Статистика – самостоятельная общественная наука, имеющая свой предмет и методы исследова–ния, которая возникла из потребностей обществен–ной жизни. Статистика – это наука, изучающая коли-шственную сторону всех социально-экономических !влений. Главной задачей статистики является мате-латически правильно описать собранные сведения.
Объект статистики – явления и процессы со-^иально-экономической жизни общества, в кото-)ых отображаются и находят свое выражение со-^иально-экономические отношения людей.
Общая теория статистики является методологи-юской основой, ядром всех отраслевых статистик. Кна разрабатывает общие принципы и методы стати-ггического исследования общественных явлений и яв-няется наиболее общей категорией статистики.
Статистика – общественная наука, которая за–нимается сбором информации различного характера, 5е упорядочиванием, сопоставлением, анализом и ин-־ерпретацией (объяснением). Она обладает следующими отличительными особенностями:
I) изучает количественную сторону общественных яв–лений.
Данная сторона явления представляет его ве–личину, размер, объем и имеет числовое измерение;
I) исследует качественную сторону массовых явле–ний.
Предоставленная сторона явления выражает его специфику, внутреннюю особенность, отличаю–щую его от других явлений. Качественная и количе–ственная стороны явления всегда существуют вме–сте, образуют одно единое целое.
Все общественные явления и события про–текают во времени и пространстве, и в отноше–нии любого из них всегда можно определить, в какое время оно возникло и где оно развивается. Таким об–разом, статистика изучает явления в конкретных условиях места и времени.
Постигаемые статистикой явления и процессы общественной жизни находятся в постоянном изме–нении и развитии. На базе сбора, обработки и анали–за массовых данных об изменении изучаемых явлений и процессов обнаруживается статистическая законо–мерность. В статистических закономерностях проявля–ются действия общественных законов, определяющих существование и развитие социально-экономиче–ских отношений в обществе.
Предметом статистики является исследование общественных явлений, динамики и направления их развития. При помощи статистических показателей статистика устанавливает количественную сторону об–щественного явления, наблюдает закономерности пе–рехода количества в качество на примере данного об–щественного явления. На основании предоставленных наблюдений статистика производит анализ получен–ных данных в конкретных условиях места и времени.
Статистика занимается исследованием социаль–но-экономических явлений и процессов, которые но–сят массовый характер, а также изучает множество определяющих их факторов.
Для выведения и подтверждения своих теорети–ческих законов большинство общественных наук пользуются статистикой.
Статистика, как и любая другая наука, обладает определенной совокупностью методов изучения своего предмета. Методы статистики выбираются в зави–симости от изучаемого явления и конкретного пред–мета исследования (связи, закономерности или разви–тия).
Методы в статистике образуются в совокупности из разработанных и применяемых специфических спосо–бов и приемов исследования общественных явлений. К ним имеют отношение наблюдение, сводка и группи–ровка данных, исчисление обобщающих показателей на основе специальных методов (метод средних ин–дексов и т. д.). В связи с этим различают три этапа ра–боты со статистическими данными:
1) сбор – это массовое научно-организованное на–блюдение, посредством которого получают пер–вичную информацию об отдельных фактах (едини–цах) изучаемого явления. Данный статистический учет большого числа или всех входящих в состав изучаемого явления единиц является информа–ционной базой для статистических обобщений, для формулирования выводов об изучаемом явлении или процессе;
2) группировка и сводка. Под этими данными понима–ют распределение множества фактов (единиц) на однородные группы и подгруппы, итоговый под–счет по каждой группе и подгруппе и оформление полученных итогов в виде статистической таблицы;
3) обработка и анализ. Статистический анализ заклю–чает стадию статистического исследования. Он со–держит в себе обработку статистических данных, которые были получены при сводке, интерпрета–цию полученных результатов с целью получения объективных выводов о состоянии изучаемого явления и о закономерностях его развития. В проессе статистического анализа исследуются структура, динамика и взаимосвязь общественных явлений и процессов.
Основными этапами статистического анализа яв–ляются:
1) утверждение фактов и установление их оценки;
2) выявление характерных особенностей и причин яв–ления;
3) сравнение явления с нормативными, плановыми и другими явлениями, которые приняты за базу сравнения;
4) формулирование выводов, прогнозов, предполо–жений и гипотез;
5) статистическая проверка выдвинутых предположе–ний (гипотез).
Для статистической методологии теоретической базой является диалектико-материалистическое по–нимание законов процесса развития общества. Вследствие этого статистика нередко применяет такие категории, как количество и качество, необходимость и случайность, закономерность, причинность и др.
Основные положения статистики базируются на законах социальной и экономической теории,связь между статистикой и другими общественными наука–ми является бесконечной и непрерывной. Статистика устанавливает законы общественных наук, а они кор–ректируют положения статистики.
Теоретическая основа статистики также близко связана с математикой, так как для измерения, сравнения и анализа количественных характеристик необходимо использовать математические показате–ли, законы и методы.
Очень часто статистическое исследование опи–рается на разработанную математическую модель яв–ления. При ее наличии задача статистики состоит в чи–сленном определении параметров, входящих в модели.
При оценке финансового состояния предприятия нередко используют скоринговую модель А. Альтмана.
Особенно большое распространение в статисти–ческой науке получили такие направления математи–ки, как теория вероятностей и математическая стати–стика.
Статистическая совокупность относится к основ–ным категориям статистики и является объектом стати–стического исследования, под которым понимается планомерный научно обоснованный сбор сведений о социально-экономических явлениях обществен–ной жизни и анализ полученных данных. Информа–ционной базой является статистическая совокуп–ность – совокупность социально-экономических объектов или явлений общественной жизни, объеди–ненных общей связью, качественной основой, но от–личающихся друг от друга некоторыми признаками.
Статистическая совокупность – это множество единиц, обладающих такими характеристиками, как однородность, массовость, определенная целост–ность, наличие вариации, взаимозависимость со–стояния отдельных единиц.
Статистическая совокупность состоит из отдель–ных единиц. Единица совокупности является первич–ным элементом и носителем ее основных признаков. Элемент совокупности называется единицей наблю–дения. Количество единиц совокупности называется объемом совокупности.
Массовость единиц совокупности тесно связана с ее полнотой. Полнота обеспечивается охватом еди–ниц исследуемой статистической совокупности. Пол–нота полагает изучение признаков единиц совокуп–ности за максимально длительные периоды.
Признаком единицы совокупности называют ее характерную черту, конкретное свойство, особен–ность, качество, которое может быть наблюдаемо и измерено. На признаки единиц совокупности накла–дывается требование их сопоставимости и единооб–разия.
Присутствие вариации у единиц совокупности обозначает, что их признаки могут получать всевоз–можные значения или видоизменения у некоторых единиц совокупности.
Признаки делятся на атрибутивные и количе–ственные. Признак называется атрибутивным или ка–чественным, если он выражается смысловым поняти–ем. Внутри они подразделяются на номинальные и порядковые.
Признак называют количественным, если он вы–ражен числом. По характеру варьирования количе–ственные признаки подразделяются на дискретные и непрерывные.
По способу измерения признаки делятся на пер–вичные и вторичные. Первичные выражают единицу совокупности в целом, т. е. абсолютные величины. Вторичные непосредственно не измеряются, а рас–считываются. Первичные признаки лежат в основе на–блюдения статистической совокупности, а вторичные определяются в процессе обработки и анализа дан–ных и представляют собой соотношение первичных признаков.
По отношению к характеризуемому объекту признаки делятся на прямые и косвенные. Прямые признаки – это свойства, непосредственно присущие объекту, который характеризуется. Косвенные приз–наки являются свойствами, характерными не для самого объекта, а для прочих совокупностей, имею–щих отношение к объекту или входящих в него.
По отношению ко времени различают момен–тальные и интервальные признаки. Моментальные признаки характеризуют изучаемый объект в какой-то момент времени, установленный планом статистиче–ского исследования. Интервальные признаки харак–теризуют результаты процессов. Их значения могут возникать только за интервал времени.
Показатели – одно из главных понятий статисти–ки, которое представляет собой обобщенную количе–ственную оценку социально-экономических процес–сов и явлений. По целевым функциям статистические показатели делятся на учетно-оценочные и аналити–ческие. Учетно-оценочные показатели – это ста–тистическая характеристика величин социально-экономических явлений в установленных условиях места и времени.
Аналитические показатели используются для анализа данных изучаемой статистической совокупно–сти и характеризуют специфику развития исследуемых явлений. В качестве аналитических показателей в ста–тистике используются относительные средние величи–ны, показатели вариации и динамики, показатели связи.
Центральной категорией статистики является статистическая закономерность. Под закономерно–стью понимают количественную закономерность изменения в пространстве и времени массовых яв–лений и процессов общественной жизни в резуль–тате действия объективных законов. Статистическая закономерность характерна, а всей совокупности в целом и выражается только при достаточно боль–шом числе наблюдений.
Статистика играет важную роль в управлении экономическим и социальным развитием страны.
Исследованием экономического и социального развития страны, отдельных регионов, отраслей, фирм, предприятий занимаются специально образо–ванные для этого органы, составляющие статистиче–скую службу: органы ведомственной статистики и ор–ганы государственной статистики.
Наивысшим органом управления статистикой яв–ляется Государственный комитет по статистике Россий–ской Федерации.Госкомстат является федеральным органом исполнительной власти, выполняющим меж–отраслевую координацию и функциональное регу–лирование в сфере государственной статистики.
Госкомстат выполняет следующие функции:
1) осуществляет сбор, обработку, защиту и хранение статистической информации, соблюдение госу–дарственной и коммерческой тайн, необходимую конфиденциальность данных;
2) обеспечивает функционирование единого госу–дарственного регистра предприятий и организа–ций (ЕГРПО) на основе учета всех хозяйствующих субъектов на территории с присвоением им иден–тификационных кодов исходя из общероссийских классификаторов технико-экономической и со–циальной информации;
3) разрабатывает научно обоснованную статистиче–скую методологию, отвечающую потребностям об–щества на современном этапе, а также междуна–родным стандартам;
4) осуществляет проверку за выполнением все–ми юридическими и другими хозяйствующими субъектами законов, решений Президента, Прави–тельства по вопросам статистики; 5) издает постановления и инструкции по вопросам статистики, обязательные для исполнения всеми юридическими и другими хозяйствующими субъек–тами, находящимися на территории. Совокупность методов статистических показате–лей, методы и формы сбора и обработки статистиче–ских данных, принятые Госкомстатом России, являют–ся официальными статистическими стандартами Российской Федерации.
Госкомстат России в своей основной деятельно–сти руководствуется федеральными статистическими программами, которые формируются с учетом предло–жений федеральных органов исполнительной и законо–дательной власти, органов государственной власти субъектов Российской Федерации, научных и других ор–ганизаций и утверждаются Госкомстатом России по со–гласованию с Правительством Российской Федерации.
Главными задачами статистических орга–нов страны является обеспечение гласности и доступ–ности общей информации, а также гарантия досто–верности, правдивости и точности учтенных данных.
Процесс статистического исследования предпо–лагает проведение таких этапов, как:
1) сбор информации по статистике (статистическое наблюдение) и ее первичная обработка;
2) группировка и последующая обработка данных, ко–торые получены вследствие статистического на–блюдения, на базе их сводки и группировки;
3) обобщение и анализ результатов обработки стати–стических материалов, формулировка выводов и рекомендаций по результатам всего статистиче–ского исследования.
Следовательно, статистическое наблюдение – это первый и исходный этап статистического иссле–дования. Статистическое наблюдение – процесс сбора первичных данных о различных явлениях со–циальной и экономической жизни. Это значит, что статистическое наблюдение должно быть организо–вано как планомерное, массовое и систематическое.
Планомерность статистического наблюде–ния состоит в том, что оно проводится по специаль–но разработанному плану, который содержит в себе вопросы, связанные с организацией и техникой сбо–ра статистической информации, контроля ее досто–верности и качества, представления итоговых мате–риалов.
Массовый характер статистического наблюде–ния обеспечивается наиболее полным диапазоном всех случаев проявления исследуемого явления или процесса, т. е. количественные и качественные харак–теристики подвергаются измерению и регистрации не отдельных единиц изучаемой совокупности, а всей массы единиц совокупности в процессе стати–стического наблюдения. Систематичность статистического наблюдения не должна носить стихийного характера. Работы, свя–занные с проведением такого наблюдения, должны выполняться либо непрерывно, либо регулярно через одинаковые интервалы времени.
Процесс подготовки статистического наблюде–ния предполагает установление цели и объекта на–блюдения, выбор единицы наблюдения, состава приз–наков, подлежащих регистрации. Для сбора данных необходимо разработать бланки документов и вы–брать средства и методы их получения.
Статистическое наблюдение представляет собой процесс, который с точки зрения его организации может иметь разнообразные способы, формы и виды проведения. Задачей общей теории статистики явля–ется определение сущности способов, форм и видов наблюдения для решения вопроса, где, когда и какие приемы наблюдения будут применяться.
Статистические наблюдения имеют две основ–ные группы:
1) охват единиц совокупности;
2) время регистрации фактов.
По уровню охвата исследуемой совокупности статистическое наблюдение делится на два типа: сплошное и несплошное.
Под сплошным (полным) наблюдением понима–ется охват всех единиц изучаемой совокупности.
Под несплошным наблюдением понимается только охват определенной части изучаемой совокуп–ности.
Существует несколько видов несплошного на–блюдения: выборочное; наблюдение основного мас–сива; монографическое.
Под выборочным наблюдением понимается часть единиц исследуемой совокупности, выделенной спосо–бом случайного отбора. Методом моментных наблюде–ний называется выборочное наблюдение, которое предполагает отбор не только единиц исследуемой совокупности, но и моментов времени, в которые проводится регистрация признаков.
Наблюдение основного массива предста–вляет собой охват обследования определенных, наиболее значимых признаков единиц совокупности.
Для монографического наблюдения характерно всестороннее и полное изучение лишь некоторых единиц совокупности, обладающих какими-либо осо–бенными характеристиками или представляющими какое-либо новое явление. Целью такого наблюдения является выявление имеющихся или только появляю–щихся тенденций в развитии данного процесса или явления. Монографическое наблюдение близко связа–но со сплошным и выборочным наблюдениями.
По времени регистрации фактов наблюдение мо–жет быть непрерывным и прерывным. Прерывное на–блюдение, в свою очередь, включает периодическое и единовременное.
Непрерывное (текущее) наблюдение реализо-вывается путем непрерывной регистрации фактов по мере их поступления.
Прерывное наблюдение проводится либо систе–матически через установленные промежутки времени, либо однократно и нерегулярно по мере необходи–мости.
Специфика единовременного наблюдения за–ключается в том, что факты регистрируются не в свя–зи с их возникновением, а по состоянию или наличию их на определенный момент или за период времени. Количественное измерение признаков какого-либо яв–ления или процесса происходит в момент проведения обследования, а повторная регистрация признаков может не производиться вообще или сроки ее проведения заранее не определены.
Способами получения статистической информа–ции являются документальный способ наблюдения; способ непосредственного наблюдения: опрос.
Документальное наблюдение основано на исполь–зовании в качестве источника информации данных раз–личных документов. Учитывая, что к заполнению таких документов, как правило, предъявляются высокие требования, данные, отраженные в них, носят наибо–лее достоверный характер и могут служить качествен–ным исходным материалом для проведения анализа.
Непосредственное наблюдение осуществля–ется путем регистрации фактов, лично установлен–ных регистраторами в результате осмотра, измере–ния, подсчета признаков изучаемого явления. Таким способом регистрируются цены на товары и услуги, производятся замеры рабочего времени, инвентари–зация остатков на складе и т. д.
Опрос основывается на получении данных от респондентов. Опрос применяют в тех случаях, когда наблюдение другими способами не может быть осу–ществлено. Такой вид наблюдения характерен для про–ведения различных социологических обследований и опросов общественного мнения.
Статистическая информация может быть получе–на разными видами опросов: экспедиционным, кор–респондентским, анкетным, явочным.
Экспедиционный опрос проводится специально подготовленными работниками, которые фиксируют ответы респондентов в формулярах наблюдения. Формуляр представляет собой бланк документа, в ко–тором необходимо заполнить поля для ответов.
Корреспондентский способ предполагает, что на добровольной основе штат респондентов сообщает сведения непосредственно в орган, ведущий наблюдение. Недостатком этого способа является то, что затруднительно проверить правильность получен–ной информации.
При анкетном способе респонденты заполняют анкеты добровольно и преимущественно анонимно. Поскольку этот способ получения информации не яв–ляется надежным, его применяют в тех исследова–ниях, где не требуется высокая точность результатов. В некоторых ситуациях достаточно приближенных ре–зультатов, которые улавливают лишь тенденцию и фиксируют появление новых фактов и явлений.
Явочный способ предполагает представление сведений в органы, ведущие наблюдение, в явочном порядке. Таким способом регистрируются акты граж–данского состояния: брак, развод, смерть, рождение и т. д.
В теории статистики рассматриваются и формы статистического наблюдения: отчетность; специально организованное статистическое наблюдение; реги–стры.
Статистическая отчетность – основная форма статистического наблюдения, которая ха–рактеризуется тем, что сведения об изучаемых яв–лениях статистические органы получают в виде особых документов, представляемых предприятия–ми и организациями в определенные сроки и по установленной форме. Сами формы статистиче–ской отчетности, методы сбора и обработки стати–стических данных, методология статистических по–казателей, установленные Госкомстатом России, являются официальными статистическими стандар–тами Российской Федерации и обязательны для всех субъектов общественных отношений.
Статистическую отчетность делят на специали–зированную и типовую. Состав показателей типовой отчетности един для всех предприятий и организаций, в то время как состав показателей специализирован–ной отчетности зависит от специфики отдельных отраслей экономики и сферы деятельности.
По срокам представления статистическая отчет–ность бывает ежедневная, недельная, декадная, двух–недельная, месячная, квартальная, полугодовая и го–довая.
Статистическая отчетность может передаваться по телефону, по каналам связи, на электронных носи–телях с обязательным последующим представлением на бумажных носителях, скрепленная подписью ответственных лиц.
Специально организованное статистическое на–блюдение представляет собой сбор сведений, орга–низуемый статистическими органами, или для изуче–ния явлений, не охватываемых отчетностью, или для более глубокого изучения отчетных данных, их про–верки и уточнения. Различного рода переписи, еди–новременные обследования являются специально организованными наблюдениями.
Регистры – это такая форма наблюдения, при которой факты состояния отдельных единиц сово–купности непрерывно регистрируются. Наблюдая за единицей совокупности, предполагают, что процес–сы, происходящие там, имеют начало, долговре–менное продолжение и конец. В регистре каждая единица наблюдения характеризуется совокупно–стью показателей. Все показатели хранятся до тех пор, пока единица наблюдения находится в реги–стре и не закончила своего существования. Некото–рые показатели остаются неизменными все время, пока единица наблюдения находится в регистре, другие могут меняться время от времени. Приме–ром такого регистра может служить единый госу–дарственный регистр предприятий и организаций (ЕГРПО). Все работы по его ведению осуществляет Госкомстат России.
Одной из важнейших задач, которую необходи–мо решить при подготовке статистического наблюде–ния, является определение цели, объекта и единицы наблюдения.
Целью практически любого статистического на–блюдения является получение достоверной информа–ции о явлениях и процессах общественной жизни, с тем чтобы выявить взаимосвязи факторов, оценить масштабы явления и закономерности его развития. Исходя из задач наблюдения определяются его про–грамма и формы организации.
Объектом наблюдения называется совокупность общественных явлений или процессов, подлежащих исследованию. При установлении объекта наблюде–ния важно строго и точно определить границы изучае–мой совокупности.
Единица совокупности – это так называемый составной элемент объекта наблюдения, от которого поступают сведения о единице наблюдения, т. е. ко–торый служит основой счета и обладает признаками, подлежащими регистрации в процессе наблюдения.
Единицы наблюдения называют отчетными еди–ницами, если они представляют статистическую от–четность в статистические органы.
Каждое явление или процесс общественной жизни обладает множеством признаков, их характе–ризующих. Получить информацию обо всех признаках невозможно, да и не все из них представляют интерес для исследователя.
Программа статистического наблюдения пред–ставляет собой совокупность вопросов, ответы на ко–10б торые в процессе наблюдения и должны соста–вить статистические сведения. При разработке программы наблюдения необхо–димо учитывать ряд предъявляемых к ней требова–ний.
Статистический формуляр – это специальный документ единого образца, в котором фиксируются от–веты на вопросы программы. В зависимости от конкрет–ного содержания проводимого наблюдения форму–ляр может называться формой статистической отчетности, переписным или опросным листом, кар–той, карточкой, анкетой или бланком.
Различают два вида формуляров: карточные и списочные. Формуляр-карточка предназначен для отражения сведений об одной единице статистиче–ской совокупности, а списочный формуляр содержит сведения о нескольких единицах совокупности.
Неотъемлемыми и обязательными элементами статистического формуляра являются титульная, адресная и содержательная части.
Заполнение статистического формуляра проис–ходит в соответствии с инструкцией. Инструкция со–держит указания о порядке проведения наблюдения и методические указания и разъяснения по заполне–нию формуляра. В зависимости от сложности про–граммы наблюдения инструкция либо публикуется в виде брошюры, либо помещается на обратной сто–роне формуляра.
Критическим моментом статистического наблю–дения называют момент времени, к которому приу–рочены регистрируемые в процессе наблюдения сведения. Сроком наблюдения определяется период, в течение которого должна осуществляться регистра–ция сведений об изучаемом явлении.
Для успешной подготовки и проведения стати–стического наблюдения должны быть решены и во–просы его организационного обеспечения. Это дела–ется при составлении организационного плана наблюдения. В плане отражаются цели и задачи на–блюдения, объект наблюдения, место, время, сроки наблюдения, круг лиц, отвечающих за проведение на–блюдения.
Обязательным элементом организационного плана является указание органа наблюдения. Также определяется круг организаций, призванных оказы–вать содействие в проведении наблюдения. К ним мо–гут относиться органы внутренних дел, налоговая ин–спекция, отраслевые министерства, общественные организации, физические лица, волонтеры и т. д.
В число подготовительных мероприятий входят:
1) разработка формуляров статистического наблю–дения, размножение документации самого обсле–дования;
2) разработка методологического аппарата для ана–лиза и представления результатов наблюдения;
3) разработка программного обеспечения для обра–ботки данных, закупка вычислительной и оргтехники;
4) закупка необходимых материалов, в том числе кан–цтоваров;
5) подготовка квалифицированных кадров, обучение персонала, проведение различного рода инструк–тажа и т. д.;
6) проведение массовой разъяснительной рабо–ты среди населения и участников наблюдения (лекции, беседы, выступления в печати, по радио и телевидению);
7) согласование деятельности всех служб и привле–каемых к совместным действиям организаций;
8) оборудование места сбора и обработки данных;
9) подготовка каналов передачи информации и средств связи;
10) решение вопросов, связанных с финансирова–нием статистического наблюдения.
Таким образом, план наблюдения содержит ряд мероприятий, а также характеризующих их обстоя–тельств места и времени, направленных на успешное проведение работы по регистрации необходимых сведений.
Точностью статистического наблюдения назы–вается степень соответствия какого-либо показателя или признака, исчисленного по материалам наблюде–ния, действительная его величине. Расхождение меж–ду результатом наблюдения и истинным значением величины наблюдаемого явления называется ошиб–кой наблюдения.
По своему характеру ошибки делятся на случай–ные и систематические. Случайные ошибки – это ошибки, возникновение которых обусловлено дей–ствием случайных факторов.
Систематические ошибки имеют одинаковую тенденцию либо к уменьшению, либо к увеличению значения показателя признака.
В зависимости от стадии возникновения разли–чают ошибки регистрации, к которым относятся те неточности, которые возникают при записи данных в статистический формуляр или при вводе данных в вычислительную технику, искажение данных при передаче через линии связи.
Ошибки при подготовке данных к машинной об–работке или в процессе самой обработки возникают в вычислительных центрах или центрах подготовки данных.
Различают несколько видов ошибок:
1) ошибки измерения;
2) ошибки репрезентативности;
3) преднамеренные ошибки;
4) непреднамеренные ошибки.
Желательно провести некоторые мероприятия, которые помогут предупредить, выявить и исправить ошибки наблюдения. К таким мероприятиям от–носятся:
1) подбор квалифицированных кадров и качествен–ное обучение персонала, связанного с проведени–ем наблюдения;
2) организация контрольных проверок правильности заполнения документов сплошным или выбороч–ным методом;
