© Бурят из Донбасса, 2015
Создано в интеллектуальной издательской системе Ridero.ru
Данная глава будет посвящена предыдущему выпуску моей книги или брошюры.
Здравствуйте дороги читатели, кто честно купил предыдущий выпуск книги и те, кто просто скачал с файлообменников и заполучил мой интеллектуальный труд бесплатно.
Я не думал, что брошюра в 50 страниц, вызовет такую реакцию читающей братии.
Отзывы самые разные от позитивных до самых отрицательных.
Что я могу сказать по отзывам, я специально посвятил этому главу под названием халявщики и паразиты.
В чем же была моя цель, когда я выпустил книгу под названием «Секрет бизнес молодости, Стива Джобса и Плейбой или русская рулетка на деньги».
Я не знал какова будет реакция рынка, если я напишу большой труд страниц так эдак на 500, необходимо было протестировать целевую аудиторию и узнать, что интересует потенциальных читателей.
Ну что же, перейдем к анализу реакции рынка на брошюрку в 50 страниц.
И так, книга была размещена в интернет магазина 18 июня, 1 июля я получил статистику по продажам.
Не скажу, что я был сильно удивлен, скорее сильно поражен.
Как вы думаете сколько было продано книг?
Вы удивитесь, но книг было продано 2 шт., представляете всего 2 штуки.
А как вы думаете, что сказали поисковики Яндекс и google, какую статистику показали они?
Так вот, поисковики сказали, что книга попала топ-5 по запросам «секрет бизнес молодости» и «бурят из донбасса» и попала она туда за каких-то 12 дней. Вместе со ссылками на всем известную Бизнес Молодость и присутствие бурят на Украине.
Хорошо это или плохо?
Так вот, раскрутка товара или интернет страницы при стандартных условиях и при определенной трате денег, через сервисы занимающие продвижением сайтов и получение результата, чтоб продукт попал в топ 10, требуется как минимум 3 месяца и финансовый бюджет в 30 тыс. рублей, и это по минимуму.
Сравним цифры 12 дней и 3 месяца разница в 8 раз. Мне не пришлось тратить деньги, как я раньше это делал через Seopult, Webeffector и прочие сервисы.
Результат получился более чем великолепный.
Но почему же великолепный результат в статистике Яндекс и Google не дал такой же по продажам?
Вопрос конечно интересный, как говорил один известный комик и сатирик.
Но все гениальное просто.
Да, да все очень просто.
Две продажи с интернет магазина были сделаны людьми, которые в последующем выставили их на бесплатных ресурсах, файлообменниках и торрентах и назовем этих персонажей халявщиками и паразитами.
С ЭТОГО МОМЕНТА КНИГА МАССОВЫМ, НЕ КОНТРОЛИРУЕМЫМ ТИРАЖОМ РАЗОШЛАСЬ ПО ПРОСТОРАМ ИНТЕРНЕТ ДЛЯ БЕСПЛАТНОГО ЧТЕНИЯ.
Ну что сказать, не такой я хотел получить результат.
Господа халявщики, а как же справедливая оплата труда за интеллектуальный труд писателя?
Так вот, я насчитал порядка 30 сайтов, которые давали ссылки на скачивание книги с бесплатных файлообменников и торрентов. На данный момент число их снизилось, после обращения к ним от имени автора.
И это за 12 дней, хорошо поработали господа халявщики, и там же на их ресурсах, я увидел те самые отзывы от господ паразитов и халявщиков.
При чем ссылки с официальных интернет магазинов находятся на последнем месте, на первых местах находятся сайты халявщиков.
Значит книга все-таки нужна людям, раз они ищут её и скачивают бесплатно, а господа халявщики распространяют её, тратят свое время и деньги на раскручивание своего ресурса и моей книги.
Хотелось бы сделать дополнение, я долго в течении 3 недель искал ресурс с помощью которого довольно быстро смогу опубликовать свою книгу.
Излазил весь интернет, посредством Яндекс и Google поисковиков.
И с трудом нашел блог, в котором описывался интернет ресурс Ридеро.
Быстро в нем разобрался, забросил туда свой word файл, прошел модерацию и где-то за неделю, полторы книга появилась на интернет полках магазинов ЛИТРЕС и АМАЗОН.
Но вопрос не в этом.
Прошел примерно месяц, и я заметил, что на какой бы сайт, я не заходил, если на нем есть реклама от Яндекса или Google, то реклама в них будет посвящена ресурсу Ридеро.
