции» от 30 декабря 1995 г. (с изменениями и дополнениями от 7 января 1999 г.) определяют гарантии прав иностранных инвесторов на инвестиции, получаемые от них доходы и прибыль, оговаривают условия предпринимательской деятельности иностранных инвесторов на территории Российской Федерации.
Отдельное место в методическом обеспечении анализа инвестиционной деятельности занимают специальные нормативные и инструктивные документы федерального и ведомственного уровней, типовые методические разработки отечественных и за рубежных организаций. Среди них можно выделить: Типовые методические рекомендации по планированию и учету себестоимости строительных работ; Методические рекомендации по оценке эффективности инвестиционных проектов (вторая редакция утверждена 21 июня 1999 г. Минэкономики, Минфином и Госстроем РФ); Международные стандарты финансовой отчетности МСФО); Руководство по оценке эффективности инвестиций (методика ЮНИДО) и др.
Приведенные документы содержат ряд важных понятий, широко используемых в инвестиционном анализе. В частности, Федеральный закона № 39-ФЗ «Об инвестиционной деятельности в Российской Федерации, осуществляемой в форме капитальных вложений», устанавливает основные определения:
• инвестиции – денежные средства, ценные бумаги, иное имущество, вкладываемые в объекты предпринимательской деятельности в целях получения прибыли и достижения полезного эффекта;
• инвестиционная деятельность – вложение инвестиций и осуществление практических действий в целях получения прибыли и достижения полезного эффекта;
• капитальные вложения – инвестиции в основной капитал (основные средства), в том числе затраты на новое строительство, расширение, реконструкцию и техническое перевооружение действующих предприятий, приобретение машин, оборудования, инструмента, инвентаря, проектно-изыска-тельские работы и другие затраты;
• инвестиционный проект – обоснование экономической целесообразности, объема и сроков осуществления капитальных вложений, в том числе необходимая проектно-сметная документация, разработанная в соответствии с законодательством РФ и утвержденными в установленном порядке стандартами (нормами и правилами), а также описание практических действий по осуществлению инвестиций (бизнес-план).
Цель анализа инвестиций состоит в: объективной оценке потребности, возможности, масштабности, целесообразности, доходности и безопасности осуществления краткосрочных и долгосрочных инвестиций; определении направлений инвестиционного развития компании и приоритетных областей эффективного вложения капитала; разработке приемлемых условий и базовых ориентиров инвестиционной политики; оперативном выявлении факторов (объективных и субъективных, внутренних и внешних), влияющих на появление отклонений фактических результатов инвестирования от запланированных ранее и, наконец, обосновании оптимальных инвестиционных решений, укрепляющих конкурентные преимущества фирмы и согласующихся с ее тактическими и стратегическими целями.
Инвестиционный анализ состоит из двух частей: анализ капитальных вложений и анализ финансовых вложений. В задачах анализа капитальных и финансовых вложений проявляется взаимосвязь между ними.
Задачи анализа капитальных вложений (долгосрочных инвестиций):
• комплексная оценка потребности и наличия требуемых условий долгосрочного инвестирования;
• обоснование выбора источников финансирования и оценка стоимости капитала;
• выявление внешних и внутренних факторов, влияющих на экономическую, бюджетную и экологическую эффективность капиталовложений; прогнозирование результатов осуществления инвестиционных проектов;
• обоснование оптимальных управленческих решений по минимизации риска и максимизации целевых показателей реализации проектов;
• осуществление послеинвестиционного мониторинга и разработка рекомендаций по улучшению количественных и качественных результатов инвестирования.
Задачи анализа финансовых вложений:
• проведение комплексных исследований и обобщение обширной макроэкономической и политической информации об условиях реализации финансовых вложений;
• организация оперативного мониторинга изменения состояния рынков ценных бумаг и ссудного капитала;
• оценка текущей и прогнозирование будущей финансовой устойчивости предприятия-эмитента или потенциального дебитора;
• определение оптимальной величины высоколиквидных краткосрочных финансовых вложений;
• обоснование приемлемых для инвестора параметров риска и доходности финансовых операций;
• оптимизация портфеля инвестиций и оценка его эффективности;
• аналитическое обоснование в ходе разработки проекта эмиссии.
Анализ капитальных вложений и анализ финансовых вложений взаимозависимых экономических явлений объединены в общем инвестиционном процессе. Схожесть информационной базы анализа, пользователей информации, его видов, основных подходов в организации и методике объединяет оба направления в рамках единой концепции в понимании сущности и содержания анализа инвестиционной деятельности.
Информационная база является обязательным элементом методики анализа инвестиционной деятельности. Ее особенностью становится наличие множества разнообразных источников информации, игнорирование которых может негативно отразиться на степени определенности будущих результатов инвестирования.
В ходе практического использования сложной системы показателей анализа долгосрочных инвестиций важно правильно сгруппировать всю уместную информацию по определенным классификационным признакам:
1. По отношению к учету: учетные и внеучетные данные.
2. По местам получения информации: внутренние и внешние данные.
3. По этапам жизненного цикла проекта: предпроектные, строительно-монтажные и пусконаладочные. операционные. ликвидационные данные.
4. По степени определенности: определенная информация и данные. полученные на основе вероятностных оценок.
5. По планированию: плановые показатели и данные, полученные в результате чрезвычайных обстоятельств.
6. По модулям аналитической информации: законодательные. сметно-нормативные, маркетинговые, технические, технологические и пр.
7. По единицам измерения: стоимостные, натуральные и условно-натуральные данные.
8. По видам экономического анализа: прогнозные, оперативные, ретроспективные данные.