3) арифметический и логический контроль получен–ных данных после завершения сбора материалов наблюдения.
Основными видами контроля достоверности данных являются: синтаксический, логический и ариф–метический.
1. Синтаксический контроль означает проверку правильности структуры документа, наличие необхо–димых и обязательных реквизитов, полноту заполне–ния строк формуляров в соответствии с установлен–ными правилами.
2. Логическим контролем проверяются правиль–ность записи кодов, соответствие их наименованиям и значениям показателей.
3. При арифметическом контроле сравниваются полученные итоги с предварительно подсчитанными контрольными суммами по строкам и по графам.
Таким образом, контроль достоверности стати–стической информации осуществляется на всех эта–пах проведения статистического наблюдения, начи–ная со сбора первичной информации и до этапа получения итогов.
Научно организованная обработка материа–лов статистического наблюдения по заранее раз–работанной программе включает в себя система–тизацию, группировку данных, составление таблиц, получение итогов и производных показателей (сред–них и относительных величин) и т. д. Собранный в про–цессе статистического наблюдения материал предста–вляет собой разрозненные первичные сведения об отдельных единицах изучаемого явления.
Сводка представляет собой комплекс последо–вательных действий по обобщению конкретных еди–ничных данных, образующих совокупность, с целью обнаружения типичных черт и закономерностей, при–сущих изучаемому явлению в целом.
Статистическая сводка в узком смысле слова (простая сводка) представляет собой операцию по подсчету общих итоговых (суммарных) данных по со–вокупности единиц наблюдения.
Статистическая сводка в широком смысле сло–ва (сложная сводка) включает в себя также группи–ровку данных наблюдения, подсчет общих и группо–вых итогов, получение системы взаимосвязанных показателей, представление результатов группиров–ки и сводки в виде статистических таблиц.
Правильная, научно организованная сводка, опи–раясь на предварительный глубокий теоретический анализ, позволяет получить все статистические итоги, отражающие важнейшие, характерные черты объекта исследования, измерить влияние различных факторов на результат и учесть все это в практической работе при составлении текущих и перспективных планов.
Задача сводки – дать характеристику объекту исследования с помощью систем статистических показателей, выявить и измерить таким путем его существенные черты и особенности. Эта задача решается на трех этапах:
1) определение групп и подгрупп;
2) определение системы показателей;
3) определение видов таблиц.
На первом этапе осуществляется систематиза–ция, группировка материалов, собранных при наблю–дении. На втором этапе уточняется предусмотренная планом система показателей, с помощью которых ко–личественно характеризуются свойства и особенности изучаемого предмета. На третьем этапе исчисляются сами показатели, и обобщенные данные для нагляд–ности и удобства представляются в таблицах, стати–стических рядах, графиках, диаграммах.
Программа статистической сводки содержит пе–речень групп, на которые целесообразно расчленить совокупность, их границы в соответствии с группиро-вочными признаками; систему показателей, характе–ризующих совокупность, и методику их расчета; си–стему макетов разработочных таблиц, в которых будут представлены итоги расчетов.
Наряду с программой существует план проведе–ния сводки, который предусматривает ее организа–цию. План проведения сводки должен содержать ука–зания о последовательности и сроках выполнения ее отдельных частей, об ответственных за ее выполне–ние, о порядке изложения результатов, а также пре–дусматривать координацию работы всех организа–ций, задействованных в ее проведении.
Статистические группировки – первый этап статистической сводки, позволяющий выделить из массы исходного статистического материала одно–родные группы единиц, обладающих общим сход–ством в качественном и количественном отношениях.
Группировка – расчленение общей совокупно–сти единиц по одному или нескольким существенным признакам на однородные группы, различающиеся между собой в качественном и количественном от–ношениях и позволяющие выделить социально-эко–номические типы, изучить структуру совокупности или проанализировать связи между отдельными признаками. Типологическая группировка – это разделение качественно разнородной исследуемой совокупности на однородные группы единиц в соот–ветствии с социально-экономическими типами.
Структурной группировкой называется группи–ровка, в которой происходит разделение однород–ной совокупности на группы, характеризующие ее структуру по какому-либо варьирующему признаку. Она построена по атрибутивному признаку. Интервалы групп могут быть замкнутыми и от–крытыми. Открытые интервалы применяются только для крайних групп. При группировке с неравными ин–тервалами желательно образование групп с замкну–тыми.
Одна из целей статистического наблюдения – выявление связей и зависимостей между обществен–ными явлениями. Важной задачей статистического анализа, проводимого на основе типологической груп–пировки, является изучение и измерение связи между отдельными признаками. Установить факт наличия та–кой связи позволяет аналитическая группировка.
Распространен прием статистического изуче–ния связей, которые обнаруживаются при параллель–ном сопоставлении обобщенных значений признаков по группам. Различают зависимые и факторные признаки.
Важная проблема аналитических группировок – правильный выбор числа групп и определение их границ, что обеспечивает объективность характеристик связи.
Непосредственная группировка данных стати–стического наблюдения – это первичная группиров–ка. Вторичная группировка – это перегруппировка ранее сгруппированных данных.
Существует два способа вторичной группировки:
1) объединение мелких групп в более крупные;
2) выделение определенной доли единиц совокупности.
Рядами распределения называются ряды чисел (цифр), характеризующие состав или структуру како–го-либо явления после группировки статистических данных об этом явлении. Ряд распределения – это группировка, в которой для характеристики групп применяется один показатель – численность группы.
Ряды, построенные по атрибутивному призна–ку, называют атрибутивными рядами. Приведен–ный ряд распределения содержит три элемента: разновидности атрибутивного признака; численно–сти единиц в каждой группе, называемые частотами ряда распределения; численности групп, выражен–ные в долях (процентах) от общей численности еди–ниц, называемые частостями.
Ряды распределения, построенные по количе–ственному признаку, называются вариационными рядами. Числовые значения количественного приз–нака в вариационном ряду распределения называ–ются вариантами и располагаются в определенной последовательности. Варианты могут выражаться числами положительными и отрицательными, аб–солютными и относительными. Вариационные ря–ды делятся на дискретные и интервальные.
Дискретные вариационные ряды характеризуют распределение единиц совокупности по дискретному признаку.
В случае непрерывной вариации величина приз–нака может принимать любые значения в определен–ном интервале.
Статистическая таблица – таблица, которая дает количественную характеристику статистической совокупности и представляет собой форму наглядного изложения полученных в результате статистической сводки и группировки числовых (цифровых) данных.
Подлежащее таблицы представляет ту статисти–ческую совокупность, о которой идет речь в таблице.
Сказуемое таблицы – это те показатели, с по–мощью которых дается характеристика явления, ото–бражаемого в таблице.
Если в подлежащем таблицы содержится простой перечень каких-либо объектов или территориальных еди–ниц, таблица называется простой. Если подлежащее простой таблицы содержит перечень территорий, то такая таблица называется территориальной.
Групповые таблицы в отличие от простых со–держат в подлежащем не простой перечень единиц объекта наблюдения, а их группировку по одному существенному признаку. Групповая таблица мо–жет быть более сложной, если в сказуемом приво–дится не только число единиц в каждой группе, но и ряд других важных показателей, количественно и качественно характеризующих группы подлежаще–го.
Комбинационными называются статистические таблицы, в подлежащем которых группы единиц, об–разованные по одному признаку, подразделяются на подгруппы по одному или нескольким признакам.
Наряду с перечисленными выше таблицами в статистической практике применяют таблицы со–пряженности (или таблицы частот). В основе по–строения таких таблиц лежит группировка единиц со–вокупности по двум или более признакам, которые называются уровнями.
Таблица частот называется одномерной, если в ней табулирована только одна перемен–ная. Таблица, в основе которой лежит группировка по двум признакам, называется таблицей с двумя входами. Таблицы частот, в которых табулируются значения двух или более признаков, называются таб–лицами сопряженности.
Основные правила построения статистических таблиц.
1. Статистическая таблица должна быть компакт–ной и отражать только те исходные данные, которые прямо отражают исследуемое социально-экономиче–ское явление в статике и динамике.
2. Заголовок статистической таблицы и название граф и строк должны быть четкими, краткими, лако–ничными. В заголовке должны быть отражены объект, признак, время и место совершения события.
3. Графы и строки следует нумеровать.
4. Графы и строки должны содержать единицы измерения, для которых существуют общепринятые сокращения.
5. Лучше всего располагать сопоставляемую в ходе анализа информацию в соседних графах.
6. Для удобства чтения и работы числа в стати–стической таблице следует проставлять в середине граф, строго одно под другим.
7. Числа целесообразно округлять с одинаковой степенью точности (до целого знака, до десятой до–ли).
8. Отсутствие данных обозначается знаком умно–жения, при отсутствии явления ставится знак тире (—).
9. Для отображения очень малых чисел использу–ют обозначение 0.0 или 0.00.
10. Если число получено на основании условных расчетов, то его берут в скобки, сомнительные числа сопровождают вопросительным знаком, а предвари–тельные – знаком «!».
Графиками в статистике называются условные изображения числовых величин и их соотношений в виде различных геометрических образов – точек, линий, плоских фигур и т. п.
Каждый график состоит из графического образа и вспомогательных элементов. Графический образ – это совокупность точек, линий и фигур, с помощью которых изображаются статистические данные. Вспо–могательные элементы графика включают общее наз–вание графика, оси координат, шкалы, числовые сет–ки и числовые данные, дополняющие и уточняющие изображаемые показатели.
Название графика должно кратко и точно ра–скрывать его содержание. Пояснительные тексты мо–гут располагаться в пределах графического образа или рядом с ним либо выноситься за его пределы.
Оси координат с нанесенными на них шкалами и числовые сетки необходимы для построения графи–ка и пользования им. Шкалы могут быть прямолиней–ными или криволинейными (круговыми), равномер–ными (линейными) и неравномерными.
Нередко целесообразно применять так называ–емые сопряженные шкалы, построенные на одной или двух параллельных линиях. Числа на шкалах проста–вляются равномерно, при этом последнее число дол–жно превышать максимальный уровень показателя, значение которого отсчитывается по этой шкале. Число–вая сетка, как правило, должна иметь базовую линию, роль которой обычно играет ось абсцисс.
Статистические графики можно классифи–цировать по разным признакам: назначению (содержанию), способу построения и характеру гра–фического образа.
По содержанию или назначению можно выде–лить:
1) графики сравнения в пространстве;
2) графики различных относительных величин;
3) графики вариационных рядов;
4) графики размещения по территории;
5) графики взаимосвязанных показателей и т. д.
По способу построения графики можно разде–лить на диаграммы и статистические карты. Стати–стические карты – графики количественного ра–спределения по поверхности. По своей основной цели они близко примыкают к диаграммам и пред–ставляют собой условные изображения статисти–ческих данных на контурной географической карте.
По характеру графического образа различают графики точечные, линейные, плоскостные и объе–мные. Статистические карты по графическому об–разу делятся на картограммы и картодиаграммы.
В зависимости от круга решаемых задач выделя–ются диаграммы сравнения, структурные диаграммы и диаграммы динамики.
Наиболее распространенными диаграммами сравнения являются столбиковые диаграммы. Каждый столбик изображает величину отдельного уровня исследуемого статистического ряда. При построении столбиковых диаграмм необходимо начертить систему прямоугольных координат, в которой располагаются столбики. На горизонталь–ной оси располагаются основания столбиков, ве–личина основания определяется произвольно, но устанавливается одинаковой для всех. Шкала, определяющая масштаб столбиков по высоте, расположена по вертикальной оси. Величина каж–дого столбика по вертикали соответствует разме–ру изображаемого на графике статистического показателя. У всех столбиков переменной величи–ной является только одно измерение. Размещение столбиков в поле графика может быть различным:
1) на одинаковом расстоянии друг от друга;
2) вплотную друг к другу;
3) в частном наложении друг на друга.
Разновидности столбиковых диаграмм соста–вляют так называемые ленточные (или полосовые) диаграммы. Масштабная шкала расположена по го–ризонтали сверху и определяет величину полос по длине. Столбиковые и полосовые диаграммы как при–ем графического изображения статистических дан–ных, по существу, взаимозаменяемы.
Разновидностью столбиковых (ленточных) диа–грамм являются направленные диаграммы. Они от–личаются от обычных двусторонним расположени–ем столбиков или полос и имеют начало отсчета по масштабу в середине. Анализ направленных диаграмм позволяет делать достаточно со–держательные выводы. К группе двусторонних от–носятся диаграммы чистых отклонений. В них по–лосы направлены в обе стороны от вертикальной нулевой линии: вправо – для прироста, влево – для уменьшения.
Наиболее выразительным и легко воспринимае–мым является способ построения диаграмм сравнения в виде фигур-знаков. В этом случае статистические совокупности изображаются не геометрическими фи–гурами, а символами или знаками.
Важнейший признак любой диаграммы – масштаб. Поэтому чтобы правильно построить фигур–ную диаграмму, необходимо определить единицу счета. В качестве последней принимается отдель–ная фигура (символ), которой условно присваива–ется конкретное числовое значение. А исследуе–мая статистическая величина изображается отдельным количеством одинаковых по размеру фигур.
Основное строение структурных диаграмм за–ключается в графическом представлении состава ста–тистических совокупностей, характеризующихся как соотношение различных частей каждой из совокупно–стей. Состав статистической совокупности графиче–ски может быть представлен как с помощью абсолют–ных, так и относительных показателей.
Графическое изображение состава совокупно–сти по абсолютным и относительным показателям способствует проведению более глубокого анализа и позволяет проводить международные сопоставления и сравнения социально-экономических явлений.
Наиболее распространенным способом графи–ческого изображения структуры статистических сово–купностей является секторная диаграмма, которая считается основной формой диаграммы такого наз–начения. Удельный вес каждой части совокупности в секторной диаграмме характеризуется величиной центрального угла. Секторная диаграмма сохраняет наглядность и выразительность лишь при небольшом числе частей совокупности.
Для изображения и вынесения суждений о разви–тии явления во времени строятся диаграммы динамики. Для наглядного изображения явлений в рядах динами–ки используются диаграммы столбиковые, ленточные, квадратные, круговые, линейные, радиальные и др. Выбор вида диаграмм зависит в основном от особен–ностей исходных данных, цели исследования.
Когда число уровней в ряду динамики велико, це–лесообразно применять линейные диаграммы, кото–рые воспроизводят непрерывность процесса разви–тия в виде непрерывной ломаной линии.
Для построения линейных графиков применяют систему прямоугольных координат. Обычно по оси абсцисс откладывается время , а по оси ординат – размеры изображаемых явлений или процессов. На оси ординат наносят масштабы. Равным периодам времени и размерам уровня должны соответство–вать равные отрезки масштабной шкалы.
В статистической практике чаще всего применя–ются графические изображения с равномерными шкалами. По оси абсцисс они берутся пропорцио–нально числу периодов времени, а по оси ординат – пропорционально самим уровням. Масштабом равномерной шкалы будет длина отрезка, при–нятого за единицу.
Линейные диаграммы с линейной шкалой име–ют один недостаток, снижающий их познавательную ценность: равномерная шкала позволяет измерять и сравнивать только отраженные на диаграмме аб–солютные приросты или уменьшения показателей на протяжении исследуемого периода.
Основная идея полулогарифмической системы состоит в том, что в ней равным линейным отрезкам соответствуют равные значения логарифмов чисел.
Динамику изображают и радиальные диаграм–мы, строящиеся в полярных координатах. Радиаль–ные диаграммы преследуют цель наглядного изо–бражения определенного ритмического движения во времени. Радиальные диаграммы разделяются на замкнутые и спиральные. По технике построения ради–альные диаграммы отличаются друг от друга в зависи–мости от того, что взято в качестве пункта отсчета – центр круга или окружность. Замкнутые диаграммы отражают внутригодичный цикл динамики какого-ли–бо одного года. Спиральные диаграммы показывают внутригодичный цикл динамики за ряд лет.
Если же в качестве базы для отчета взять не центр круга, а окружность, такого рода диаграммы на–зываются спиральными. Построение спиральных диа–грамм отличается от замкнутых тем, что в них декабрь одного года соединяется не с январем данного же го–да, а с январем следующего года. Это дает возможность изобразить весь ряд динамики в виде спирали.
Статистические карты представляют собой вид графических изображений статистических данных на схематичной географической карте, характеризую–щих уровень или степень распространения того или иного явления на определенной территории. Сред–ствами изображения территориального размещения являются штриховка, фоновая раскраска или геоме–трические фигуры. Различают картограммы и карто–диаграммы.
Картограммы – это схематическая географи–ческая карта, на которой штриховкой различной гу–стоты, точками или окраской определенной степени насыщенности показывается сравнительная интен–сивность какого-либо показателя в пределах каждой единицы нанесенного на карту территориального де–ления. Картограммы делятся на фоновые и точечные.
Картограмма фоновая – вид картограммы, на которой штриховкой различной густоты или окраской определенной степени насыщенности показывают интенсивность какого-либо показателя в пределах территориальной единицы.
Картограмма точечная – вид картограммы, где уровень выбранного явления изображается с по–мощью точек. Точка изображает одну единицу в сово–купности или некоторое их количество, показывая на географической карте плотность или частоту про–явления определенного признака.
Фоновые картограммы, как правило, используют–ся для изображения средних или относительных пока–зателей, точечные – для объемных (количественных) показателей.
Вторую большую группу статистических карт составляют картодиаграммы, предста–вляющие собой сочетание диаграмм с географиче–ской картой. В качестве изобразительных знаков в картодиаграммах используются диаграммные фигу–ры, которые размещаются на контуре географической карты. Картодиаграммы дают возможность географи–чески отразить более сложные, чем картограммы статистико-географические построения. Среди карто–диаграмм следует выделить картодиаграммы простого сравнения, графики пространственного перемещения, изолинии.
На картодиаграмме простого сравнения в отли–чие от обычной диаграммы диаграммные фигуры, изображающие величины исследуемого показателя, расположены не в ряд, как на обычной диаграмме, а разносятся по всей карте в соответствии с тем райо–ном, областью или страной, которые они представля–ют. Элементы простейшей картодиаграммы можно обнаружить на политической карте, где города отли–чаются различными геометрическими фигурами в за–висимости от числа жителей.
Изолинии – это линии равного значения какой-либо величины в ее распространении на поверхности, в частности, на географической карте или графике. Изолиния отражает непрерывное изменение исследуемой величины в зависимости от двух других переменных и при–меняется при картографировании природных и социально-экономических явлений. Изолинии используются для полу–чения количественных характеристик исследуемых величин и для анализа корреляционных связей между ними.
Различают два вида показателей экономиче–ского и социального развития общества: плановые и отчетные. Плановые показатели представляют со–бой определенные конкретные значения показате–лей. Отчетные показатели характеризуют реально сложившиеся условия экономического и социально–го развития, фактически достигнутый за определен–ный период уровень.
Статистический (отчетный) показатель – это объективная количественная характеристика обще–ственного явления или процесса в его качественной определенности в конкретных условиях места и вре–мени. Каждый статистический показатель имеет каче–ственное социально-экономическое содержание и связанную с ним методологию измерения. Стати–стический показатель имеет также ту или иную стати–стическую форму (структуру).
Статистический показатель имеет определенное количественное значение или численное выражение. Это численное значение статистического показателя, выраженное в определенных единицах измерения, называется его величиной.
Величина показателя обычно варьируется в про–странстве и колеблется во времени.
Статистические показатели можно условно по–дразделить на первичные и вторичные.
Первичные характеризуют либо общее число единиц совокупности, либо сумму значений какого-либо их признака. По статистической форме эти пока–затели являются суммарными статистическими вели–чинами.
Вторичные (производные) показатели обычно вы–ражаются средними и относительными величинами.
Показатели, характеризующие размер слож–ного комплекса социально-экономических явле–ний и процессов, часто называют синтетическими.
В зависимости от применяемых единиц измере–ния различают показатели натуральные, стоимостные и трудовые. В зависимости от сферы применения раз–личают показатели, исчисленные на региональном, отраслевом уровнях и т. д. По точности отражаемого явления различают ожидаемые, предварительные и окончательные величины показателей.
В зависимости от объема и содержания объекта ста–тистического изучения различают индивидуальные и сводные показатели. Статистические величины, кото–рые характеризуют собой массы или совокупности еди–ниц, называются обобщающими статистическими пока–зателями (величинами). Обобщающие показатели играют очень важную роль в статистическом исследовании бла–годаря следующим отличительным особенностям:
1) дают сводную (концентрированную) характеристи–ку совокупностям единиц изучаемых обществен–ных явлений;
2) выражают существующие между явлениями связи, зависимости и обеспечивают таким образом вза–имосвязанное изучение явлений;
3) характеризуют происходящие в явлениях измене–ния, складывающиеся закономерности их развития и иное.
Построение и совершенствование статистиче–ских показателей должно основываться на соблюде–нии двух основных принципов:
1) объективности и реальности;
2) всесторонней теоретической и методологической обоснованности.
Абсолютные показатели являются количествен–ным выражением признаков статистических явлений.
Абсолютный показатель должен характеризовать размер изучаемого явления или процесса в данном месте и в данное время, он должен быть «привязан» к какому-нибудь объекту или территории и может ха–рактеризовать либо отдельную единицу совокупно–сти, либо группу единиц, представляющую часть ста–тистической совокупности, или статистическую совокупность в целом.
Индивидуальные величины – абсолютные величины, характеризующие размеры отдельных единиц совокупности. Они получаются непосред–ственно в процессе статистического наблюдения и фиксируются в первичных учетных документах.
Сводные величины – абсолютные величины, получаются путем суммирования отдельных индиви–дуальных величин. Сводные абсолютные показатели получают в результате сводки и группировки значений индивидуальных абсолютных показателей.
К абсолютным показателям также можно отне–сти показатели, которые получаются не в результате статистического наблюдения, а в результате какого-либо расчета. Как правило, данные показатели име–ют разностный характер и находятся как разность между двумя абсолютными показателями.
Абсолютные величины отражают естественную основу явлений. Они выражают либо численность единиц изучаемой совокупности, ее отдельных со–ставных частей, либо их абсолютные размеры в нату–ральных единицах, вытекающих из их физических свойств, или в единицах измерения, вытекающих из их экономических свойств. Следовательно, аб–солютные величины всегда имеют определен–ную размерность.
Кроме того, абсолютные статистические показа–тели всегда являются именованными числами.
Натуральные измерители характеризуют явле–ния в свойственной им натуральной форме и выража–ются в мерах длины, веса, объема и иного или количе–ством единиц, числом событий.
В ряде случаев используются комбинированные еди–ницы измерения, представляющие собой произведение двух величин, выраженных в различных размерностях.
В группу натуральных единиц измерения входят и так называемые условно-натуральные единицы измерения.
Трудовые единицы измерения используют для ха–рактеристики показателей, которые позволяют оце–нить затраты труда, отражают наличие, распределение и использование трудовых ресурсов.
Стоимостные единицы измерения дают стоимо–стную (денежную) оценку социально-экономическим явлениям, характеризуют стоимость определенной продукции или объема выполненных работ.
Наибольшее предпочтение в статистике отдает–ся стоимостным единицам измерения, так как стои–мостный учет является универсальным.
Абсолютные показатели могут быть рассчитаны во времени и пространстве.
При учете абсолютных показателей во времени их регистрация может быть осуществлена на опреде–ленную дату.
С точки зрения пространственной определенно–сти абсолютные показатели делят следующим обра–зом: общие территориальные, региональные и ло-
Относительные величины представляют собой обобщающие показатели, выражающие меру количе–ственных соотношений, присущих конкретным явле–ниям или статистическим объектам.
Относительные величины исчисляются как отно–шение двух чисел. При этом числитель называется сравниваемой величиной, а знаменатель – базой от–носительного сравнения. Относительные величины могут измеряться:
1) в коэффициентах;
2) в процентах;
3) в промилле;
4) в продецимилле;
5) в именованных числах.
По своему содержанию относительные величины подразделяются на следующие виды: выполнения до–говорных обязательств; динамики; структуры; коор–динации; интенсивности; сравнения.
Относительная величина договорных обяза–тельств представляет собой отношение фактического выполнения договора к уровню, предусмотренному договором.
Эта величина отражает степень выполнения предприятием своих договорных обязательств и может быть выражена в виде числа или в процентах.
Относительными величинами динамики – темпами роста – называются показатели, характери–зующие изменение величины общественных явлений во времени. Относительная величина динамики пока–зывает изменение однотипных явлений за период времени.
Относительная величина совокупности рас–считывается по формуле:

Относительные величины структуры, обычно назы–ваемые удельными весами, рассчитываются делением определенной части целого на общий итог, принимае–мый за 100%.
Относительными величинами интенсивности назы–ваются показатели, определяющие степень распро–страненности данного явления в какой-либо среде. От–носительные величины интенсивности находят широкое применение в практике статистики.
Относительные величины интенсивности исчисля–ются путем сопоставления разноименных абсолютных величин, находящихся в определенной связи друг с дру–гом, и являются обычно именованными числами и име–ют размерность тех абсолютных величин, соотношение которых они выражают. Тем не менее в ряде случаев, когда полученные результаты расчетов слишком ма–лы, их умножают для наглядности на 1000 или 10 000, получая характеристики в промилле и продецимилле.
Относительными величинами сравнения называ–ются относительные показатели, получающиеся в ре–зультате сравнения одноименных уровней, относящих–ся к различным объектам или территориям, взятым за один и тот же период или на один момент времени. Они также исчисляются в коэффициентах или процентах.
В статистическом изучении общественных явлений абсолютные и относительные величины дополняют друг друга.
Средние величины относятся к обобщающим статистическим показателям, которые дают сводную (итоговую) характеристику массовых общественных явлений, так как строятся на основе большого количе–ства индивидуальных значений варьирующего приз–нака.
Средняя величина отражает то общее, что харак–терно для всех единиц изучаемой совокупности. В то же время она уравновешивает влияние всех факто–ров, действующих на величину признака отдельных единиц совокупности, как бы взаимно погашая их.
Средняя величина отражает общее, характер–ное и типичное для всей совокупности благодаря вза–имопогашению в ней случайных, нетипичных разли–чий между признаками отдельных ее единиц.
Однако для того чтобы средняя величина отража–ла наиболее типичное значение признака, она должна определяться не для любых совокупностей, а только для совокупностей, состоящих из качественно одно–родных единиц. Это требование является основным условием научно обоснованного применения средних величин величин и предполагает тесную связь метода средних и метода группировок в анализе социально-экономических явлений.
Средняя величина – это обобщающий показа–тель, характеризующий типичный уровень варьи–рующего признака в расчете на единицу однородной совокупности в конкретных условиях места и времени.
Определяя таким образом сущность средних ве–личин, необходимо подчеркнуть, что правильное ис–числение любой средней величины предполагает выполнение следующих требований:
1) качественная однородность совокупности, по кото–рой исчислена средняя;
2) исключение влияния на исчисление сред–ней величины случайных, сугубо индивидуаль–ных причин и факторов;
3) при вычислении средней величины важно устано–вить цель ее расчета и так называемый определяю–щий показатель (свойство), на который она должна быть ориентирована. Связь между определяющим показателем и средней выражается в следующем: если все значения осредняемого признака заме–нить их средним значением, то сумма или произве–дение в этом случае не изменят определяющего показателя. На основе этой связи определяющего показателя со средней величиной строят исходное количественное отношение для непосредственно–го расчета средней величины. Способность сред–них величин сохранять свойства статистических совокупностей называют определяющим свой–ством.
Средняя, рассчитанная по совокупности в целом, называется общей средней, средние, исчисленные для каждой группы, – групповыми средними. Общая средняя отражает общие черты изучаемого явления, групповая средняя дает характеристику размера яв–ления, складывающуюся в конкретных условиях дан–ной группы.
Способы расчета могут быть разные, и в связи с этим в статистике различают несколько видов сред–ней величины, основными из которых являются сред–няя арифметическая, средняя гармоническая и сред–няя геометрическая.
В экономическом анализе использование сред–них величин является действенным инструментом для оценки результатов научно-технического прогресса, социальных мероприятий, изыскания скрытых и неис–пользуемых резервов развития экономики.
В статистике используют различные виды сред–них величин, которые делятся на два больших класса:
1) степенные средние (средняя гармоническая, сред–няя геометрическая, средняя арифметическая, средняя квадратическая, средняя кубическая);
2) структурные средние (мода, медиана).
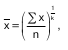
Самый распространенный вид средней – сред–няя арифметическая. Формула простой средней ариф–метической:

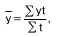
Средняя арифметическая взвешенная:

где xi– варианты осредняемого признака; f – частота, которая показывает, сколько раз встречается i-е значение в совокупности.
Формула простой средней гармонической:

где хi – отдельные варианты; n – число вариантов осредняемого признака. Средняя геометрическая простая рассчитывается по формуле:

Формула средней геометрической взвешенной:

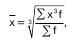
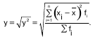
Формула средней квадратической:

Формула средней квадратической взвешенной:

Формула средней кубической:

Средняя кубическая взвешенная:

Все рассмотренные выше средние величины могут быть представлены в виде общей формулы:

где x – средняя величина;
х – индивидуальное значение; n – число единиц изучаемой совокупности; k – показатель степени, определяющий вид сред–ней.
Между величинами степенных средних существует закономерное соотношение:

Мода – величина признака, которая чаще всего встречается в данной совокупности. Применительно к вариационному ряду модой является наиболее часто встречающееся значение ранжированного ряда. Она показывает размер признака, свойственный значи–тельной части совокупности, и определяется по фор–муле:

где х0 – нижняя граница интервала;
h – величина интервала;
fm – частота интервала;
fm-1 – частота предшествующего интервала;
fm+1 – частота следующего интервала.
Медианой называется вариант, расположенный в центре ранжированного ряда. Медиана делит ряд на две равные части таким образом, что по обе стороны от нее находится одинаковое количество единиц со–вокупности. При этом у одной половины единиц сово–купности значение варьирующего признака меньше ме–дианы, у другой – больше.
Описательный характер медианы проявляется в том, что она характеризует количественную границу значений варьирующего признака, которыми облада–ет половина единиц совокупности.
При определении медианы в интервальных ва–риационных рядах сначала определяется интервал, в котором она находится (медианный интервал). Этот интервал характерен тем, что его накопленная сумма частот равна или превышает полусумму всех ча–стот ряда. Расчет медианы интервального ва–риационного ряда производится по формуле:

где х0 – нижняя граница интервала;
h – величина интервала;
fm – частота интервала;
f – число членов ряда;
∫m- 1 – сумма накопленных членов ряда, предше–ствующих данному.
Наряду с медианой для более полной характери–стики структуры изучаемой совокупности применяют и другие значения вариантов, занимающих в ранжи–рованном ряду вполне определенное положение. К ним относятся квартили и децили. Квартили делят ряд по сумме частот на четыре равные части, а деци-ли – на десять равных частей. Квартилей насчитыва–ется три, а децилей – девять.
Медиана и мода в отличие от средней арифмети–ческой не погашают индивидуальных различий в зна–чениях варьирующего признака и поэтому являются дополнительными и очень важными характеристика–ми статистической совокупности. На практике они ча–сто используются вместо средней либо наряду с ней. Особенно целесообразно вычислять медиану и моду в тех случаях, когда изучаемая совокупность содер–жит некоторое количество единиц с очень большим или очень малым значением варьирующего признака.
Вариационными называют ряды распределени построенные по количественному признаку. Значени количественных признаков у отдельных единиц сов купности непостоянны, более или менее различают между собой. Такое различие в величине признака н сит название вариации. Отдельные числовые значени признака, встречающиеся в изучаемой совокупност называют вариантами значений. Наличие вариаци у отдельных единиц совокупности обусловлено влияние большого числа факторов на формирование уровня при: нака.
Расположения всех вариантов значений признай в возрастающем или убывающем порядке. Процесс назь вают ранжированием ряда. Ранжированный ряд сра дает общее представление о значениях, которые прин мает признак в совокупности.
Для измерения вариации признака применяют различные абсолютные и относительные показател К абсолютным показателям вариации относятся средне линейное отклонение, размах вариации, дисперсия, сре нее квадратическое отклонение.
Среднее линейное отклонение представляет с бой среднюю арифметическую из абсолютных значени отклонений отдельных вариантов от их средней ариф метической:

Дисперсия ( σ2 ) – средняя из квадратов отклонений вариантов значений признака от их средней величины:

Среднее квадратическое отклонение ( σ ) пред–ставляет собой корень квадратный из дисперсии:

Относительные показатели колеблемости:

Коэффициент вариации – наиболее часто при–меняемый показатель относительной колеблемости, ха–рактеризующий однородность совокупности. Совокуп–ность считается однородной, если коэффициент вариации не превышает 33% для распределений, близ–ких к нормальному.
Статистическое наблюдение можно организо–вать как сплошное и несплошное. Сплошное предус–матривает обследование всех единиц изучаемой со–вокупности явления, несплошное – лишь ее части. К несплошному относится и выборочное наблюде–ние.
Целью выборочного наблюдения является полу–чение информации прежде всего для определения сводных обобщающих характеристик всей изучаемой совокупности. Соблюдение принципа позволяет по–лучить такую совокупность единиц, которая по инте–ресующим исследователя признакам представляет всю изучаемую совокупность, т. е. является репрезен–тативной (представительной).
При проведении выборочного наблюдения об–следуются не все единицы изучаемого объекта, а лишь ее некоторая часть, специальным образом отобранная. Первый принцип отбора – обеспечение случайности – заключается в том, что при отборе каждой из единиц изучаемой совокупности обеспечи–вается равная возможность попасть в выборку. Слу–чайный отбор можно обеспечить только при соблюде–нии определенной методики.
Второй принцип отбора – обеспечение доста–точного числа отобранных единиц – тесно связан с понятием репрезентативности выборки. Понятие репрезентативности отобранной совокупности еди–ниц не следует понимать как ее представительность во всех отношениях. Такое представительство обес–печить практически невозможно. Любое выборочное наблюдение проводится с определенной целью и четко сформулированными конкретными зада–чами, понятие репрезентативности должно быть связано с целью и задачами исследования. Отобран–ная из всей изучаемой совокупности часть должна быть репрезентативной прежде всего в отношении тех признаков, которые изучаются или оказывают су–щественное влияние на формирование сводных обоб–щающих характеристик.
Генеральной совокупностью называется вся изучаемая совокупность единиц, подлежащая изуче–нию по интересующим исследователя признакам. Выборочной совокупностью называется отобранная в случайном порядке из генеральной совокупности не–которая ее часть. Характеристиками генеральной и вы–борочной совокупностей могут служить средние зна–чения изучаемых признаков, их дисперсии и средние квадратические отклонения, мода и медиана и др.
Суть выборочного метода состоит в получении первичных данных, осуществляемых наблюдением выборки с последующим обобщением, анализом и их распространением на всю генеральную совокупность с целью получения достоверной информации об ис–следуемом явлении.
Репрезентативность выборки обеспечивается соблюдением принципа случайности отбора объектов совокупности в выборку.
Цель выборочного метода – сделать вывод о значении признаков генеральной совокупности на основе информации от случайной выборки из этой со–вокупности.
Между признаками выборочной совокупности и признаками генеральной совокупности существует некоторое расхождение, которое называют ошибкой статистического наблюдения. Величина возможной ошибки выборочного признака слагается из ошибок регистрации и ошибок репрезентативности.
Под ошибкой репрезентативности (представи–тельства) понимают расхождение между выборочной характеристикой и предполагаемой характеристикой генеральной совокупности. Ошибки репрезентатив–ности бывают случайными и систематическими.
Систематические ошибки связаны с нарушени–ем установленных правил отбора. Случайные ошибки объясняются недостаточно равномерным представлением в выборочной совокупности раз–личных категорий единиц генеральной совокупно–сти. В результате первой причины выборка легко может оказаться смещенной, так как при отборе каждой единицы допускается ошибка, всегда напра–вленная в одну и ту же сторону. Эта ошибка получи–ла название ошибки смещения. Ее размер может превышать величину случайной ошибки. Особен–ность ошибки смещения состоит в том, что, пред–ставляя собой постоянную часть ошибки репре–зентативности, она увеличивается с увеличением объема выборки. Случайная же ошибка с увеличени–ем объема выборки уменьшается.
Ошибки смещения бывают преднамеренными и непреднамеренными. Причиной возникновения преднамеренной ошибки является тенденциозный подход к выбору единиц из генеральной сово–купности.
Случайная ошибка выборки возникает в результа–те случайных различий между единицами, попавшими в выборку, и единицами генеральной совокупности. Теоретическим обоснованием появления случайных ошибок выборки являются теория вероятностей и ее предельные теоремы.
Предельные теоремы теории вероятностей по–зволяют определять размер случайных ошибок вы–борки. Различают среднюю (стандартную) и предель–ную ошибки выборки. Под средней (стандартной) ошибкой выборки понимают расхождение между средней выборочной и генеральной совокупностями. Предельной ошибкой выборки принято считать мак–симально возможное расхождение.
В математической теории выборочного метода сравниваются средние характеристики признаков вы–борочной и генеральной совокупностей и доказывает–ся, что с увеличением объема выборки вероятность появления больших ошибок и пределы максимально возможной ошибки уменьшаются.
Интервал, в который с данной степенью вероят–ности будет заключена неизвестная величина оцени–ваемого параметра, называют доверительным, а ве–роятность Р – доверительной вероятностью.
Наряду с абсолютной величиной предельной ошибки выборки рассчитывается и относительная ошибка выборки, которая определяется как процентное отношение предельной ошибки выборки к соответ–ствующей характеристике выборочной совокупности.
Средняя (стандартная) ошибка выборки зависит от объема выборки и степени вариации признака в ге–неральной совокупности.
Одним из научных принципов в теории выбороч–ного метода является обеспечение достаточного чи–сла отобранных единиц.
Уменьшение стандартной ошибки выборки всег–да связано с увеличением объема выборки. Расчет необходимого объема выборки строится с помощью формул, выведенных из формул предельных ошибок выборки ( Δ ) , соответствующих тому или иному ви–ду и способу отбора. Так, для случайного повторного объема выборки (n) имеем:

откуда

При случайном повторном отборе необходимой численности объем выборки прямо пропорционален квадрату коэффициента доверия и дисперсии вариа–ционного признака и обратно пропорционален ква–драту предельной ошибки выборки. В частности, с увеличением предельной ошибки в 2 раза необхо–димая численность выборки может быть уменьшена в 4 раза. Из трех параметров два (коэффициент дове–рия и предельная ошибка выборке) задаются иссле–дователем. При этом исследователь исходя из цели и задач выборочного обследования должен решить вопрос, в каком количественном сочетании луч–ше включить эти параметры для обеспечения оп–тимального варианта. В одном случае его может устраивать в большей мере надежность полученных ре–зультатов (t), нежели мера точности ( Д ), в другом – наоборот. Сложнее решить вопрос в отношении вели–чины предельной ошибки выборки, так как этим пока–зателем исследователь на стадии проектировки вы–борочного наблюдения не располагает. В практике принято задавать величину предельной ошибки вы–борки в пределах до 10% предполагаемого среднего уровня признака. К установлению предполагаемого среднего уровня можно подходить по-разному: ис–пользовать данные подобных ранее проведенных об–следований или же воспользоваться данными основы выборки и произвести небольшую пробную выборку.
При проектировании выборочного наблюдения предполагаются заранее заданная величина допу–стимой ошибки выборки в соответствии с задачами конкретного исследования и вероятность выводов по результатам наблюдения.
В целом формула предельной ошибки выбороч–ной средней позволяет решать следующие задачи:
1) определять величину возможных отклонений пока–зателей генеральной совокупности от показателей выборочной совокупности;
2) определять необходимую численность выборки, обеспечивающую требуемую точность, при кото–рой пределы возможной ошибки не превысят неко–торой, наперед заданной величины;
3) определять вероятность того, что в проведенной выборке ошибка будет иметь заданный предел.
В теории выборочного метода разработаны раз–личные способы отбора и виды выборки, обеспечи–вающие репрезентативность. Под способом отбора понимают порядок отбора единиц из генеральной со–вокупности. Различают два способа отбора: повтор–ный и бесповторный. При повторном отборе каждая отобранная в случайном порядке единица после ее об–следования возвращается в генеральную совокуп–ность и при последующем отборе может снова попасть в выборку. Этот способ отбора построен по схеме «возвращенного шара». При таком способе отбора ве–роятность попасть в выборку для каждой единицы ге–неральной совокупности не меняется независимо от числа отбираемых единиц. При бесповторном отборе каждая единица, отобранная в случайном порядке, по–сле ее обследования в генеральную совокупность не возвращается. Этот способ отбора построен по схеме «невозвращенного шара». Вероятность попасть в вы–борку для каждой единицы генеральной совокупности увеличивается по мере производства отбора.
Генеральная совокупность – вся изучаемая выбо–рочными методами статистическая совокупность объектов и/или явлений общественной жизни, имею–щих общие качественный признаки или количествен–ные перемены.
Выборочная совокупность – часть объектов из ге–неральной совокупности, отобранных для изучениия, с тем чтобы сделать заключение о всей генеральной совокупности. Для того чтобы заключение, полученное путем изучения выборки, можно было распространить на всю генеральную совокупность, выборка должна обладать свойством репрезентативности.
В зависимости от методики формирования вы–борочной совокупности различают следующие основ–ные виды выборки: собственно случайная, механическая, типическая (стратифицированная, районированная), се–рийная (гнездовая), комбинированная, многоступенчатая, многофазная, взаимопроникающая.
Выборка называется собственно случайной, если при извлечении выборки объема все возможные комбинации из элементов, которые могут быть получены из генеральной совокупности объема, имеют равную вероятность быть извлеченными.
Собственно случайная выборка формируется в строгом соответствии с научными принципами и правилами случайного отбора. Для получения соб–ственно случайной выборки генеральная совокуп–ность строго подразделяется на единицы отбора, и затем в случайном повторном или бесповторном по–рядке отбирается достаточное число единиц. Случай–ный порядок – это порядок, равносильный жеребьев–ке. На практике такой порядок лучшим образом обеспечивается при использовании специальных та–блиц случайных чисел.
При бесповторном способе отбора расчет стан–дартной ошибки осуществляется с помощью формулы:

—доля единиц генеральной совокупно–сти, не попавших в выборку.
Формировать выборку в строгом соответствии с правилами случайного отбора практически очень сложно, а иногда невозможно, так как при использо–вании таблиц случайных чисел необходимо пронуме–ровать все единицы генеральной совокупности.
При чисто механической выборке вся ге–неральная совокупность единиц должна быть прежде всего представлена в виде списка единиц отбора, со–ставленного в каком-то нейтральном по отношению к изучаемому признаку порядке. Затем список единиц отбора разбивается на столько равных частей, сколь–ко необходимо отобрать единиц. Далее по заранее установленному правилу, не связанному с вариацией исследуемого признака, из каждой части списка отби–рается одна единица. Этот вид выборки не всегда мо–жет обеспечить случайный характер отбора, и получен–ная выборка может оказаться смещенной. Объясняется это тем, что, во-первых, упорядочение единиц генеральной совокупности может иметь эл–емент неслучайного характера. Во-вторых, отбор из каждой части генеральной совокупности при непра–вильном установлении начала отсчета может также привести к ошибке смещения. Типическая (райониро–ванная, стратифицированная) выборка преследует две цели:
1) обеспечить представительство в выборке соответ–ствующих типических групп генеральной совокуп–ности по интересующим исследователя признакам;
2) увеличить точность результатов выборочного об–следования.
При типической выборке до начала ее формиро–вания генеральная совокупность единиц разбивается на типические группы. При этом очень важным момен–том является правильный выбор группировочного признака. Выделенные типические группы могут со–держать одинаковое или различное число единиц от–бора. В первом случае выборочная совокупность фор–мируется с одинаковой долей отбора из каждой группы, во втором – с долей, пропорциональной ее доле в генеральной совокупности. Если вы–борка формируется с равной долей отбора, по суще–ству она равносильна ряду собственно случайных вы–борок из меньших генеральных совокупностей, каждая из которых и есть типическая группа. Отбор из каждой группы осуществляется в случайном (повторном или бесповторном) либо механическом порядке. При ти–пической выборке удается устранить влияние меж–групповой вариации изучаемого признака на точность ее результатов, так как обеспечивается обязательное представительство в выборочной совокупности каж–дой из типических групп. Стандартная ошибка выбор–ки будет зависеть от величины средней из групповых дисперсий.
Поскольку средняя из групповых дисперсий всег–да меньше общей дисперсии, постольку при прочих равных условиях стандартная ошибка типической вы–борки будет меньше стандартной ошибки собственно случайной выборки.
При определении стандартных ошибок типиче–ской выборки применяются следующие формулы:
1) при повторном способе отбора:

2) при бесповторном способе отбора:

– средняя из групповых дисперсий в выбороч–ной совокупности
Серийная (гнездовая) выборка – это такой вид формирования выборочной совокупности, когда в случайном порядке отбираются не единицы, подле–жащие обследованию, а группы единиц (серии, гнез–да). Внутри отобранных серий (гнезд) обследованию подвергаются все единицы. Серийную выборку практи–чески организовать и провести легче, чем отбор от–дельных единиц. Однако при этом виде выборки, во-первых, не обеспечивается представительство каждой из серий, и, во-вторых, не устраняется влия–ние межсерийной вариации изучаемого признака на результаты обследования. В том случае, когда эта ва–риация значительна, она приведет к увеличению слу–чайной ошибки репрезентативности. При выборе ви–да выборки исследователю необходимо учитывать это обстоятельство.
Стандартная ошибка серийной выборки опреде–ляется по формулам:
1) при повторном способе отбора:

– межсерийная дисперсия выборочной совокупности;
r – число отобранных серий;
2) при бесповторном способе отбора:

где R – число серий в генеральной совокупности.
В практике те или иные способы и виды вы–борок применяются в зависимости от цели и за–дач выборочных обследований, а также возможно–стей их организации и проведения. Чаще всего применяется комбинирование способов отбора и ви–дов выборки. Такие выборки получили название ком–бинированных. Комбинирование возможно в разных сочетаниях: механической и серийной выборки, типи–ческой и механической, серийной и собственно-слу–чайной и т. д. К комбинированной выборке прибегают с целью обеспечить наибольшую репрезентативность с наименьшими трудовыми и денежными затратами на организацию и проведение обследования.
При комбинированной выборке величина стан–дартной ошибки выборки состоит из ошибок на каж–дой ее ступени и может быть определена как корень квадратный из суммы квадратов ошибок соответ–ствующих выборок. Так, если при комбинированной выборке в сочетании использовались механическая и типическая выборки, то стандартную ошибку можно определить по формуле:

где μ1 и μ2 – стандартные ошибки соответ–ственно механической и типической выборок.
Особенность многоступенчатой выборки со–стоит в том, что выборочная совокупность формиру–ется постепенно, по ступеням отбора. На первой ступени с помощью заранее определенного спосо–ба и вида отбора отбираются единицы первой ступе–ни. На второй ступени из каждой единицы первой сту–пени, попавшей в выборку, отбираются единицы второй ступени и т. д. Число ступеней может быть и более двух. На последней ступени формируется выбо–рочная совокупность, единицы которой подлежат об–следованию.
Выборочная совокупность формируется на по–следней ступени. Многоступенчатая выборка более гибкая, чем другие виды. Однако она имеет одно важ–ное преимущество: основу выборки при многоступен–чатом отборе нужно строить на каждой из ступеней только для тех единиц, которые попали в выборку, а это очень важно, так как нередко готовой основы вы–борки нет.
Стандартную ошибку выборки при многоступен–чатом отборе при группах разных объемов определя–ют по формуле:
где μ1, μ2 , μ3 ,... – стандартные ошибки на разных ступенях;

где n1, n2 , n3 ,... – численность выборок на соот–ветствующих ступенях отбора. Многофазная выборка состоит в том, что на ос–нове первоначально сформированной выборочной со–вокупности образуют подвыборку, из этой подвыборки – следующую подвыборку и т. д. Первоначальная выборочная совокупность представляет собой первую фазу, подвыборка из нее – вторую и т. д.
Одним из несомненных достоинств многофазной выборки является то обстоятельство, что сведениями, полученными на первой фазе, можно пользоваться как дополнительной информацией на последующих фа–зах, информацией второй фазы – как дополнитель–ной информацией на следующих фазах и т. д.
При организации многофазной выборки можно при–менять сочетание различных способов и видов отбора.
Взаимопроникающие выборки – это две или более независимые выборки из одной и той же гене–ральной совокупности, образованные одним и тем же способом и видом. К взаимопроникающим выборкам целесообразно прибегать, если необходимо за корот–кий срок получить предварительные итоги выбороч–ных обследований. Взаимопроникающие выборки эф–фективны для оценки результатов обследования. Если в независимых выборках результаты одинаковы, то это свидетельствует о надежности данных выборочно–го обследования.
Предельные ошибки при различных способах от–бора и видах выборки определяются по формуле:
Δ= tμ;
где μ – соответствующая стандартная ошибка.
Индекс (лат. Index) – это относительная величи–на, показывающая, во сколько раз уровень изучаемого явления в данных условиях отличается от уровня того же явления в других условиях. Различие условий мо–жет проявляться во времени, в пространстве и в выбо–ре в качестве базы сравнения какого-либо условного уровня.
По охвату элементов совокупности различают индексы индивидуальные и сводные, которые делятся на общие и групповые.
Индивидуальные индексы – это результат сравнения двух показателей, относящихся к одному объекту. В статистико-экономическом анализе дея–тельности предприятий и отраслей широко применя–ются индивидуальные индексы качественных и коли–чественных показателей. Определяются по формуле:

Индекс цен характеризует относительное изме–нение уровня цены единицы каждого вида продукции в отчетном периоде по сравнению с базисным и являет–ся качественным показателем.
Индекс физического объема определяется по формуле:

Сводный индекс характеризует соотношение уровней нескольких элементов совокупности. Если изучаемая совокупность состоит из нескольких групп, то сводные индексы, каждый из которых характеризует изменение уровней отдельной группы единиц, являются групповыми (субиндексами), а свод–ный индекс, охватывающий всю совокупность единиц, – общим (тотальным) индексом. Сводные индексы выра–жают соотношение сложных социально-экономических явлений и состоят из двух частей:
1) из индексируемой величины;
2) из соизмерителя, который называется весом.
Показатель, изменение которого характеризует ин–декс, называется индексируемым. Индексируемые пока–затели могут быть двоякого рода. Одни из них измеряют общий, суммарный размер (объем) того или иного явле–ния и условно называются объемными, экстенсивными. Эти показатели получаются как итог непосредственного подсчета или суммирования и являются исходными, первичными.
Другие показатели измеряют уровень явления или признака в расчете на ту или иную единицу совокупно–сти и условно называются качественными, интенсив–ными: выработка продукции в единицу времени (или на одного работника), затраты рабочего времени на единицу продукции, себестоимость единицы продукции и т. д. Эти показатели получаются путем деления объемных пока–зателей, т. е. носят расчетный, вторичный характер. Они измеряют интенсивность, эффективность явления или процесса и, как правило, являются либо средними, ли–бо относительными величинами.
При использовании индексного метода применя–ется определенная символика, т. е. система условных обозначений. Каждый индексируемый показатель обоз–начается определенной буквой (обычно латинской).
Индивидуальные индексы являются обычными от–носительными величинами, т. е. могут быть названы индексами только в широком понимании этого терми–на.
Индексы в узком смысле, или собственно индек–сы, – это тоже показатели относительные, но особого рода. Они имеют более сложную методику построения и расчета, а специфические приемы их построения и составляют суть индексного метода.
Социально-экономические явления и характери–зующие их показатели могут быть соизмеримыми. Так, объемы продукции или товаров одного и того же вида и сорта, произведенных на разных предприятиях или проданных в разных магазинах, соизмеримы и могут суммироваться, а объемы разных видов про–дукции или товаров несоизмеримы и непосредствен–но суммироваться не могут.
Сводный индекс цен нельзя построить как отно–шение простых сумм:

Первая особенность индексного метода и соб–ственно индексов состоит в том, что индексируемый показатель рассматривается во взаимосвязи с дру–гими показателями.
Умножая индексируемый показатель на другой, связанный с ним, мы сводим различные явления к их единству, обеспечиваем их количественную сравнимость и учитываем их вес в реальном эко–номическом процессе. Поэтому показатели-сомно–жители, связанные с индексируемыми показателями, принято называть весами индексов, а умножение на них – взвешиванием.
Элиминирование влияния изменения весов пу–тем их фиксирования в числителе и знаменателе ин–декса на одном и том же уровне – вторая особен–ность индексов и индексного метода.
Рассматривая проблемы, возникающие при по–строении собственно индексов, ставили задачу дать сравнительную характеристику уровней сложно–го явления, состоящего из разнородных элементов (разные виды продукции и т. п.). Так, Ip должен пока–зать, как изменился в целом уровень цен, т. е. измерить динамику цен различных товаров в виде одного обоб–щающего показателя. Исторически собственно индек–сы появились как результат решения именно этой эко–номической задачи – задачи обобщения, синтеза динамики отдельных элементов сложного явления в одном обобщающем показателе – сводном индексе.
Таким образом, собственно индекс – это отно–сительный показатель особого рода, в котором уров–ни социально-экономического явления рассматрива–ются в связи с другим (или другими) явлением, изменение которого при этом элиминируется. Пока–затели, связанные с индексируемым показателем, используются в качестве весов индекса, а взвешива–ние и элиминирование изменения весов (фиксирова–ние в числителе и знаменателе индекса на одном и том же уровне) составляют специфику собственно индексов и индексного метода.
Каждый качественный показатель связан с тем или иным объемным показателем, в расчете на едини–цу измерения которого он исчисляется (или к единице измерения которого относится).
Сводные индексы качественных показателей должны характеризовать не их изменение вообще применительно к какому-либо произвольному набору товаров или продукции, а изменение цен, себестои–мости, трудоемкости или удельных расходов вполне определенного количества произведенной продукции или проданных товаров. Это и достигается путем взвешивания – умножения уровней индексируемого качественного показателя на значение связанного с ним объемного показателя (веса) – и фиксирова–ния весов в числителе и знаменателе индекса на од–ном и том же уровне. Сопоставление сумм таких про–изведений дает агрегатный индекс. Аналогично могут быть построены агрегатные индексы динамики себе–стоимости и трудоемкости единицы продукции, а так–же индекс удельного расхода сырья или материала.
Основной проблемой при построении этих свод–ных индексов является экономически обоснованный выбор уровня, на котором нужно зафиксировать веса индекса, т. е. в данном случае объем продукции (или товаров) – Q.
Обычно перед сводным индексом динамики ка–чественного показателя ставится задача измерить не только относительное изменение уровня, но и абсо–лютную величину того экономического эффекта, кото–рый получен в текущем периоде в результате этого из–менения: сумму экономии покупателей за счет снижения цен, сумму экономии за счет измене–ния себестоимости и т. п.
Такая постановка задачи приводит к индексам ди–намики качественных показателей с весами текущего периода. Во-первых, исследователя интересует изме–нение себестоимости или трудоемкости той продук–ции, которая выпущена в настоящее время, а не в про–шлом; во-вторых, экономический эффект должен быть увязан с фактическими результатами текущего, отчет–ного, а не предыдущего (базисного) периода.
Взвешивание по весам отчетного (текущего) пе–риода увязывает индекс качественного показателя с показателем экономического эффекта, который по–лучен за счет изменения индексируемого показателя. Поэтому агрегатные индексы динамики каче–ственных показателей строятся и вычисляются обычно с весами отчетного периода:

В этих индексах разность между числителем и знаменателем характеризует: в первом случае – уменьшение либо увеличение затрат на приобретение одного и того же набора товаров в зависимости от знака разности; во втором случае – увеличение или уменьшение расхода материалов на производство одного и того же объема продукции.
Объемные показатели могут быть соизмеримыми (объем продукции или товаров одного вида) и несоиз–меримыми (объем продукции или товаров разного вида – Q). Соизмеримые объемные показатели могут непосредственно суммироваться, и построение агре–гатных индексов не вызывает трудностей.
Для получения общего итога и построения агре–гатного индекса несоизмеримого объемного показа–теля нужно предварительно соизмерить отдельные значения этого показателя. Исходя из экономической сущности явления нужно найти общую меру и исполь–зовать ее в качестве коэффициента соизмерения. Такой общей мерой для объемных показателей являются связанные с ними качественные показатели.
В практике экономической и статистической работы в качестве весов агрегатного индекса объема продукции обычно используются цены. Так строятся индексы объема промышленной и сельскохозяй–ственной продукции, а также индексы физического объема товарооборота.
В ряде случаев изменение объема продукции интересует нас не само по себе, а с точки зрения его влияния на изменение показателя более сложного порядка – общей стоимости продукции, общей ее себестоимости, общих затрат рабочего времени, об–щего объема производства на данном его участке и т. п. В таких случаях выбор весов-соизмерителей определяется взаимосвязью показателей-факторов, от которых зависит более сложный показатель.
Чтобы индекс отражал только изменение индек–сируемого объемного показателя, веса в его числите–ле и знаменателе фиксируются на уровне одного и того же периода. В практике экономической работы в индексах динамики объемных показателей веса обычно фиксируются на уровне базисного пе–риода. Это обеспечивает возможность построения систем взаимосвязанных индексов.
Для индивидуальных объемных показателей веса выбираются на уровне базисного периода.
В отличие от индексов качественных показате–лей, которые исчисляются по сравнимому кругу еди–ниц, сводные индексы объемных показателей в целях полноты и точности должны охватывать весь круг еди–ниц, произведенных (или проданных) в каждом перио–де. В связи с этим возникает вопрос о том, какие зна–чения весов следует брать для тех видов продукции, которые в одном из сравниваемых периодов не про–изводились.
В практике статистики в таких случаях применя–ется два способа. При расчете индексов объема про–мышленной продукции новые ее виды, для которых нет цен базисного периода, оцениваются условно по ценам текущего периода. При расчете же индексов объема проданных товаров используется метод, ос–нованный на условном предположении, что цены на новые товары изменились в той же степени, что и це–ны на сравниваемый круг аналогичных товаров.
При изучении динамики экономических явл* ний строятся и исчисляются индексы за ряд последов тельных периодов. Они образуют ряды либо бази ных, либо цепных индексов. В ряду базисных индексе сравнение индексируемого показателя в каждом и дексе производится с уровнем одного и того же п риода, а в ряду цепных индексов индексируемы показатель сопоставляется с уровнем предыдущего п риода.
В каждом отдельном индексе веса в его числител и знаменателе обязательно фиксируются на одном том же уровне. Если же строится ряд индексов, то вес в нем могут быть либо постоянными для всех индексо ряда, либо переменными.
Ряд базисных индексов объема продукции:

Постоянные веса (р0 ) имеет и ряд цепных индесов:

Ряд цепных индексов цен:

Для индексов динамики с постоянными ве–сами имеет силу взаимосвязь между цепными и базисными темпами роста (индексами):

Использование постоянных весов в течение ряда лет позволяет переходить от цепных индексов к базисным, и наоборот. Поэтому ряды индексов объема продукции и объема проданных товаров строятся в статистической практике с постоянными весами. Так, в индексах объема продукции в качестве постоянных весов используются це–ны, зафиксированные на уровне, который был установлен на 1 января какого-либо базисного года. Такие цены, ис–пользуемые в течение ряда лет, называются сопостави–мыми (фиксированными).
Использование в индексах объема продукции (това–ров) сопоставимых цен позволяет путем простого сумми–рования получать итоги за несколько лет. Сопоставимые цены не должны сильно отличаться от действующих (теку–щих). Чтобы иметь возможность исчислять индексы объе–ма продукции за длительные периоды, в течение которых применялись различные сопоставимые цены, продукцию одного года оценивают как в прежних, так и в новых фик–сированных ценах. Индекс за длительный период исчи–сляют цепным методом.
При построении территориальных индексов, т. е. при сравнении показателей в пространстве (меж–районные, сравнение между разными предприятиями и др.), возникают вопросы о выборе базы сравнения и района (объекта), на уровне которого следует зафик–сировать веса индекса. В каждом конкретном случае эти вопросы нужно решать исходя из задач исследо–вания. Выбор базы сравнения зависит, в частности, от того, будут ли сравнения двусторонними (напри–мер, сравнение показателей двух соседних террито–риальных единиц) или многосторонними (сравнение показателей нескольких территорий, объектов).
При двусторонних сравнениях каждая террито–рия или объект с одинаковым основанием могут быть приняты как в качестве сравниваемого, так и в каче–стве базы сравнения. В связи с этим возникает вопрос о фиксировании весов сводного индекса на уровне того или иного района (объекта). Пусть, например, нужно определить, в какой из двух областей и на сколько процентов ниже себестоимость единицы про–дукции и больше объем ее производства.
Если сравнивать область А с областью Б, доста–точно обоснованный и простой путь состоит в том, чтобы зафиксировать в индексе себестоимости в ка–честве весов объемы продукции в целом по обеим территориям ( Q = QA + QB ), тогда получается:

При многосторонних сравнениях, напри–мер при сравнениях качественных показателей по нескольким областям, нужно, соответственно, рас–ширить и границы территории, на уровне которой фик–сируются веса.
В сводных территориальных индексах объемных показателей в качестве весов могут быть приняты сред–ние уровни соответствующих качественных показате–лей, вычисленные в целом по сравниваемым террито–риям.
В зависимости от методологии расчета индивиду–альных и сводных индексов различают средние ариф–метические и средние гармонические индексы. Други–ми словами, общий индекс, построенный на базе индивидуального индекса, принимает форму среднего арифметического или гармонического индекса.
Идея построения сводного индекса в виде средней величины из индивидуальных (групповых) индексов вполне естественна, ведь сводный индекс является об–щей мерой, характеризующей среднюю величину изме–нения индексируемого показателя, и его величина дол–жна зависеть от величин индивидуальных индексов. А критерием правильности построения сводного ин–декса в форме средней величины (среднего индекса) является его тождественность агрегатному индексу.
Преобразование агрегатного индекса в сред–ний из индивидуальных (групповых) индексов произ–водится следующим образом: либо в числителе, либо в знаменателе агрегатного индекса индек–сируемый показатель заменяется его выражени–ем через соответствующий индивидуальный ин–декс. Если такую замену сделать в числителе, то агрегатный индекс будет преобразован в средний арифметический, если же в знаменателе – то в сред–ний гармонический из индивидуальных индексов.
Формула свободного индекса:

Средний арифметический индекс физического объема, где весами служит стоимость отдельных ви–дов продукции в базисном периоде.
В наличии имеется информация о динамике объема выпуска каждого вида продукции (iq) и стои–мости каждого вида продукции в отчетном пе–риоде (p1q1). Для определения общего измене–ния выпуска продукции предприятия в этом случае удобно воспользоваться формулой Пааше:

Числитель формулы можно получить суммирова–нием величин p1q1 , а знаменатель – делением факти–ческой стоимости каждого вида продукции на соот–ветствующий индивидуальный индекс физического объема продукции, т. е. делением p1q1 / iq , тогда:

Таким образом получаем формулу среднего взвешенного гармонического индекса физического объема.
Применение той или иной формулы индекса фи–зического объема (агрегатного, среднего арифмети–ческого и среднего гармонического) зависит от имею–щейся в распоряжении информации. Также нужно иметь в виду, что агрегатный индекс может быть преобразо–ван и рассчитан как средний из индивидуальных ин–дексов только при совпадении перечня видов продук–ции или товаров (их ассортимента) в отчетном и базис–ном периодах.
1. Предмет статистики – это сбор и обработка экономических показателей, позволяющих произво–дить анализ экономической деятельности предприя–тий различных типов и отраслей.
Сбор статистической информации по заказам конкретных потребителей осуществляется в рамках отраслевой статистики.
Вся информация разделена на два потока:
1) основные результаты всей экономической дея–тельности малых предприятий независимо от их отраслевой принадлежности;
2) статистические показатели производства продук–ции или оказания услуг на малых предприятиях от–дельных отраслей, включая производство продук–ции в натуральном выражении. Проводится также работа по подготовке базовых показателей для статистики крупных и средних предприятий.
Направлениями анализа деятельности крупных и средних предприятий, определяющими состав со–бираемой в рамках статистики предприятий инфор–мации, являются:
1) эффективность экономической деятельности предприятия, соотношение результатов и затрат;
2) финансовое и имущественное положение пред–приятий;
3) инвестиционная и деловая активность предприятий;
4) структурная и демографическая характеристика предприятий.
Этапы работы по определению состава основных экономических показателей:
1) инвентаризация и анализ действующей отрасле–вой отчетности с точки зрения состава показателей, методологии их формирования, сроков пред–ставления, круга отчитывающихся единиц и т. п.;
2) формирование основных экономических показателей микроуровня с учетом общей структуры принципиальной схемы анализа социально-экономического развития России и состава отдельных специальных блоков;
3) сопоставление перечня показателей с имеющими–ся в действующей отчетности статистическими по–казателями;
4) разработка форм статистической отчетности для крупных и средних предприятий;
5) подготовка предложений по пересмотру форм ста–тистической отраслевой отчетности.
Отраслевая отчетность действует в части произ–водства продукции. Она охватывает вопросы учета продукции в стоимостном и натуральном выражении со всеми ее расчетами и отражает специфику работы предприятий конкретной отрасли.
Интегрированные формы отчетности помогают устранить повторяемость статистических показателей, снизить информационную нагрузку на предприятие.
2. Форма структурного обследования пред–приятий – это один из примеров интегрированных форм отчетностей для различных типов производителей.
Главной целью структурного обследования яв–ляется регулярное предоставление статистических дан–ных о состоянии структуры производственной системы для проведения комплексного анализа основных пара–метров финансово-экономической деятельности пред–приятий, формирования отдельных макроэкономиче–ских показателей.
Производственный процесс – это совокупность отдельных процессов труда, направленных на превра–щение сырья и материалов в готовую продукцию.
Состав процесса производства оказывает опре–деленное воздействие на построение предприятия и его производственных подразделений.
Основные факторы, помогающие определить ха–рактер производства:
1) средства труда;
2) предметы труда;
3) труд – деятельность людей.
К ресурсам труда относится персонал, рабочая сила, которая определяется как способность человека к труду. Рабочая сила в производственном процессе потребляется в форме затрат живого труда, измеря–емых рабочим временем, как естественной мерой целе–направленной деятельности работников. Предпринима–тель, использующий персонал в своей экономической деятельности, сталкивается с тем, что рабочая сила на рынке труда – это особо специфический товар, ко–торый обладает стоимостью. Объем затраченного труда выражается в денежной оценке. Для эффектив–ного процесса производства предприниматель дол–жен получить достаточно точную и разностороннюю информацию об общем объеме имеющихся ресурсов рабочей силы, ее качественных характеристиках и специфике формирования трудовых затрат.
Ресурсы средств труда – это совокупность различных основных производственных фондов. Ин–формационная подсистема ресурсов средств труда должна содержать показатели, отражающие их наличие, состав по видам, техническое состояние и роль в формировании издержек производства и обращения. Особенностью средств труда является их функционирование в течение нескольких произ–водственных циклов. Средства труда свою стоимость переносят на продукт по частям, т. е. по мере износа.
К предметам труда предприятия относятся: запасы сырья, материалов, топлива и иных мате–риальных ресурсов, включая полуфабрикаты, ком–плектующие изделия и запасы товаров. Все эти ресур–сы предметов труда предприятия необходимы для нормального хода производственных процессов.
В денежной оценке они образуют основную часть оборотного капитала предприятия, в которую также входят средства в расчетах, свободные денежные средства и другие виды финансовых активов. Для ха–рактеристики наличия и использования предметов труда система показателей должна включать данные по их натурально-вещественному составу, наличию, поступлению и расходованию в процессе производ–ства, характеристики эффективности их потребления и прочее, показатели, которые позволят определить вклад предметов труда в формирование общей вели–чины издержек предприятия.
Издержки производства, связанные с использова–нием факторов производства, переносятся и в общую сумму издержек, и в стоимость произведенного продук–та, которая должна превышать общую сумму издержек.
Окончательный результат производственного процесса и обращения для предпринимателя выясня–ется в момент поступления денежных средств (выруч–ки), получаемых от покупателей продукции предприя–тия в наличной или безналичной форме.
Трудовой коллектив – одна из основных задач предпринимателя, которая является залогом успеха предпринимательской деятельности, выражения и процветания предпринимателя.
Существует два критерия отбора и продвижения работников:
1) высокая профессиональная квалификация и спо–собность к обучению;
2) опыт общения и готовность к сотрудничеству. Основные источники подбора кадров на предприятии – это все виды учебных заведений, предприятия с подоб–ными профессиями, биржа труда. Распределение обя–занностей и расстановка рабочих основана на системе разделения труда.
Формы разделения труда:
1) технологическая – по видам работ, профессиям и специальностям;
2) пооперационная – по отдельным видам операций технологического процесса;
3) по функциям выполняемых работ – основных, вспомогательных, подсобных;
4) по квалификации.
Трудовой договор или контракт – это согла–шение между предпринимателем и человеком, кото–рый нанимается на работу, а конкретная система най–ма находит применение в отечественной практике.
Весь персонал предприятия подразделяется на следующие категории:
1) рабочие;
2) служащие;
3) специалисты;
4) руководители.
К рабочим предприятия можно отнести ра–ботников, непосредственно занятых созданием материальных ценностей или оказанием транспорт–ных и производственных услуг.
Рабочие подразделяются на основных и вспомо–гательных.
Их соотношение – это аналитический показа–тель работы предприятия.
Коэффициент численности основных рабочих определяется по формуле:

где Твр – среднесписочная численность вспомо–гательных рабочих на предприятии, в цехах, на участке (человек);
Тр – среднесписочная численность всех рабо–чих на предприятии, в цехе, на участке (человек).
Специалисты и руководители (директора, мас–тера, главные специалисты и др.) осуществляют орга–низацию производственного процесса и руковод–ство им.
К служащим относятся работники, которые осу–ществляют финансово-расчетные, снабженческо-сбытовые и другие функции (агенты, кассиры, дело–производители, секретари, статистики и др.).
Квалификация работ определяется уровнем специальных знаний и практических навыков и харак–теризует степень сложности работы.
Структура кадров предприятия – это соотно–шение разных категорий работников в их общей чи–сленности. Для анализа структуры кадров определя–ют и сравнивают удельный вес каждой категории работников dpi в общей среднесписочной численно–сти персонала предприятия Т:

где Тi – среднесписочная численность работни–ков категории (человек).
Состояние кадров определяется с помощью коэффициентов.
Коэффициент выбытия кадров (Кв.к. (%)) – это отношение количества работников, уволенных по раз–личным причинам за данный период Тув., к среднес–писочной численности работников за тот же период Т:

Коэффициент приема кадров (Кп.к. (%)) – это отношение количества работников, которые приняты на работу за данный период, обозначается Тп, к сред–несписочной численности работников за тот же пе–риод Т:

Коэффициент стабильности кадров (Кс.к.)
применяется при оценке уровня организации управления производством как на предприятии в от–дельных подразделениях, так и в целом:

где Тув. – численность работников, уволившихся по собственному желанию и из-за нарушения трудо–вой дисциплины за отчетный период (человек);
Т – среднесписочная численность работающих на предприятии в период, предшествующий отчетно–му (человек);
Тп – численность вновь принятых за отчетный период работников (человек).
Коэффициент текучести кадров (Кт.к.) определя–ется делением численности работников предприятия, выбывших или уволенных за данный период (Тув.), на среднесписочную численность за тот же период Т (%):

Статистика рабочей силы изучает состав и чи–сленность рабочей силы. В сфере материального про–изводства рабочая сила подразделяется на персонал, занятый в основной деятельности предприятия, и персонал не основной деятельности.
Основная категория персонала – это рабочие.
Рабочие группируются по профессиям, по степе–ни механизации труда и по квалификации. Основной показатель квалификации – это тарифный разряд или тарифный коэффициент. Средний уровень квалифи–кации определяется средним тарифным разрядом, исчисляемым как средняя арифметическая разрядов, взвешенная по численности или по проценту рабочих:

где Р – тарифные разряды; Т – численность (%) рабочих с данным разря–дом.
К категориям численности рабочих и служащих относятся списочная и явочная численность, число фактически работавших. В списочную численность входят все работники предприятия, принятые на срок один и более дней. Явочное число включает работни–ков, явившихся на работу, а также находящихся в ко–мандировках и занятых на других предприятиях по на–рядам своей организации.
Все категории численности определяются на конкретную дату, но для многих экономических расче–тов необходимо знать среднюю численность работни–ков – среднесписочную, среднеявочную и среднюю фактически работавших.
Среднесписочная численность определя–ется следующими способами. Среднесписочная численность за квартал, полу–годие и год определяется как средняя арифметиче–ская из среднемесячных чисел:
Т = Сумма среднемесячных чисел работни–ков / Число месяцев периода.
Если известна списпочная численность на даты через одинаковые интервалы времени, то среднеспи–сочная численность находится по формуле средней хронологической:

где № – 1– число показателей; Т1 – численность на первую дату, Т2 , Т3 – на другие даты.
Наиболее точные результаты дают три формулы:

Среднеявочная численность работников опреде–ляется по формуле:

Средняя численность фактически работавших исчисляется формулой:

В статистической науке рассматриваются сле–дующие фонды рабочего времени (в человеко-днях).
Календарный фонд – это все время отчетного периода, который равен произведению числа кален–дарных дней в периоде на списочную численность работников.
Табельный фонд меньше календарного на число праздничных и выходных человеко-дней.
Максимально возможный фонд меньше табель–ного фонда за счет времени очередных отпусков.
Фактически отработанный фонд времени меньше максимально возможного за счет различных потерь рабочего времени.
Использование фондов времени измеряется сле–дующими коэффициентам.

В статистике также анализируется исполь–зование сменного рабочего времени, для этого пользуются такие показатели:

Коэффициент сменности уточненный = = Коэффициент непрерывности х Коэффициент использования сменного режима.
Производительность труда – это результатив–ность живого труда, эффективность производительной деятельности по созданию продукта в течение времени.
Перед статистикой производительности труда стоят задачи:
1) совершенствования методики расчета производи–тельности труда;
2) выявления факторов роста производительности труда;
3) определения влияния производительности труда на изменение объема продукции.
Через показатели трудоемкости и выработки ха–рактеризуется производительность труда.
Выработка (W) продукции за единицу времени из–меряется соотношением объема произведенной про–дукции (q) и затрат рабочего времени (Т):

Это прямой показатель производительности тру–да. Обратным показателем является трудоемкость:

Система статистических показателей произво–дительности труда определяется единицей измере–ния объема произведенной продукции. Единицы могут быть натуральными, условно-натуральными, трудовыми и стоимостными. Применяют натуральный, условно-натуральный, трудовой и стоимостный методы изме–рения уровня и динамики производительности труда.
В зависимости от измерения затрат труда разли–чают следующие уровни производительности.
1) средняя часовая выработка;
2) средняя дневная выработка;
3) средняя месячная выработка.
Между всеми рассмотренными показателями существует взаимосвязь:
W1ППП = WЧ×Пр.д.× Пр.п.× dрабочихвППП
где W1ППП, – выработка на одного работника;
WЧ – среднечасовая выработка;
Пр.д. – продолжительность рабочего дня;
Пр.п. – продолжительность рабочего времени;
dрабочихвППП – доля рабочих в общей численности промышленно-производственного персонала.
В зависимости от метода измерения уровня динами–ка производительности труда анализируется следующи–ми статистическими индексами:
1) натуральный индекс:

2) трудовой индекс:

3) индекс академика С. Г. Струмилина:

4) стоимостный индекс:

Основные фонды подразделяются на производ–ственные основные фонды и непроизводственные ос–новные фонды.
Основные производственные фонды – это мате–риально-техническая база общественного производства.
Производственные фонды, функционирующие в промышленности, составляют промышленно-про-изводственные фонды – эти фонды в виду своего многообразия изучаются всесторонне.
С целью изучения объема и состава промышленно-производственных фондов, их группируют по различным признакам – по формам собственности, по отраслям промышленности и по своей натуральной форме.
Сущность классификации заключается в созда–нии возможности распределять основные фонды предприятий по их назначению в процессе производ–ства и отражать их технический уровень.
Основные производственные фонды промышлен–ных предприятий делятся на группы:
1) здания, сооружения;
2) передаточные устройства;
3) машины и оборудование;
5) производственный и хозяйственный инвентарь.
Соотношение отдельных групп основных фондов в их общем объеме представляет видовую структуру основных фондов.
Планирование и учет основных производственных фондов ведется в натуральной и денежной формах. Основой натурального учета основных фондов служит их паспортизация, а также ведется инвентаризация, учет его прибытия и выбытия.
На каждую отдельную единицу основных фондов составляется паспорт, в котором приводится произ–водственно-техническая характеристика.
Денежная оценка основных фондов позволя–ет планировать расширенное воспроизводство основных фондов, определять степень износа и разме–ра амортизационных отчислений, объем приватизации.
Первоначальная стоимость основных фондов – это сумма затрат на приобретение или изготовление фондов, их монтаж и доставку.
Восстановительная стоимость – издержки на вос–производство основных фондов в рыночных условиях.
Остаточная стоимость представляет собой раз–ность между первоначальной или восстановительной стоимостью основных фондов и суммой их износа.
Амортизация – это денежное выражение стои–мости износа основных фондов, перенесенной на продукцию. Амортизация включается в себестои–мость продукции.
Годовая сумма амортизационных отчислений определяется по формуле: А = (В – Л) / Т,
где В – полная первоначальная стоимость ос–новных фондов;
Л – ликвидационная стоимость основных фон–дов за вычетом расходов на их демонтаж;
Т – нормативный срок службы основных фондов;
М – предполагаемая стоимость модернизации в течение всего эксплуатационного периода.
Годовые нормы амортизации определяются также по следующей формуле:

Годовые балансы основных фондов составляют для характеристики изменения объема и движения основных фондов, их воспроизводства.
Годовой износ основных фондов равен сумме на–численной амортизации за год.
Оборотный капитал – это финансовые ресур–сы, вложенные в объекты, расходование которых осу–ществляется предприятием в рамках короткого кален–дарного периода времени.
Состав оборотного капитала:
1) производственные запасы;
2) незавершенное производство и полуфабрикаты;
3) незавершенное сельскохозяйственное производ–ство;
4) корма и фураж;
5) расходы будущих отчетных периодов;
6) готовая продукция;
7) товары;
8) прочие товарно-материальные ценности;
9) отгруженные товары ;
10) денежные средства;
11) дебиторы;
12) краткосрочные финансовые вложения;
13) прочие оборотные средства.
Источник образования элементов оборотного ка–питала – финансовые ресурсы.
Оборотный капитал состоит из активов.
Для характеристики использования оборотных фондов служат три показателя скорости их обращения.
Коэффициент оборачиваемости характеризу–ет число оборотов среднего остатка производствен–ных оборотных фондов за отчетный период:

Коэффициент закрепления оборотных фон–дов – эта величина показывает, сколько надо иметь оборотных средств на 1 руб. стоимости реали–зованной продукции.
Средняя продолжительность одного оборота оборотных фондов в днях:

Средняя продолжительность одного оборота оборотных фондов в днях:

Рассчитываются средние показатели скорости обращения оборотных фондов. Коэффициент обора–чиваемости и закрепления исчисляют как средние арифметические взвешенные:

Средняя продолжительность одного оборота в днях определяется как средняя гармоническая взвешенная:

Показатель использования предметов труда – это материалоемкость, характеризующая в денежном выражении расход материальных ресурсов на едини–цу результата производства. Он исчисляется по фор–муле:

Финансы предприятий – это отношения, выра–женные в денежной форме, которые возникают при образовании, распределении и использовании денеж–ных фондов и накоплений в процессе производства и реализации товаров, выполнения работ и оказания различных услуг.
Основные задачами статистики финансов:
1) изучить состояние и развитие финансово-денеж–ных отношений хозяйствующих субъектов;
2) проанализировать объем и структуру источников формирования финансовых ресурсов;
3) определить направления использования денежных средств;
4) проанализировать уровень и динамику прибыли, доходности предприятия;
5) оценить финансовую устойчивость и состояние платежеспособности;
6) оценить выполнение хозяйствующими субъектами финансово-кредитных обязательств.
Финансовые ресурсы – это собственные и привлеченные денежные средства хозяйствующих субъектов, которые находятся в их распоряжении и предназначены для выполнения финансовых обяза–тельств и осуществления затрат на производство.
Объем и состав финансовых ресурсов связан с уровнем развития предприятия и его эффективностью.
Формирование финансовых ресурсов происхо–дит в момент образования уставного фонда. Источни–ками уставного капитала выступают:
1) акционерный капитал;
2) паевые взносы членов кооперативов;
3) долгосрочный кредит;
4) бюджетные средства.
На сформированных предприятиях в условиях рыночной экономики источниками возникновения фи–нансовых ресурсов являются:
1) прибыль от проданной продукции, выполненных работ или оказанных услуг;
2) амортизационные отчисления, поступления от ре–ализации акций, ценных бумаг;
3) краткосрочные и долгосрочные кредиты;
4) доходы от продажи имущества и т. д.
Прибыль характеризует конечные результаты торгово-производственной деятельности.
Прибыль – это основной показатель финансово–го состояния предприятия.
В статистике финансов предприятий существуют следующие виды прибыли:
1) прибыль балансовая;
2) прибыль от реализации продукции (работ, услуг);
3) валовая прибыль;
4) чистая прибыль.
Балансовая прибыль – это прибыль, получен–ная в результате реализации продукции основных средств и другого имущества хозяйствующих субъек–тов, а также доходы за вычетом убытков от внереали–зационных операций.
1. Общая рентабельность:

где Пб – общая сумма балансовой прибыли;
Ф – среднегодовая стоимость основных произ–водственных фондов и нормируемых оборотных средств.
2. Рентабельность реализованной продукции:

где П рп – прибыль от реализации продукции; С – полная себестоимость реализованной про–дукции.
Показатели деловой активности предприятия
Деловая активность предприятия определяется с помощью показателя общей оборачиваемости капитала:

где В – выручка от реализации продукции;
К – основной капитал предприятия.
Анализ финансовой устойчивости предприятия имеет очень важное значение в условиях рыночной экономики.
Финансовая устойчивость – это способность хозяйствующего субъекта вовремя из собственных средств возмещать затраты, вложенные в основной и оборотный капиталы, нематериальные активы, и рас–плачиваться по своим обязательствам, т. е. быть платежеспособным.
Для оценки измерения устойчивости применяют–ся коэффициенты.
1. Коэффициент автономии:

где Сс – собственные средства;
Sс – сумма всех источников финансовых ресурсов.
2. Коэффициент устойчивости:

где Кз – кредиторская задолженность и другие заемные средства.
3. Коэффициент маневренности: Км = (Сс + ДКЗ – Осв ) / Сс ,
где ДКз – долгосрочные кредиты и займы; Осв – основные средств и иные внеоборотные активы.
4. Коэффициент ликвидности:

где Дса – денежные средства, вложенные в цен–ные бумаги, запасы товарно-материальных ценно–стей, дебиторская задолженность;
Кз – краткосрочная задолженность.
Ряд динамики (хронологический, динамиче–ский, временной) – это последовательность упо–рядоченных во времени числовых показателей, харак–теризующих уровень развития изучаемого явления. Ряд включает два обязательных элемента: время и конкретное значение показателя (уровень ряда).
Каждое числовое значение показателя, характе–ризующее величину, размер явления, называется уровнем ряда. Каждый ряд динамики содержит указа–ния о тех моментах либо периодах времени, к кото–рым относятся уровни.
При подведении итогов статистического наблю–дения получают абсолютные показатели двух видов: моментные и интервальные.
В интервальном ряду величина уровня, предста–вляющего собой итог какого-либо процесса за опре–деленный интервал времени, зависит от продолжи–тельности этого периода.
В моментных же рядах динамики, где тоже есть интервалы, величина того или иного конкретного уровня не зависит от продолжительности периода между соседними датами.
Каждый уровень интервального ряда уже пред–ставляет собой сумму уровней за более короткие про–межутки времени. При этом единица совокупности, входящая в состав одного уровня, не входит в состав других уровней. Поэтому в интервальном ряду дина–мики уровни за примыкающие друг к другу периоды времени можно суммировать, получая итоги (уровни) за более продолжительные периоды.
В моментном динамическом ряду одни и те же единицы совокупности обычно входят в со–став нескольких уровней. Поэтому суммирование уровней моментного ряда динамики само по себе не имеет смысла, так как получающиеся при этом итоги лишены самостоятельной экономической значимости.
В интервальных рядах динамики относительных и средних величин непосредственное суммирование уровней само по себе лишено смысла, так как относи–тельные и средние величины являются производными и исчисляются путем деления других величин.
Сопоставимость уровней ряда динамики – это важнейшее условие обоснованности и правильно–сти выводов, полученных в результате анализа этого ряда.
При изучении динамики общественных явлений статистика решает следующие задачи:
1) измеряет абсолютную и относительную скорости роста либо снижения уровня за отдельные проме–жутки времени;
2) дает обобщающие характеристики уровня и скоро–сти его изменения за тот или иной период;
3) выявляет и численно характеризует основные тен–денции развития явлений на отдельных этапах;
4) дает сравнительную числовую характеристику ра–звития данного явления в разных регионах или на разных этапах;
5) выявляет факторы, обусловливающие изменение изучаемого явления во времени;
6) делает прогнозы развития явления в будущем.
Простейшими показателями анализа, которые используются при решении ряда задач, являются аб–солютный прирост, темпы роста и прироста, а также абсолютное значение (содержание) 1% прироста.
Если каждый уровень сравнивается с предыду–щим, то полученные при этом показатели называются цепными. Если же все уровни связываются с одним и тем же уровнем, выступающим как постоянная база сравнения, то полученные при этом показатели назы–ваются базисными.
Абсолютный прирост показывает, на сколько единиц увеличился (или уменьшился) уровень по сравнению с базисным. Абсолютный прирост равен разности между сравниваемыми уровнями и измеря–ется в тех же единицах, что и эти уровни:
Δ = yi − y0,
Δ = yi − y0-i
Абсолютный прирост за единицу времени (ме–сяц, год) измеряет абсолютную скорость роста (или снижения) уровня.
Цепные и базисные абсолютные приросты связа–ны между собой: сумма последовательных цепных при–ростов равна соответствующему базисному приросту.
Относительными показателями динамики явля–ются темпы роста и темпы прироста, характеризую–щие интенсивность процесса роста.
Темп роста (Тр) – статистический показатель, который отражает интенсивность изменения уровней ряда динамики и показывает, во сколько раз увели–чился уровень по сравнению с базисным, а в случае уменьшения – какую часть базисного уровня соста–вляет сравниваемый уровень. Измеряется отношени–ем текущего уровня к предыдущему или базисному:

Как и другие относительные величины, темп рос–та может быть выражен не только в форме коэффици–ента (простого отношения уровней), но и в процентах.
Между цепными и базисными темпами роста, выраженными в форме коэффициентов, существует определенная взаимосвязь: произведение последо–вательных цепных темпов роста равно базисному тем–пу роста за весь соответствующий период.
Темп прироста (Тпр) характеризует относитель–ную величину прироста и вычисляется по формуле:

Абсолютное значение 1 % прироста, который определяется как результат деления абсолютного прироста на соответствующий темп прироста:

Эта величина показывает, сколько в абсолютном выражении дает каждый процент прироста.
С течением времени изменяются не только уров–ни явлений, но и показатели их динамики – абсолют–ные приросты и темпы развития. Поэтому для обоб–щающей характеристики развития, для выявления и измерения типичных основных тенденций и законо–мерностей и решения других задач анализа использу–ются средние показатели временного ряда: средние уровни, средние абсолютные приросты и средние темпы динамики.
К расчету средних уровней ряда динамики часто приходится прибегать уже при построении временно–го ряда – для обеспечения сопоставимости числителя и знаменателя при расчете средних и относительных величин.
Метод расчета среднего уровня ряда динамики зависит прежде всего от характера показателя, лежа–щего в основе ряда.
Наиболее просто исчисляется средний уровень интервального ряда динамики абсолютных величин с равностоящими уровнями. Расчет производится по формуле простой средней арифметической:

где n – число фактических уровней за последо–вательные равные отрезки времени.
Сложнее обстоит дело с исчислением среднего уровня моментного ряда динамики абсолютных вели–чин. Моментный показатель может изменяться почти непрерывно. Поэтому очевидно, что, чем более по–дробными и исчерпывающими данными о его измене–нии мы располагаем, тем более точно можно исчи–54б зависит от того, насколько подробны имеющиеся данные. Здесь возможны различные случаи.
При наличии исчерпывающих данных об измене–нии моментного показателя его средний уровень исчи–сляется по формуле средней арифметической взве–шенной для интервального ряда с разностоящими уровнями:

где t – число периодов времени, в течение которых уровень не изме–нялся.
Если промежутки времени между соседними да–тами равны друг другу, т. е. когда мы имеем дело с равными (или примерно равными) интервалами между датами, тогда для моментального ряда с рав–ностоящими уровнями расчет среднего уровня ряда производим по формуле средней хронологической:

Для моментального ряда с разностоящими уров–нями расчет среднего уровня ряда производится по формуле:

Выше шла речь о среднем уровне рядов динами–ки абсолютных величин. Для рядов динамики средних и относительных величин средний уровень нужно ис–числять исходя из содержания и смысла этих средних и относительных показателей.
Средний абсолютный прирост показывает, на сколько единиц увеличивался или уменьшался уро–вень по сравнению с предыдущим в среднем за еди–ницу времени. Средний абсолютный прирост характе–ризует среднюю абсолютную скорость роста (или снижения) уровня и всегда является интервальным показателем. Он вычисляется путем деления общего прироста за весь период на длину этого периода в тех или иных единицах времени:

В качестве основы и критерия правильности ис–числения среднего темпа роста (как и среднего абсо–лютного прироста) можно использовать в роли опре–деляющего показателя произведение цепных темпов роста, которое равно темпу роста за весь рассматри–ваемый период. Таким образом, перемножив n цеп–ных темпов роста, получается темп роста за весь пе–риод:

Должно соблюдаться равенство:

Данное равенство представляет формулу простой средней геометрической Из этого равенства следует:

Средний темп роста, выраженный в форме коэф–фициента, показывает, во сколько раз увеличивался уровень по сравнению с предыдущим в среднем за единицу времени.
Для средних темпов роста и прироста сохраняет силу та же взаимосвязь, которая имеет место между обычными темпами роста и прироста:

Средний темп прироста (или снижения), выра–женный в процентах, показывает, на сколько процен–тов увеличивался (или снижался) уровень по сравне–нию с предыдущим в среднем за единицу времени. Средний темп прироста характеризует среднюю ин–тенсивность роста.
Из двух видов формулы среднего темпа роста ча–ще используется вторая, так как она не требует вычи–сления всех цепных темпов роста. По первой формуле расчет целесообразно производить лишь в тех слу–чаях, когда не известны ни уровни ряда динамики, ни темп роста за весь период, а известны только цепные темпы роста (или прироста).
Одной из задач, возникающих при анализе рядов динамики, является установление закономерности изменения уровней изучаемого показателя во време–ни. Для этого необходимо выделить такие периоды (этапы) развития, которые достаточно однородны в отношении взаимосвязи данного явления с другими и в отношении условий его развития.
Выделение этапов развития – это задача, на–ходящаяся на стыке науки, изучающей данное явле–ние, и статистики. Решение этой задачи осуществля–ется не только и даже не столько с помощью статистических методов, сколько на базе содержа–тельного анализа сущности, природы явления и об–щих законов его развития.
Для каждого этапа развития нужно выявить и чи–сленно охарактеризовать основную тенденцию изме–нения уровня явления. Под тенденцией понимается общее направление к росту, снижению или стабили–зации уровня явления с течением времени. Под рав–номерным ростом (или снижением) здесь понимается рост (снижение) с постоянной абсолютной скоростью, когда цепные абсолютные приросты ( Δ ) одинако–вы. При ускоренном росте или снижении цепные при–росты систематически увеличиваются по абсолютной величине, а при замедленном росте или снижении – уменьшаются (тоже по модулю). Практически уровни ряда динамики очень редко растут (или снижаются) строго равномерно. Нечасто встречается и система–тическое – без единого отклонения – увеличение или снижение цепных приростов.
Основной тенденцией (трендом) называ–ется достаточно плавное и устойчивое изменение уровня явления во времени, более или менее свобод–ное от случайных колебаний. Основную тенденцию можно представить либо аналитически – в виде ура–внения (модели) тренда, либо графически. Выявление основной тенденции развития (тренда) называется в статистике также выравниваем временного ряда, а методы выявления основной тенденции – методами выравнивания.
Одними из самых распространенных способов выявления основных тенденций (тренда) ряда дина–мики являются:
1) метод укрупнения интервалов;
2) метод скользящей средней.
Выбор формы кривой во многом определяет ре–зультаты экстраполяции тренда. Основанием для вы–бора вида кривой может быть содержательный анализ сущности развития данного явления. Можно опирать–ся также на результаты предыдущих исследований в данной области. Наиболее простой эмпирический прием – визуальный: выбор формы тренда на основе графического изображения ряда – ломаной линии. На практике линейная зависимость в силу ее прос–тоты используется чаще, чем параболическая.