Другими словами, я хочу сказать, что реклама Ридеро стала появляется массово в браузерах, после того как вышла моя книга и частного разговора по почте с их сотрудником интересовавшимся формулой из книги.
То есть, я делаю вывод, что возросший информационный поток (реклама) от Ридеро, есть результат прочтения моей книги.
Не знаю на сколько мои выводы верны, но то, что сотрудники компании Ридеро сделали выводы из моей книги и сделали корректировку в своей стратегии, это точно. Ведь раньше реклама не появлялась так масштабно и массово на сайтах и YouTube.com от Ридеро.
Вы можете тоже попробовать. Наберите у себя в поисковике RIDERO и у вас тоже будет показываться эта реклама.
Если у вас есть вопросы к автору или предложения, можете связаться по адресу.
[битая ссылка] argtyadir@yandex.ru
А так же, если вы хотите узнать и просчитать, делает ли ваша фирма СИЛУ, которая толкает вас к обогащению или у вашей фирмы наоборот есть СИЛА, которая толкает вас к разорению.
Если же вы беспокоитесь о коммерческой тайне ваших доходов автор произведет расчет в «темную».
БЕСПЛАТНО подсчет СИЛЫ только для тех, кто приобрел данную книгу с сайта WWW.LITRES.RU и WWW.AMAZON.COM
Бизнес Молодость – это бизнес проект, который затеяли два амбициозных и талантливых парня, (а может и не два, а больше).
Кто они, вам рассказывать не надо, раз вы читаете эту книгу, то вы знаете о ком идет речь. Моя первая встреча с ними была, как и у всех через YouTube.com.
Что я могу сказать, парни действительно весьма заразительно рассказывают о бизнесе, и тот заряд энергии, которые они дают, действительно «выносит мозги».
Что греха таить, я тоже занимался бизнесом и сейчас занимаюсь, и я в первый момент тоже, как и все поддался такому позитивному заряду энергии от их видеоматериалов в YouTube.com.
Но слава богу у меня есть небольшая страховка, когда я сомневаюсь и нужно сделать последний шаг, я бросаю монетку и полностью отдаюсь на волю счастливого случая, то бишь как решит жребий, орел или решка. (кстати никогда меня не подводил, оберегал от глупостей и приносил удачу)
Жребий упал не пользу бизнес молодости, и мой дальнейший план сходить в банк и взять кредит для оплаты целого пакета курсов канул в небытие.
И так, все, кто хочет заниматься бизнесом или уже занимается им, это книга для вас.
В ней вы найдете все ответы на вопросы, почему у одних получается вести бизнес, а у других нет. Почему одни богатеют, а другие наоборот еще больше влезают в долги.
Вы познакомитесь с секретами Бизнес молодости, Стива Джобса и Хью Хефнера – основателя Playboy, многое в их работе вы найдете общего.
В данной книге рассматриваются и объясняются с математической точность, весь механизм работы успешного бизнеса.
А также, как используют эти механизмы, эти двое весьма талантливых молодых человека, сделавших себе состояние на необразованности и желании стать богатыми, «общей массы народонаселения России».
Возможно, если вы поймете внутреннее устройство бизнеса, вы также переосмыслите свой взгляд на бизнес и будете вести его менее хаотично чем сейчас.
Мой взгляд на бизнес, после двух неудачных бизнес проектов, так же весьма кардинально поменялся. Передо мной встал вопрос, если продолжать вести бизнес по-прежнему, то результат будет такой же плачевный, как и предыдущие два бизнес проекта.
НАСТУПАТЬ НА ГРАБЛИ В ТРЕТИЙ РАЗ УЖЕ НЕ ХОТЕЛОСЬ
Нужно было искать ресурс, который позволит мне кардинально разобраться в бизнесе.
Этим ресурсом стало хорошее знание физики и математики на инженерном уровне. (Почему я раньше не мог к нему прибегнуть, не терял бы много денег)
И так, подняв все свои конспекты по физико-математическому моделированию, я принялся за дело.
Результатом огромной статистической обработки, самых удачных бизнесменов и самых преуспевающих компаний, стало абсолютно другое понимание бизнеса.
Насколько оно соответствует тому представлению как его понимают в бизнес молодости, мне не известно, но как их стратегия попадает в математическое моделирование бизнес процессов объясняется легко и просто
И так начнем.
Что бы ваш бизнес приносил деньги, нужны клиенты.
Что бы у вас были клиенты, надо найти где обитают и находятся ваши клиенты.
Если вы нашли где ваши клиенты, нужно привлечь их внимание к вашему товару.