9. По степени доступности: конфиденциальная и публичная, бесплатная и платная информация.
10. По охвату информации: комплексные (обобщающие) и частные данные.
11. По степени объективности: фактические данные, аналитические (расчетные) показатели, суждения экспертов.
12. По степени надежности: достоверные и недостоверные данные.
13. По уровню автоматизации: подготовленные к компьютерной обработке и неприменимые в условиях автоматизации данные.
14. В зависимости от соотношения показателей: объемные и удельные данные.
15. По степени усреднения: индивидуальные и средние данные.
Проведение анализа и оценка эффективности долгосрочных инвестиций неразрывно связаны с системой показателей, в той или иной степени характеризующих различные стороны объекта управления, в отношении которого будет приниматься соответствующее решение.
Многочисленные показатели могут быть сгруппированы по разделам своего образования:
1. Маркетинг: величина маркетинговых затрат; расходы на рекламу; скидки; стоимость доставки продукции до потребителя; расходы на сервисное обслуживание; уровень спроса на продукцию и т. д.
2. Производство и снабжение: объем производства; проектная мощность; производственный потенциал; уровень автоматизации производства; коэффициент сменности; ритмичность поставок; структура производственных издержек; величина постоянных и переменных расходов; себестоимость реализации продукции и т. д.
3. Прединвестиционные исследования, основной и оборотный капитал: величина инвестиционных затрат; стоимость подготовки основной проектной документации; издержки на проектно-конструк-торские работы и пр.
4. Инновации: расходы на патентование и лицензирование разработок; расходы на проведение НИОКР; уровень обновляемости продукции; сроки освоения новой продукции и др.
5. Финансовые аспекты инвестирования: бюджет проекта; объем средств из каждого источника финансирования; структура капитала; лизинговые платежи; величина и порядок начисления процентов и дивидендов; средняя взвешенная цена капитала и т. д.
6. Персонал: показатели обеспеченности персоналом; категории работников, их профессиональный и квалификационный состав; баланс рабочего времени и т. д.
7. Управление и структура организации: показатели уровня концентрации, специализации, кооперирования и размещения производства и пр.
8. Экология и безопасность: показатели воздействия проекта на окружающую среду; величина издержек и преимуществ, полученных в результате запланированных мероприятий с учетом последствий для окружающей среды и пр.
9. Завершение (ликвидация) проекта: рыночная стоимость основных фондов, земельных участков и прочих объектов природопользования в конце срока реализации проекта; стоимость демонтажа оборудования, разборки зданий и очистки территории и пр.
Центральное место в комплексе мероприятий по оценке степени обоснованности инвестиционных решений и анализу эффективности выдвигаемые проектов занимает оценка будущих денежных потоков, возникающих в результате осуществления капиталовложений.
Основной целью анализа проектных денежных потоков является определение величины денежной наличности по всем направлениям ее использований и источникам поступления.
В процессе анализа денежных потоков от инвестиционной деятельности выделяют ряд этапов исследования:
1. Изучение целевых установок и общих условий осуществления инвестиционной деятельности.
2. Определение задач для отдельных центров ответственности (служб и подразделений).
3. Прогнозирование денежных потоков от инвестиционной деятельности.
4. Сбор и первичная обработка информации, поступающей из различных источников.
5. Корректировка отдельных компонентов денежного потока (инфляция, налоги и пр.).
6. Оценка денежного потока по периодам жизненного цикла инвестиционного проекта.
7. Анализ обоснованности и объективности полученных результатов.
8. Представление аналитической информации для последующей оценки эффективности инвестиционной деятельности
В оценке проектных денежных подходов выделяются два направления:
1. Результаты капиталовложений анализируются на основе прямого подсчета произведенных ими денежных потоков (в случае, когда конкретные варианты капиталовложений являются в полной мере финансово-обособленными объектами).
2. Анализ приращенных денежных потоков (в случае возникновения трудностей с количественной оценкой результатов инвестиционной деятельности). Денежные потоки инвестиционного проекта в t-й период времени принимаются равными разнице между совокупными денежными потоками компании с проектом в t-й период времени и совокупными потоками без проекта в t-й период времени.
Методы и наиболее распространенные аналитические подходы к оценке будущих денежных потоков группируются по элементам проектного денежного потока.
Выручка от продаж: анализ временных рядов, метод корреляционно-регрессионного анализа, социологические опросы, анкетирование, метод скользящих средних, использование эко-нометрических моделей, анализ безубыточности, факторный анализ, деревья решений, экспертные оценки.
Изменения в объеме внеоборотных активов: метод доли от объема продаж, использование производственных функций, методы линейного и динамического программирования, расчет технологической потребности в зависимости от степени изношенности основных фондов, расширения масштабов деятельности, нового строительства.
Изменения в чистом оборотном капитале: балансовый метод, регрессионный анализ, метод скользящих средних, теория игр, методы линейного и нелинейного программирования, расчет финансового и операционного циклов, моделей Баумола и Милле-ра-Ора, метод доли от объема продаж, методы моделирования, имитации и факторного анализа.
Операционные затраты: анализ безубыточности, инженерный и исторический методы оценки затрат, метод определения минимальных и максимальных значений, приемы линейного и сложного регрессионного анализа, экспертные оценки, динамическое программирование.
Прочие денежные потоки: определяются расчетным путем в составе налоговых деклараций, прогнозных бюджетов на предстоящий период и пр.; используются эвристические методы анализа (интуиция, прошлый опыт, экспертные оценки специалистов).
Наиболее часто встречающиеся трудности, связанные с анализом денежных протоков: сложность учета косвенных результатов реализации инвестиций; проблемы идентификации элементов денежного потока по каждому периоду реализации инвестиционного проекта; использование упрощенного подхода к оценке денежных потоков, не учитывающего все аспекты взаимосвязей из-за технических сложностей учета большого числа факторов.
Для оценки эффективности долгосрочных инвестиций используются следующие методы: традиционные методы экономического анализа (сравнения, балансовый, сводки и группировки, графический, простых и сложных процентов, расчет абсолютных, относительных и средних величин и др. ^ специальные методы экономического анализа (цепных подстановок, относительных и абсолютных разниц и пр.) специальные методы инвестиционного анализа: способы определения современной и наращенной суммы вложений и соизмерения разновременных затрат, результатов и эффектов.
Для принятия оптимальных инвестиционных решений необходимо оценить экономическую эффективность, которая характеризуется системой относительных показателей, соизмеряющих полученный эффект с затратами инвестированного в проект капитала.
В основе классификации показателей экономической эффективности долгосрочных инвестиций лежит подразделение их на три группы: дисконтные, комплексные и показатели, при расчете которых не учитывается фактор времени. Принцип учета временной ценности денежных вложений и требуемой ставки рентабельности в основном реализуется в первой группе показателей. Многие компании предпочитают использовать в инвестиционном анализе сравнительно простые показатели и методы оценки без учета временных аспектов. Более трудной процедурой является оценка долгосрочных инвестиций в некоммерческих организациях: в этом случае применяются CBA – подход (система комплексных показателей), в основе которого лежит сопоставление количественно измеримых затрат с множеством прямых и косвенных преимуществ (выгод).
Расчетно-методические аспекты анализа эффективности долгосрочных инвестиций используют следующую систему обозначений: ДПт – текущая стоимость денежных потоков, определяемая по формуле

И0 – величина начальных, инвестиционных затрат; ДПt – поток денежных средств от реализации инвестиционного проекта в t-м году; n – количество лет, в течение которых реализуется инвестиционный проект; AHdn – фактор (множитель) текущей стоимости аннуитета, определяемый по формуле

d – проектная дисконтная ставка (чаще всего цена инвестированного капитала); Аt – величина амортизационных отчислений в t-м году; Пчt – величина чистой прибыли от реализации проекта в t-м году.
Наиболее распространенные обобщающие показатели эффективности долгосрочных инвестиций: Чистая текущая стоимость:
ДПЧ =ДПT – И0.
Если данный показатель положителен, можно осуществлять капиталовложения.
Внутренняя норма рентабельности (НРв) определяется из уравнения:

с помощью специальных компьютерных программ. Если показатель превосходит цену инвестированного капитала, можно принять проект, в противном случае он должен быть отвергнут.
Срок окупаемости (По): если величина денежных потоков постоянна в каждом периоде реализации инвестиционного проекта,
По=Ио/ДП
Если ДП неэквивалентны между собой в различных периодах времени, значение По определяется суммой целой и дробной его составляющих. Целое значение находится сложением денежных потоков за соответствующие периоды времени до тех пор, пока полученная сумма не приблизится к величине И0, но не превысит ее. Дробная часть РВ определяется по формуле:

Проекты со сроком окупаемости меньше, чем установленный инвесторами нормативный промежуток временил принимаются, с! большим сроком окупаемости – отвергаются.
Учетная норма рентабельности

Проекты, имеющие НРу больше целевого (нормативного) показателя, принимаются к реализации, а варианты капиталовложений с меньшей рентабельностью отвергаются.
Индекс рентабельности инвестиций: НРи= ДПT/ И0
проект принимается к реализации, пока данный показатель превышает 1. Годовые эквивалентные затраты:
Зг = И0/АНd,n
Показатель используется для сравнения альтернативных проектов с различными масштабами капиталовложений и неравными сроками реализации.
Системный подход – это направление в методологии исследования. Он базируется на изучении объектов сложных систем, которые состоят из отдельных элементов с многочисленными внутренними и внешними связями. Системный подход позволяет глубже изучить объект, получить более полное представление о нем, выявить причинно-следственные связи между отдельными частями этого объекта.
Системный подход к анализу деятельности экономических единиц подразумевает понимание того, что каждая такая единица представляет собой сложную систему элементов, объединенных множеством связей как друг с другом, так и с внешней средой. Таким образом, в ходе экономического анализа изучаются хозяйственные процессы в их взаимосвязи и взаимозависимости.
Поэтому экономический анализ разрабатывает и использует систему показателей для комплексного исследования причинно-следственных связей экономических явлений и процессов в хозяйственной деятельности предприятия.
Чем сложнее экономическая единица, тем больше составляющих ее подсистем, тем сложнее и многограннее должен быть анализ ее финансово-хозяйственной деятельности. Первый этап системного анализа – выделение основных элементов системы. В каждом конкретном случае выделение основных подсистем производится индивидуально, с учетом специфики деятельности предприятия.
Системность, комплексность экономического анализа выражается в единстве целого и его частей, в разработке единой системы показателей, в использовании всех видов экономической информации. На втором этапе вырабатывается система показателей, наилучшим образом характеризующая различные функции и подсистемы предприятия, а также критерии оценки и пороговые величины, позволяющие относить полученные значения показателей к успешным или неудачным.
Для создания системы комплексного экономического анализа работы предприятия необходим выбор логической
ЕтаЯ и методической схемы. Взаимосвязь основных показателей определяет и последовательность проведения комплексного экономического анализа от изучения первичных показателей до обобщающих. Такая последовательность соответствует объективной основе формирования экономических показателей. Однако это не исключает и обратную последовательность анализа – от обобщающих показателей к частным, что будет зависеть от цели анализа и наличия информации.