И тут начинается тестирование рынка, со слов основателей бизнес молодости.
Теперь немного математики, немного отвлечемся.
Представим себе ситуацию, что имеется 100 человек, которые не умеют плавать, если их всех столкнуть в бассейн, то согласно законам математической статистики, появляются интересные закономерности.
Из 100 человек, 2 станут чемпионами, 28 человек худо, бедно научатся плавать, остальные 70 человек утонут.
Если это применить к бизнесу, то из 100 человек, которые записались на курсы бизнес молодости, 2 станут миллионерами, 28 резко прибавят в доходах своего бизнеса, а остальные 70 бизнесменов не получат положительный результат.
Вопрос, почему же эти 70 человек не требуют возврата денег, если они не добились богатства?
Вот здесь начинается самый интересный секрет, но все по порядку.
Данное правило еще называют принцип Парето 20/80, когда из 100 человек, 20 становятся миллионерами, остальные 80 человек остаются бедными, (не придирайтесь к цифрам главное размерность и масштаб).
Но вернемся к математике, все данные принципы основаны на простом математическом законе, открытым Гауссом, а именно на нормальном распределении случайных величин, по-другому его называют Гауссовским распределением. Еще его называют законом больших цифр.
Не будем влезать в дебри математики, это скучно и малопонятно, просто знайте историю про 100 пловцов
В торговле данный принцип называется воронкой продаж.
Где же применяется данный закон математики.
Приведу несколько примеров.
Пример №1
Предположим в интернете ищут обувь.
WordStat говорит вам, что количество запросов с этим слово было около 20 тысяч в месяц. Если вы создадите кампанию в Яндекс директе на 20 тыс. ключевиков, то согласно статистике и закона Гаусса (или пловцов утопленников) на ваши объявления нажмет только 30% посетителей в лучшем случае или 10% в худшем случае, остальные 70—90% не будут нажимать на ваши объявления.
Итого нажав на ваше объявление, на ваш сайт зайдет около 6000 или 2000 человек в месяц.
Опять же согласно статистике, из этих 6000 – 2000 человек вам позвонят опять же 30—10%, остальные 70—90% звонить вам не будет.
Итого вам позвонят 1800 – 200 человек в месяц или в сутки это получится, 60 звонков в лучшем случае или 6 звонков в худшем случае.
И так далее, вопрос сколько вы сделаете продаж из 60 или 6 звонков и обратите звонки в деньги?
Пример №2
Предположим у вас магазин на проходимом месте.
В сутки мимо вашего магазина проходит около 2000 клиентов, согласно закона Гаусса или закона пловцов утопленников (см. выше) к вам в магазин зайдут только 30—10% это около 600 или 200 клиентов, после знакомства с товаром и ценой из 600—200 клиентов у вас останется и купит опять же 30—10% клиентов, это будет около 200 или 20 клиентов, которые вам принесут деньги в кассу.
И так можно сделать вывод, чтобы деньги были в кассе.
У вас должно быть очень много клиентов на первоначальном контакте, по-умному их называют ЛИДЫ
Количество преград между кассой и первым контактом должно быть, как можно меньше. Так как каждое препятствие автоматом срезает у вас от 70% до 90% потенциальных клиентов, которые занесли бы вам денежку в вашу кассу. По-умному, это называется КОНВЕРСИЯ, соотношения общего количества ЛИДОВ к количеству клиентов, купивших товар.
Так как же работает Бизнес Молодость, а все так же, по такому же принципу.
В России проживает 145 млн. людей, которые как вы думаете, хотят они быть богатыми или нет?
Конечно хотят!
Если у БМ на первом контакте 145 млн людей, и количество препятствий в виде сайта, телефонных звонков, перевода денежек и прочих около 4, тогда в самом худшем случае в конечном итоге будет 14,5 тыс. денежных переводов в кассу БМ.
Только они называют эту ситуацию, повышение ЛИДОВ и повышение КОНВЕРСИИ, но одного этого недостаточно.
Так мы плавно переходим к среднему чеку и транзакциям.
Умножим 14,5 тыс. денежных переводов на 20 тыс. руб. (стоимость курса), итого будет 290 млн. рублей в кассе БМ.
Если зайти на сайт БМ, то там будет достаточно много пакетов-обучающих курсов по разной цене.
И так, если произошел первый контакт, и клиент заплатил в кассу БМ за первый курс, то далее начинается проблема для клиента.
Эта проблема заключается в том, что если он успешно прошел первый курс, то он получает позитивную проблему в виде большего количества денег, при условии, если он попал с рыночной нишей в яблочко, то есть его товар расходится как горячие пирожки.