Третий этап в системном подходе наиболее важен – в ходе него выявляются взаимосвязи подсистем предприятия и показатели, характеризующие эти связи. Анализ финансово-хозяйственной деятельности предприятия нельзя признать полным, если взаимосвязи всех этих подсистем не выявлены и не описаны.
Системный подход подразумевает полное и достоверное описание анализируемого объекта. Однако полнота понимается не буквально: не всегда целесообразна чрезмерная детализация. В зависимости от целей работы достаточно рассмотреть отдельные стороны деятельности предприятия, приняв при этом во внимание все факторы и элементы, могут повлиять на конечные выводы и которые имеют существенное значение для разработки управленческих решений.
Анализ должен давать достоверную картину развития и деятельности экономического субъекта. Выводы и заключения должны быть обоснованными и качественными.
При соблюдении всех принципов проведения системного анализа описанный подход имеет существенные преимущества: он обеспечивает комплексность и целеустремленность исследования, методологически обоснованную схему поиска резервов повышения эффективности производства, объективную оценку результатов хозяйствования, оперативность, действенность, обоснованность, точность анализа и его выводов.
Именно системный подход к анализу финансово-хозяйственной деятельности дает наиболее объективную основу для принятия управленческих решений.
Необходимым условием организации производства продукции является обеспечение его материальными ресурсами: сырьем, материалами, топливом, энергией, полуфабрикатами и т. д. В процессе потребления материальных ресурсов в производстве происходит их трансформация в материальные затраты, поэтому уровень их расходования определяется через показатели, исчисленные, исходя из суммы материальных затрат.
Для оценки эффективности материальных ресурсов используется система обобщающих и частных показателей. Применение обобщающих показателей в анализе позволяет получить общее представление об уровне эффективности использования материальных ресурсов и резервах его повышения.
К обобщающим показателям эффективности использования материальных затрат относятся материалоемкость продукции и материалоотдача. Материалоемкость продукции рассчипы-вается как отношение суммы материальных затрат к стоимости произведенной продукции (и показывает материальные затраты, приходящиеся на 1 руб. выпущенной продукции):
МЕ=МЗ/П.
Материалоотдача – показатель обратный материалоемкости, характеризует выпуск продукции на 1 руб. материальных ресурсов:
МО=П/МЗ.
Применение обобщающих показателей в анализе позволяет получить общее представление об уровне эффективности использования материальных ресурсов. Повышение эффективности использования материальных ресурсов обусловливает сокращение материальных затрат на производство продукции, снижение ее себестоимости и рост прибыли.
В качестве обобщающих показателей эффективности использования материальных ресурсов рассматривают также удельный вес материальных затрат в себестоимости продукции, коэффициент использования материалов (отношение фактических материальных затрат к материальным затратам по плану при фактическом выпуске).
Частные показатели используются для характеристики эффективности потребления отдельных элементов материальных ресурсов (основных, вспомогательных материалов, топлива, энергии и др.), а также для установления снижения материалоемкости отдельных изделий (удельной материалоемкости – отношения стоимости всех потребленных изделием материалов к цене изделия). В зависимости от специфики производства частными показателями могут быть: сырьеемкость – в перерабатывающей отрасли; металлоемкость – в машиностроении и металлообрабатывающей промышленности; топливоемкость и энергоемкость – на предприятиях ТЭЦ; полуфабрикатоемкость – в сборочных производствах и т. д.
Удельная материалоемкость отдельных изделий может быть исчислена как в стоимостном, так и в условно-натуральном и натуральном выражении.
В процессе анализа фактический уровень показателей эффективности использования материалов сравнивается с плановым, изучается их динамика и причины изменения.
Также проводится факторный анализ показателей эффективности. Так, на изменение материалоемкости ресурсов оказывают влияние следующие факторы (представленные в виде произведения):

где – Мпрям/П – материалоемкость по прямым затратам ресурсов;
М/Мпрям -коэффициент соотношения общих и прямых материальных затрат.
В производстве продукции различные материалы играют разную роль и дают разную отдачу. Поэтому в методике анализа материалоемкости можно также использовать аддитивную факторную модель материалоемкости:

где С – сырье; ТП– топливо; Э – энергия и т. д. (в качестве факторов представлены частные показатели эффективности использования материальных ресурсов: сырьеемкость, топливоем-кость, энергоемкость).
Влияние факторных показателей на результативный в данном случае определяется прямым счетом.
Себестоимость продукции оценивается с помощью системы показателей, которые отражают:
• затраты на натуральную единицу продукции (себестоимость единицы продукции). Используются тогда, когда выпускается одно изделие (себестоимость 1 квт/час электроэнергии;
• всю сумму затрат на продукцию (полная себестоимость) или часть продукции (полная себестоимость сравнимой продукции);
• затраты на единицу стоимости произведенной или реализованной продукции (затраты на рубль продукции), т. е. это общая сумма затрат, отнесенных на себестоимость продукции, к тому же самому объему продукции в ценах предприятия. Затраты на единицу продукции представляют собой частное
отделения всех затрат на тот или иной вид продукции на ее количество. Для анализа этот показатель целесообразно использовать только при выпуске ограниченного круга видов изделий. Такой анализ необходим, прежде всего, для правильного определения направлений ценовой политики предприятия.
Для анализа всей суммы затрат на изготовление разнородной продукции необходимо разделение продукции на сравнимую и несравнимую. Такое разделение имеет значение для прогнозирования роста или снижения затрат в зависимости от этапов жизненных циклов выпускаемой продукции как товара на рынке.