Если же клиент промазал с нишей, то все свои деньги за курс «он профукал», то есть потерял, и таких «студентов» в БМ будет тоже от 70 до 90 процентов.
НЕ БУДЕМ РАССМАТРИВАТЬ ЭТИХ 70—90 ПРОЦЕНТОВ ЛОХОВ, КОТОРЫЕ ДУМАЛИ, ЧТО ЛЕГКО ЗАРАБОТАЮТ СВОЙ ПЕРВЫЙ МИЛЛИОН, ДЕНЬГИ ЛЕГКО НЕ ДОСТАЮТСЯ, А БИЗНЕС МОЛОДОСТЬ НЕ ВОЛШЕБНАЯ ПАЛОЧКА
Все что делает Бизнес Молодость так это то, что правильно использует закон больших чисел или же воронку продаж, она же Гауссовское распределение.
И так, после того как успешно закончен первый курс и появились первые большие деньги, что с ними делать, человек впервые столкнулся такой проблемой.
Раньше денег не было, вот какая была проблема, теперь уже другая проблема, появились деньги в большом количестве.
ЧТО ЖЕ ДЕЛАТЬ С КУЧЕЙ ДЕНЕГ?
И вот тут опять появляется Бизнес Молодость, которая предлагает вам дополнительно курсы по более высокой цене.
У вас же деньги появились, и появились они благодаря БМ.
БМ знает, что делать дальше, именно поэтому они предлагают дополнительные курсы по высокой цене.
Здесь они повышают средний чек (стоимость курса) и предлагают другие продукты увеличивая общую денежную массу, в том числе и на количестве повторяющихся покупок одним клиентом (транзакции).
Таким образом БМ увеличивает средний чек и количество транзакций.
На их сайте есть дополнительные услуги, как-то хостелы для иногородних, создание лэндинг пейдж, CRM системы, со всего этого они получают проценты, ведь компании, которые предлагают услуги через сайт Бизнес Молодости, проверены ею, а значить однозначно по способствуют активному и взрывному увеличению продаж и как следствие обогащению слушателей БМ.
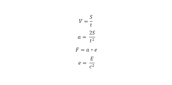
На первый взгляд все достаточно просто, и легко объяснимо, но проблема состоит в том, что зная, как работает формула Лиды*Конверсия*Средний чек*Транзакции=Выручка, встает вопрос, как это осуществлять на практике.
Как осуществлять в жизнь эту простую формулу, и тут встает такая «закавыка», которую Бизнес Молодость не дает конкретно для каждого вида бизнеса, и для каждой рыночной нише, где работает резидент Бизнес Молодости.
Если предположить, что в БМ знают, как работать конкретно в каждой рыночной нише, то конверсия резидентов, закончивших их курсы, была бы на уровне 50—60%, что очень хорошо с точки зрения математики. То есть количество успешных бизнесменов была бы 50—60%, а количество бизнесменов-лохов была бы 50—40%.
Теперь рассмотрим немного другой вопрос.
В предыдущей статье мы рассмотрели Гауссовское распределение, оно же – нормальное распределение случайных величин, оно же – закон больших цифр, или воронка продаж, как она называется в маркетинге.
И так мы выяснили, что если вы будете учится в БМ, то вопрос станете вы миллионером или нет, это вопрос случайности.
То есть, куда вы попадете, в число 30% счастливчиков или в число 70% лохов, это просто случайность, зависящая от многих факторов.
Как-то, угадаете вы с рыночной нишей, угадаете вы со своим информационным материалом, который будете предоставлять клиентам, угадаете вы с ценовой политикой, и так далее, всех этих случайностей будет все больше и больше.
В БМ эту проблему решили просто, большим количеством материалов, который железно будет перекрывать все эти случайности, и это правильно.
Но, вопрос стоит конкретно, попадете именно Вы в число 30% счастливчиков.
Для БМ это не имеет никакого значения, они работают с большим количеством клиентов, а не конкретно с вами, и их цель заработать на вас деньги.
А получится или не получится из вас преуспевающий бизнесмен, они оставляют это на госпожу великий случай.
У каждого человека имеются разные способности, разные возможности, разные интеллектуальные способности, разная мотивация, разная предрасположенность к тому или иному роду деятельности, разная удачливость, разная судьба в конце концов, заложенная Богом.
Есть супер удачливые люди, которые выигрывают в лотереи, есть полные неудачники, которым что ни поручи все провалят.
Давайте считать, что в человеке со средними способностями к бизнесу, вероятность стать богатым 30% и вероятность прогореть 70%.
И в человеке с низкими способностями к бизнесу, вероятность стать богатым 10% и вероятность прогореть 90%.
А теперь представим, что эти два человека играют в русскую рулетку.
Так вот, если дать им два пистолета, которые удовлетворяют выше названым условия, то мы получим, что человек со средними способностями получил револьвер, в котором, в барабане из 6 зарядов, будет заряжено 4 патронами, а человек с низкими способностями получит револьвер, в котором будет заряжено 5 патронов из шести.
Вопрос, кто в этой игре победит?
А победит в этой игре БМ, потому что принимают ставки и ничем, не рискуют, и ставки назад проигравшим не возвращают, хоть и не выполнили условие сделать их миллиардерами.
К этому вопросу еще вернемся, почему лохи не требуют возврата денег.
А также победителем выйдет человек со средними способностями, у него больше шансов выжить в сравнении с человеком с низкими способностями.
А представьте, что существует человек, у которого вероятность стать миллионером 70% и вероятность 30% разорится, такие люди тоже имеются.
Многие скажут, а как же работоспособность, честный и благородный труд, работа с утра до вечера?
Да все правильно, но одной работы с утра до вечера недостаточно, чтоб стать богатым.
Можно быть ленивым и зарабатывать много, можно быть работящим и зарабатывать мало, можно быть работящим и зарабатывать много, можно быть ленивым и зарабатывать мало.
Как видно от того сколько мы работаем размер денежного вознаграждения не зависит.
Все зависит от конкретного человека, от его свойств, причем не просто свойств, а множества свойств, некоторые записаны в нас от рождения с генами, некоторые мы развиваем в себе с детства, а другие приобретаем в своей профессиональной деятельности.
И так, если вы хотите идти на БМ, вы должны взвесить все, повторяю все свои возможности.
Потому что решается ваша судьба и решается она вами.
И теперь зададимся вопросом, сколько слушателей Бизнес Молодости, которые добились выдающихся результатов, продержались на волне успеха более 3 лет, хотя нет, пусть будет более 1 года.
Вы удивитесь, но статистика покажет следующее. Из того числа счастливчиков, что пробились в 30% успешных людей, на вершине бизнеса останется не более 10%.
То есть, если курс Бизнес молодости прошли 1000 человек, то успешными будет около 300 человек. Так вот спустя год, из этих 300 человек останется в бизнесе на плаву только 30 человек.
Воронка продаж действует и в этом случае, только действует более жестче, чем при открытии первоначального бизнеса.
Одно дело забраться на вершину горы под названием бизнес, другое дело удержатся на этой вершине.
А спустя 3 года как вы думаете сколько из 30 человек останется на плаву в бизнесе?
Останется всего 3 человека от всей массы в 1000 человек, спустя 3 года после прохождения курсов от Бизнес Молодости.
Вот такие пирожки от Бизнес Молодости. Никакого секрета в общем то и нет. Простое знание законов математики и умелое их использование.
Но, когда вы попадаете на их сайт, происходит что-то не вообразимое, волна позитивной энергии накрывает вас с ног до головы. Видеоролики с YouTube.com буквально перепрограммируют вам мозги.
На этом все и построено, дать вам позитивную энергию (пусть приукрашенную, с завуалированной правдой, такой правдой, чтоб не мешала зарабатывать деньги), выбить вас с холодного трезвого расчета и заставить вас купить курс от БМ.
Сказать, что не все достойны знаний от БМ, да собственно это не надо для большинства, таким образом набивается цена и искусственный дефицит.
В последующем читая главы о Стиве Джобсе и Хью Хефнере, вы лучше разберетесь в таких механизмах.
Правдивая информация скучная и не интересная, только ложная информация красивая, красочная и позитивная. На правде не заработаешь, а на лжи можно.
СОВЕТ
Я могу вам дать небольшой совет.
Соберитесь вместе, все друзья, такие друзья, которые не предадут друг друга, чем больше, тем лучше.
И создайте команду!!!!!!
Выясните кто самый удачливый, способный к учебе, который легко и просто может вам все объяснить.
Скиньтесь все вместе деньгами и отправьте счастливчика вашей команды на курсы БМ, чтобы он прошел их, изучил и вам все объяснил.
Вы действуете точно так же, как и БМ, используя знания больших цифр и используете их эффективнее, чем если бы вы записались на эти курсы один.
ИТАК
Вероятность проиграть в этой русской рулетке от БМ, около 70%, а вероятность стать миллионером 30%.