К сравнимой товарной продукции относятся все изделия, производившиеся на предприятии в отчетном году, выпуск которых осуществлялся и в прошлом году, если тогда их производство не носило опытного характера и не находилось в стадии освоения. Вновь осваиваемые изделия в ее состав не включаются.
Анализ этих двух показателей проводится с помощью составления аналитических таблиц, в которых проводится расшифровка затрат в рамках определенной классификации, приводятся данные о базисном, плановом и отчетном периоде, выполняется сравнение.
Наиболее обобщающим показателем себестоимости продукции является показатель затрат на единицу стоимости товарной продукции. Применение этого показателя дает возможность оценивать изменение себестоимости по предприятию независимо от ассортимента производимой продукции
и изменения ее структуры. Кроме того, этот показатель непосредственно связан с прибылью от данной продукции. Показатель затрат на единицу стоимости товарной продукции определяется отношением себестоимости товарной продукции к ее стоимости в оптовых ценах предприятия:

где с – себестоимость единицы продукции; р – цена единицы продукции; q – объем вида продукции.
Из формулы видно, что показатель затрат на единицу стоимости товарной продукции изменяется под влиянием следующих факторов первого порядка:
• изменение структуры выпущенной продукции;
• изменение затрат на отдельные виды продукции;
• изменение цен на товарную продукцию.
Влияние этих факторов можно определить способом цепных подстановок.
Исходя из экономического содержания себестоимости продукции, показатель затрат на единицу стоимости товарной продукции можно разложить на три основных элемента процесса производства на основе сметы затрат на производство продукции:

где М – материальные затраты в себестоимости продукции; ЗП – затраты по оплате труда; А – амортизация и расходы на текущий ремонт; ТП – товарная продукция.
Таким образом, показатель затрат на единицу стоимости товарной продукции выражает совокупность материалоемкости, трудоемкости (зарплатоемкости) и фондоемкости (амортизаци-оемкости) продукции, а анализ его изменения позволяет определить влияние отдельных элементов производственного процесса по их удельному весу и определить направление поиска резервов снижения себестоимости продукции.
Финансовый результат – обобщающий показатель анализа и оценки эффективности деятельности хозяйствующего субъекта на определенных стадиях его формирования. Показателями, выражающими финансовый результат деятельности предприятия, являются:
• показатели прибыли, характеризующие финансово-хозяйственный эффект деятельности предприятия (абсолютные показатели);
• показатели рентабельности, характеризующие эффективность использования применяемых в процессе производства ресурсов и текущих затрат (относительные показатели). Система показателей прибыли коммерческой организации, отражающая процесс формирования чистой прибыли:
• чистый доход от реализации продукции, работ, услуг;
• валовая прибыль;
• прибыль от продаж;
• прибыль до налогообложения;
• прибыль от обычной деятельности;
• чистую (нераспределенную) прибыль.
Прибыль – это часть чистого дохода, созданного в процессе производства и реализованного в сфере обращения, которую непосредственно получает предприятие.
Чистый доход от реализации продукции, работ, услуг (выручка (нетто равен выручке за вычетом косвенных налогов).
Валовая прибыль (маржинальный доход) – это та часть финансового результата, которая получена от видов деятельности, предусмотренных учредительными документами предприятия. Валовая прибыль рассчитывается по формуле:
ВП = ВР – СС,
где ВП – валовая прибыль; ВР – чистый доход от реализации, продукции, услуг; СС – себестоимость проданных товаров, продукции, работ, услуг.
На предприятиях торговли и общественного питания валовая прибыль (валовой доход) характеризует сумму торговой надбавки, приходящейся на проданные товары, т. е. представляет собой разность между продажной и покупной стоимостью проданных товаров.
Прибыль от продаж рассчипывается по формуле:
ПП = ВП – КР – УР,
где ПП – прибыль от продаж; ВП – валовая прибыль; КР – коммерческие расходы; УР – управленческие расходы. Прибыль до налогообложения:
ПДН = ПП + ОД – ОР + ВРД – ВРР
где ПДН – прибыльдо налогообложения, ОД,ОР – операционные доходы и расходы; ВРД, ВРР – внереализационные доходы и расходы.
Прибыль (убыток) от обычной деятельности определяется после уплаты суммы налогов с прибыли.
Чистая прибыль (убыток) – алгебраическая сумма прибыли (убытка) от обычной деятельности и чрезвычайной прибыли (убытка), а также налогов с последней.
Прибыль после налогообложения используется на выплату дивидендов, формирование резервного фонда в установленном порядке, формирование фондов экономического стимулирования.
Система показателей прибыли коммерческой организации, отражающая составные части прибыли:
• прибыль от реализации товаров;
• прибыль от реализации имущества и прочих активов;
• прибыль от финансовых операций;
• внереализационная прибыли.
Прибыль от реализации товаров представляет собой разность выручки от реализации за вычетом НДС, акцизов, экспортных пошлин, налога на реализацию ГСМ, процентных надбавок к розничным ценам на отдельные товары, вносимых в доход бюджета, и себестоимости реализованной продукции, включающей в себя также административные и коммерческие расходы.
Прибыль от реализации имущества и прочих активов как показатель инвестиционной сферы есть разница прочих операционных доходов и расходов.
Финансовую деятельность характеризует показатель, определяемый как сумма доходов от участия в других организациях и процентов к получению за вычетом процентов к уплате.
Показатель внереализационной прибыли обусловлен наличием случайных и экстраординарных доходов и расходов. Он исчисляется как разность между внереализационными доходами и расходами.
Мерой эффективности труда в процессе производства является производительность труда. Для оценки уровня производительности труда применяется система обобщающих, частных и вспомогательных показателей.
Уровень производительности труда может выражаться двумя показателями:
• выработка – количество продукции, произведенной рабочим за единицу времени;
• трудоемкость – количество времени, затраченного на изготовление единицы или всего объема продукции. Обобщающие показатели выработки: среднегодовая, среднедневная и среднечасовая выработка продукции одним рабочим.
Частные показатели: трудоемкость продукции определенного вида в натуральном выражении за 1 человеко-день или человеко-час.
Вспомогательные показатели выработки: затраты времени на выполнение единицы определенного вида работ или объем выполненных работ за единицу времени. В этом случае речь идет о производительности индивидуального (живого) труда (в натуральном выражении). Выработка продукции в стоимостном измерении на одного среднесписочного работника будет характеризовать эффективность использования совокупных затрат труда – живого и прошлого. Таким образом, наиболее правильно производительность труда отражает натуральный метод его измерения. Однако возможности этого метода ограничены и поэтому на практике для оценки производительности труда применяется выработка продукции в денежном выражении.
На изменение средней выработки одного работающего оказывают влияние факторы первого порядка (представленные в виде произведения):

где W – выработка; Чр/Ч – удельный вес рабочих в общей численности работающих;
– выработка одного рабочего. П/Чр
Развернутая характеристика факторов наиболее полно обеспечивается при использовании всей системы показателей выработки продукции (W):

где – Чр/Ч – удельный весрабочих;
чел. – дни/Чр —продолжительность рабочего периода;
чел. – часы/чел. – дни – продолжительность рабочего дня;
П/чел. – часы – среднечасовая выработка.
Расчет влияния этих факторов может быть проведен способами цепной подстановки, абсолютных разниц, относительных разниц или интегральным методом.
Показатель трудоемкости является обратным среднечасовой выработке продукции:

где ФРВ, – фонд рабочего времени на изготовление i-го вида изделий, Вп, – количество изделий одного наименования в натуральном выражении.
Снижение трудоемкости продукции – важнейший фактор повышения производительности труда. Рост производительности труда происходит, в первую очередь, за счет снижения трудоемкости продукции. Достигнуть снижения трудоемкости возможно за счет внедрения мероприятий НТП, механизации и автоматизации производства и труда, а также увеличения кооперированных поставок, пересмотра норм выработки и т. д.
В процессе анализа изучают динамику трудоемкости, выполнение плана по ее уровню, причины ее изменения и влияния на уровень производительности труда. Если возможно, производится сравнение удельной трудоемкости продукции по другим предприятиям отрасли, что позволяет выявить передовой опыт и разработать мероприятия по его внедрению на анализируемом предприятии.
Анализ использования рабочей силы на предприятии, уровня производительности труда необходимо рассматривать в тесной связи с оплатой труда. С ростом производительности труда создаются реальные предпосылки для повышения уровня его оплаты.
Анализ использования фонда оплаты труда начинается с расчета абсолютного и относительного отклонения его фактической величины от плановой, затем анализируется влияние факторов на общий фонд оплаты труда на предприятии.
Основные фонды – это совокупность произведенных общественным трудом материально-вещественных ценностей, действующих в течение длительного периода.
Поскольку основные производственные средства обслуживают только производственную сферу деятельности предприятия, эффективность их использования определяется только экономическими соображениями.
Оценка эффективности использования основных производственных фондов основана на применении общей для всех ресурсов технологии оценки, которая предполагает расчет и анализ показателей отдачи и емкости.
Показатели отдачи характеризуют выход готовой продукции на 1 руб. ресурсов.
Показатели емкости характеризуют затраты или запасы ресурсов на 1 руб. выпуска продукции.
Для оценки эффективности использования основного капитала служит показатель фондоотдачи, который определяется как отношение стоимости товарной продукции к среднегодовой стоимости основных производственных фондов:
ОФ =ТП/ОФ
При расчете фондоотдачи в стоимости основных фондов учитываются собственные и арендованные средства и не учитываются основные фонды, находящиеся на консервации, а также сданные в аренду другим предприятиям. При оценке динамики фондоотдачи объем продукции корректируется на изменение оптовых цен и структурных сдвигов в объеме выпускаемой продукции, а стоимость основных средств – на коэффициент переоценки. Повышение фондоотдачи при прочих равных условиях приводит к снижению суммы амортизационных отчислений, приходящейся на 1 руб. готовой продукции, или амортизационной емкости, и соответственно способствует повышению доли прибыли в цене товара.
Важным условием роста рентабельности при увеличении фондоотдачи является равенство объемов выпуска и реализации продукции, т. к. фондоотдача рассчитывается по показателю выпуска продукции, а рентабельность – по финансовому результату от реализации. В этом смысле фондоотдача отражает технологическую эффективность производства, а рентабельность – экономическую эффективность.
Для выявления эффективности использования различных групп основных фондов показатель фондоотдачи рассчитывается по группам основных фондов, по промышленно-производственным фондам, т. е. за вы четом стоимости основных фондов социального назначения, по активной части промышленно-производственных фондов (машинам и оборудованию). Сопоставление темпов изменения фондоотдачи по разным группам основных фондов дает возможность определить направления совершенствования их структуры.
Другим показателем эффективности использования основных средств является фондоемкость, которая определяется отношением сред ней стоимости основных средств к объему выпуска продукции:
ФЕ =ОФ/П
Изменение фондоемкости в динамике показывает изменение стоимости основных средств на 1 руб. продукции и применяется при определении суммы относительного перерасхода или экономии средств в основные фонды.