При условии, что вы человек со средними способностями, и никак ни готовились и не имеете опыт ведения бизнеса.
Ну, а если вы с рождения прирожденный лох и не удачник, то вам надо не в БМ, а к экстрасенсам и шаманам.
Эту вероятность можно повысить, если подготовится, а вот как её повысить в одной из следующих глав о научном подходе к бизнесу.
Так что же такое Бизнес Молодость лохотрон или действительно секрет к успеху и богатству?
Ни то, ни другое.
Как мы видим воронка продаж, которую использует Бизнес Молодость фильтрует всех, кто оплатил курсы, на 30% успешных бизнесменов и на 70% не состоявшихся, потерявших свои кровные деньги лохов.
Увы к сожалению, такова природа, таковы законы математики. Всем записавшимся на курсы и оплативших их не стать миллионерами. Справедливее было бы, если зная такую воронку продаж, в Бизнес Молодости возвращали бы часть денег, ведь условие, что любой, кто пройдет курсы от БМ станет миллионером они не выполняют, а возможно у них просто юристы хорошие, которые прописывают таким образом контракт, что с точки зрения закона все выглядит Тип-Топ, а не как грабеж для тех, кто не стал миллионером.
Бизнес Молодость делает e-mail рассылки, если кто подписался на них и читал их, то многое поймет, что здесь будет объясняться.
Мне приходит достаточно много писем от БМ и содержание их весьма загадочно и интересно.
Вы открываете их и читаете.
Первое, что можно сказать, в теме весьма интересный заголовок. Функция данного заголовка заключается в том, чтобы коротким сообщением заинтересовать вас, и что бы вы открыли и прочитали это письмо. Что же, если вы это сделали, то попали в 30% тех, кто тоже попался на эту уловку.
Далее вы, по ссылкам в этом письме, переходите на сайт Бизнес Молодости, где вам предлагают посмотреть видео или сразу купить какой-либо курс. Если вы пошли по ссылкам, вы опять попали в число тех 30% «счастливчиков».
И так, однажды открыв письмо и просмотрев видео, через сутки, поскольку я не стал горячим клиентом, т. е. не купил курс сразу, мне звонят и «переводят» в состояние горячего клиента.
Горячий клиент – это клиент, который сразу готов купить товар, он поэтому и горячий, что уже приготовился расстаться с денежкой.
У БМ есть функция отслеживания, кто переходит по ссылке и просматривает видео.
То есть, девушка, которая представилась, начала проводить обработку моей персоны, с тем чтобы я заинтересовался и купил их курс, начала переводить меня в состояние горячего клиента.
Я, в этот момент, был немного навеселе и в веселом расположении духа.
Задав пару уточняющих вопросов, Светлана назовем её так, начала рассказывать о всех преимуществах курсов от БМ и вылила на меня такой поток информации, что в конце её сообщения, я запомнил только одно слово и это слово было легализация.
Прикиньте я забыл даже как зовут её, забыл её имя, такой огромный поток информации она на меня вылила.
И тут я стал задавать вопросы, я спросил Светлану, а что происходит с теми 70% бизнесменами-неудачниками, которые не достигли у них успехов.
Её ответ поразил меня.
Она сказала, что – «Они ленились делать домашнее задание, поэтому не стали богатыми».
– Вы, так же, можете ленится на курсах Бизнес Молодости.
Ничего себе КУРСЫ ЛЕНИ от Бизнес Молодости за 27 000 рублей, подумал я.
В конечном итоге она сказала, что перезвонит мне через какое-то время, а пока она отправит мне ссылки на самых успешных бизнесменов, которые прошли их курсы и увеличили свои доходы.
Я ведь интересовался судьбой 70% «неудачников», а не судьбой 30% «счастливчиков», вытянувших счастливый лотерейный билет.
Согласно законам бизнеса, клиент всегда прав, Светлана должна была прислать мне кейсы «неудачников», я ведь интересовался их судьбой.
Но… Светлана прислал мне ссылки на кейсы «счастливчиков», заработавших и увеличивших свое состояние в бизнесе.
Я считаю, прежде чем предпринимать что-то, надо взвесить все факты негативные и позитивные.
Многие наверно скажут, что я какой-то идиот, который интересуется судьбой «неудачников», все не так просто.
Дело в том, что Светлана использовала в переговорах со мной скрипты.
Скрипты – это специально подобранные речевые шаблоны, позволяющие путем построения речи при помощи логических уловок, «убедить» клиента выполнить какое-то действие, как-то купить товар или кликнуть по корзине и многое другое.