Для разработки технологической политики предприятия необходим углубленный факторный анализ показателей эффективности использования основных средств (прежде всего, фондоотдачи).
на изменение уровня фондоотдачи оказывают влияние факторы первого порядка (представленные в виде произведения):

где – ОФа/ОФ – удельный вес активной части фондов;
П/ОФа фондоотдача активной части фондов.
Расчет влияния факторов можно провести любым способом.
Углубляя анализ эффективности использования основных фондов, изучается степень использования производственных мощностей предприятия, отдельных видов машин и оборудования.
Под производственной мощностью предприятия понимают максимально возможный выпуск продукции при достигнутом или намеченном уровне техники, технологии и организации производства.
Рассчитываются коэффициенты использования производственных мощностей, фактические сравниваются с плановыми, устанавливается изменение степени использования производственных мощностей, причины этих изменений. низкий коэффициент использования производственной мощности свидетельствует о наличии неиспользованных возможностей увеличения выпуска продукции без ввода дополнительных мощностей и новых капитальных вложений.
В процессе комплексного целевого анализа производства и реализации продукции выделяются этапы:
1. Анализ формирования и выполнения производственной программы.
2. Анализ качества продукции.
3. Анализ ритмичности выпуска продукции.
4. Анализ выполнения договорных обязательств и реализации продукции.
5. Анализ резервов роста объема производства и реализации. Объем выпуска может оцениваться как в стоимостном, так и в натуральном, условно-натуральном выражении (в отличие от оценки объема реализации, где всегда используется стоимостная оценка).
Основные показатели объема производства:
• валовая продукция – стоимость всей произведенной продукции и выполненных работ независимо от степени их готовности (выражается в сопоставимых ценах);
• товарная продукция – стоимость всей произведенной за период готовой продукции (работ, услуг);
• реализованная продукция – стоимость готовой продукции, отгруженной покупателям.
Анализ объема производства начинается с изучения динамики валовой и товарной продукции (расчета индексов динамики, базисных и цепных темпов роста). Оценка выполнения плана по объему выпуска осуществляется на основе сравнения данных за предшествующий период, плановых и фактических данных.
Далее производится анализ ассортимента продукции. Ассортимент – перечень наименований изделий с указанием количества по каждому из них.
Оценка выполнения плана по ассортименту может проводиться:
• по способу наименьшего процента (выполнения плана);
• по удельному весу в общем перечне наименований изделий, по которым выполнен план выпуска продукции;
• с помощью среднего процента:
%вып. плана ас.= ПфП/ПП
где ПфП – выпуск фактический в пределах плана; ПП – плановый выпуск.
Далее проводится анализ причин невыполнения плана. Влияние изменения структуры продукции на объем ее выпуска в стоимостном выражении определяется при использовании средних цен:
ΔП = (Цср1 − Цср0) К1
где ДП – прирост объема продукции за счет изменения структуры;
Цср1,Цср0 – средняя оптовая цена группы изделий фактическая и прошлого периода; К1 – фактическое количество изделий в отчетном периоде.
Качество продукции – совокупность свойств продукции удовлетворять определенные потребности в соответствии с ее назначением. Технический уровень продукции оценивается путем сопоставления технико-экономических показателей изделий с лучшими образцами. К экономическим показателям качества относятся: удельный вес продукции, отнесенной к соответствующим уровням качества; удельный вес экспортируемой продукции; удельный вес новой продукции; удельный вес сертифицированной продукции в общем ее выпуске; объем забракованной продукции и др.
Требование ритмичности означает соблюдение определенного ритма выпуска продукции, согласованного с возможностями предприятия по производству и хранению продукции, а также ее своевременной отгрузки. Измерение и оценка степени ритмичности производится следующими способами: отношение наименьшего среднесуточного выпуска продукции к наибольшему, способом зачета, с помощью статистических характеристик.
Под реализацией продукции, работ, услуг понимается передача покупателю права собственности на произведенные предприятием-продавцом продукцию, работы, услуги. Выполнение плана по объему реализации зависит от обеспеченности его товарно-сырьевыми ресурсами. Для изучения этого показателя составляется баланс товарной продукции в двух оценках – по себестоимости и по отпускным ценам, который отражает взаимоувязку показателей движения готовой продукции: РП = Он + П – Ок,
где Он, Ок – остатки готовой продукции на складе на начало и конец периода.
Работа предприятия по реализации продукции, работ, услуг должна быть оценена с позиции покупателя. Критериями для такой оценки может быть выполнение договоров поставки в полном объеме, т. е. по объему реализации в оговоренном ассортименте, заданного количества и в установленные сроки.
Факторы, влияющие на выпуск продукции, а, следовательно, и на объем ее реализации сосредоточены в наличии и использовании групп соответствующих ресурсов. По экономическому содержанию их объединяют в три группы: рабочая сила, средства труда, предметы труда.
В рамках классификации методов экономического анализа выделяются статистические и экономико-математические, а также качественные и количественные методы.
Статистические методы включают использование средних и относительных величин, индексный метод, корреляционный и регрессивный анализ, построение вариационных рядов, статистическую группировку и др.
Коэффициентный метод, широко применяемый в экономическом анализе наряду с факторным анализом, представляет собой систему относительных показателей, определяемых по данным бухгалтерской отчетности, главным образом – по данным баланса и отчета о прибылях и убытках.
Индексный метод экономического анализа основывается на относительных показателях, выражающих отношение фактического уровня анализируемого показателя в отчетном периоде к его уровню в базисном периоде (либо к плановому или по другому объекту).