И так, поскольку Светлана весьма агрессивно вела со мной переговоры, ну прямо-таки выдавливала из меня мое согласие купить курс от БМ, я начал проводить мероприятия по контрмерам в отношении самой Светланы.
Поскольку у меня имеется опыт, два года телефонных переговоров по 8 часов в день, у меня тоже есть определённый набор скриптов по «убеждению оппонента»
Я начал «ломать» ее скрипты, выводить ситуацию с логически выверенной схемы на уровень хаотичного абсурда.
Вот для чего я запросил кейсы неудачников.
Нашла коса на камень как говорится. Учите всю страну продавать и строить бизнес, а не можете сами продать свой товар и научить менеджеров правильно вести телефонные переговоры.
Вернемся немного назад, когда Светлана прислала мне кейсы счастливчиков.
Конечно же, я не смотрел их, все что они могут прислать так это только ту информацию, которая выгодно освещает их деятельность.
Если бы я перешел по ссылкам в письме и посмотрел, на следующий день мне бы позвонили, но я этого не делал.
Выждав около трех суток и убедившись, что я не смотрел их видео, мне все-таки позвонили.
В этом звонке, голос разительно отличался от того что было ранее.
Я услышал голос уставшей и грустной девушки, которой начальник произвел головомойку.
– Здравствуйте, ……………….
Ну что будете брать наш курс? – спросил уставший голос с претензией на то, что вам делают одолжение.
В телефонных звонках, а также электронных письмах я пытался прозондировать её на вопрос каким образом они работают, задавал наводящие вопросы, пытаясь выяснить ценную коммерческую информацию. Мне ведь все-таки интересно, на что я собираюсь потратить свои кровные.
Любые мои расспросы натыкались на молчание или перевод разговора в русло купите курс сейчас, потом будет дороже. Другими словами, её скрипты не содержали пункты, которые закрывали бы мои вопросы. А работать без скриптов, импровизировать в разговоре она не умеет, но зато её остро интересовали мои денежки.
В общем дальше рассказывать не стоит, пожелав друг другу удачи, я попрощался и сказал, чтоб звонили мне по чаще (метод от обратного, чтоб вообще мне не звонили) разговор закончился.
Наверняка она поставила напротив моей фамилии комментарий, идиот-больше не звонить, чего я и добивался. В данной ситуации лучше быть идиотом, чем лохом, который потерял деньги.
Светлана если вы сейчас читаете, то запомните.
Ни один клиент, не хочет считать себя лохом, и тем более, чтоб его считали лохом и «жертвой».
Именно поэтому те, кто прошел курсы от БМ и потерял деньги, так и не став богатым и успешным и не поднимают волну, что они стали лохами потерявшими весьма большие по их меркам деньги.
Стыд, вот что заставляет молчать и не подавать в суд на БМ этих людей, кто думал, что так просто можно стать богатым миллионером.
БМ пользуется этой психологической ловушкой, но у этой ловушки есть и второй конец, количество лохов растет быстрее, чем количество миллионеров и среди лохов растет количество людей, у которых нет такого понятия как стыд.
Когда критическая масса лохов вырастет до определенного уровня, в интернет сообществе пойдет информационная атака на БМ.
А в последующем и иски в суды, так как обещание надо выполнять, а в отношении 70% эти обещания остались не выполненными.
Как говорится в китайской пословице, ты сказал я поверил, ты повторился у меня возникли сомнения, ты стал настаивать, я отказался.
Вот в вкратце мой разговор и общение по телефону с БМ.
Может быть я и записался бы на курс БМ, но не после того, когда вас считают жертвой и лохом с которой нужно и надо поиметь деньги.
В дальнейшем я отписался от их рассылок и внес их е: mail в черный список, как думаете, что произошло дальше?
А дальше происходит следующее.
На мой адрес начинают приходить письма аналогичного характера, текст конечно другой, но рука одного и того же составителя содержания этих писем чувствуется.
Причем письма приходить стали от другой фирмы, разница в этих письмах была в том, что материалы, которые опробовались 3 года назад в БМ стали не работающими в нынешнее время, сохранились, и они стали присылаться от другой компании и с другого почтового ящика.
Да уж, вот что значит информационной поток превратившийся в спам. Я не разбираю вопрос этичности, я лишь констатирую факт, что компания Бизнес Молодость работает обычным количественным методом, просто перебирая большой поток информации, авось что-нибудь и сработает.
И здесь нет никакого секрета.