В практике вертикального анализа бухгалтерского баланса и прочей отчетности предприятия применяются также такие относительные величины, как проценты и удельные веса.
Средние величины, исчисляемые на основе данных о качественно однородных явлениях, позволяют определять общие закономерности в развитии экономических процессов. Горизонтальный анализ отчетности использует средние величины для нахождения темпов роста и прироста.
Метод корреляционного и регрессионного (стохастического) анализа широко используется для определения тесноты связи между показателями, не находящимися в детерминированной функциональной зависимости. Данный метод является пограничным между статистическими и математическими методами.
Экономико-математические методы, используемые в экономическом анализе, классифицируются по группам:
• математическое программирование – это основное средство решения задач по оптимизации производственно-хозяйственной деятельности;
• матричные модели представляют собой схематическое отражение экономического явления или процесса с помощью научной абстракции;
• метод исследования операций направлен на изучение экономических систем с целью определения такого сочетания структурных взаимосвязанных элементов систем, которое в наибольшей степени позволит определить наилучший экономический показатель из ряда возможных;
• теория игр – это теория математических моделей принятия оптимальных решений в условиях неопределенности или конфликта нескольких сторон, имеющих различные интересы.
В основе количественных методов экономического анализа лежит осуществление расчетов, поэтому рассмотренные статистические и экономико-математические методы являются частью количественной методологии экономического анализа. Другой его составной частью являются специальные методы – приемы факторного детерминированного анализа: цепные подстановки, абсолютные и относительные разницы, интегральный метод, метод выявления изолированного влияния факторов и пр.
Качественные методы, как правило, используются на начальном и заключительном этапе экономического анализа. К качественным относятся методы, не использующие математические расчеты, формализованную запись объекта: общенаучные методы (индукция, дедукция, систематизация, обобщение (синтез), абстрагирование, сравнение и пр.) и эвристические методы (метод инверсии, метод идеализации, «мозговой штурм», конференция идей, метод коллективного блокнота, метод контрольных вопросов, метод фокальных объектов, метод морфологического анализа).
Качественные методы используются на начальных этапах количественного исследования: для формирования цели и задач исследования, для словесного описания объекта, выделения проблемных зон организации. на заключительном этапе экономического анализа качественные методы позволяют обобщить, систематизировать накопленную аналитическую информацию, проанализировать ее на качественном уровне, произвести сравнения, сформировать выводы исследования, дать рекомендации, которые будут основой для принятия управленческих решений.
Модель – условный образ объекта управления (исследования). Математическое моделирование экономических систем и процессов является важным инструментом экономического анализа, т. к. позволяет получить четкое представление об исследуемом объекте, охарактеризовать и количественно описать его внутреннюю структуру и внешние связи.
Этапы моделирования:
1. Анализ теоретических закономерностей, свойственных изучаемому явлению или процессу, и эмпирических данных о его структуре и особенностях (на основе такого анализа формируются модели).
2. Определение методов, с помощью которых можно решить задачу.
3. Анализ полученных результатов.
При формировании моделей экономических систем используется аппарат математического моделирования, экономико-математические теории и методы. В некоторых случаях задачи анализа не требуют построения собственной модели, используются уже построенные модели для однотипных с математической точки зрения процессов.
Математические методы и модели, используемые в экономическом анализе, классифицируются по группам:
1. Методы корреляционно-регрессионного анализа используются в экономическом анализе для выявления формы и плотности связи между различными параметрами исследуемого объекта, характер функциональной зависимости между которыми не установлен. Чаще всего эта связь стохастична. Корреляция выражает вероятностную зависимость между переменными параметрами алгоритма связи. Корреляционная зависимость может быть выявлена как между двумя количественными признаками (парная корреляция), так и между многими (множественная корреляция).
2. Методы математического программирования предназначены для оптимизации хозяйственной деятельности и позволяют оценивать степень достижения потенциала, определить лимитирующие ресурсы, «узкие места», степень конкурентности и дефицитности.
Методы математического программирования включают методы линейного и динамического программирования.
Методы линейного программирования (транспортная задача, задача оптимального раскроя, задача оптимальной смеси и пр.) используются для решения многих оптимизационных аналитических задач, где функциональные зависимости исследуемых явлений и процессов детерминированы. Задача линейного программирования при проведении экономического анализа состоит в поиске экстремальных значений исследуемых параметров объекта, доставляющих максимум (минимум) критерию при ресурсных ограничениях.
3. Методы динамического программирования используются при решении оптимизационных задач, в которых целевая функция или ограничения характеризуются нелинейными зависимостями. Эти методы используются при исследовании стохастических факторных систем.
Матричные методы и модели экономического анализа основаны на линейной и векторно-матричной алгебре, используются при моделировании сложных и высокоразмерных экономических структур.
Наиболее распространены в экономическом анализе: модель межотраслевого баланса (важный метод экономического анализа сложных пропорциональных зависимостей), матрица многокритериальной оптимизации (используется как метод сравнительной, рейтинговой оценки вариантов возможных изменений параметров экономической системы при условии многокритериальной оптимизации), ключевая матрица (позволяет упростить решение задач методом производственных функций) и др.
В составе других экономико-математических методов и моделей можно выделить математическую теорию игр (используется при выборе наилучших управленческих решений, организации хозяйственных взаимоотношений с партнерами и в др. ситуациях), математическую теорию массового обслуживания (решение задач, связанных с организацией обслуживания и ремонта оборудования, проектированием поточных линий, планированием маршрутов городского транспорта и пр.), исследование операций (используется в экономическом анализе для получения сравнительной оценки альтернативных решений), теорию нечетких множеств и другие математические методы и модели.