Что же, могу констатировать еще один факт, что Бизнес Молодость хорошо работает с большим потоком клиентов, большой массой людей, но плохо работает с каждым конкретным человеком.
Маленький под итог.
Если во время переговоров вас «загружают» большим объемом информации, стоит насторожится.
Если переговоры идут в «одни ворота», когда одна сторона молчит, а другая слишком активно напирает, что-то ни чисто.
Если одна сторона демонстрирует в переговорах превосходство, моральное, материальное, интеллектуальное и прочее, вас выбрали в роли «жертвы».
А теперь как должны вестись переговоры.
Во-первых, диалог должен вестись на равных, это значить, что время, которое говорит одна сторона должно примерно быть равно времени, с которым говорит другая сторона.
Во-вторых, количество вопрос должно быть примерно одинаковым как с одной стороны, так и с другой.
В-третьих, ни одна из сторон не должна ставить в неудобное положение другую сторону.
Если все-таки вы нарушаете эти правила, то эти нарушения не должны резко выделятся, бросаться «в глаза» и отпугивать другую сторону.
Пример из жизни на котором надо учится.
Давайте просмотрим жизненный путь Джека Ма (Ма Юань – китайское имя)
Рассматривать все, что написано в интернет мы не будем, нас интересует его методика, при помощи которой он выводил Alibaba Group на рынок, неудачи рассматривать тоже не будем, так как это период становления и кристаллизации его методики покорения рынка.
Нас интересует его готовый и отшлифованный бриллиант – методика завоевания рынка, точнее говорить его методика работы с командой, которая и выводила информационные продукты на рынок.
Потом мы сравним Джека Ма и Стива Джобса и у видим в чем разница между ними, точнее между их стратегиями работы. Вы тоже можете проанализировать их работу и посмотреть, где в их стратегии есть огрехи и как их стратегия вписывается в физико-математическое моделирование.
И так, путь к бизнесу у Джека Ма начался с поездки в США в качестве переводчика с английского в 1995 году. Во время этой поездки Джек Ма познакомился и интернетом.
Приехав в Китай он создал небольшую фирму и запустил сайт китайские желтые страницы. Через три года его компания заработала 800 тыс. долларов. Фирма была настолько маленькая, что размещалась в его квартире.
Давайте запомним, где размещалась его фирма.
В 1998 он возглавил Международный центр китайской электронной торговли, являвшийся подразделением Министерства внешней торговли и экономического сотрудничества. Работа в этом ведомстве позволила ему обрести нужные связи в высших эшелонах китайского правительства.
В 1999 году он уходит с багажом связей в правительстве и создает компанию Alibaba Group вместе с 17 друзьями. Они создают сайт-площадку для торгов средних и мелких предприятий Китая. Но компания все еще работает себе в убыток.
В 2000 году Alibaba Group выиграла в конкурентной борьбе инвестиции на 25 миллионов долларов венчурного капитала, но все равно продолжала нести убытки.
В 2002 году прибыль составила 1$.
1 доллар – это рубеж, после которого прибыль Alibaba Group уже росла как на дрожжах.
С этого момента мы может говорить, что Джек Ма, начал воплощать в жизнь ту успешную стратегию, которую он в свои мыслях вытачивал, опробовал, отшлифовывал, проверял и перепроверял с 1995 года по 2002 год и терял на этом этапе деньги.
То есть, мы можем говорить, что Джек Ма прошел стадию становления как бизнесмен с 1995 года по 2002 год. А с 2002 года, по настоящее время он просто механически на автомате использует все успешные наработки, прошедшие проверку в период становления.
Настоящим прорывом Alibaba Group стало создание торговой площадки www.alibaba.com, позволяющая находить экспортерам из Китая, клиентов в США и по миру.
В 2003 году запускается сервис TAOBAO.com, аналог eBay.com, проект настолько успешный, что вытесняет eBay с рынка Китая.
Компания eBay, предлагают выкупить Taobao у Джека Ма, но он отказывается и находит инвестора, американца китайского происхождения, основателя Yahoo Джерри Янга и получает инвестиции в размере 1 миллиарда долларов.
Дальше рассказывать не интересно, дальше все пресно и по на катаной схеме.
И так, СЕКРЕТНАЯ методика от Джека МА – СИМСИМ ОТКРОЙСЯ.
Начинал Джек Ма, как я вам уже и говорил в собственной квартире, там собралась команда единомышленников. В тесной обстановке шел не прекращающийся процесс обсуждения и опробования маркетинговых методик и стратегий. Проверялись все возможные методы распространения сервиса своего сайта.
Китай тогда в плане интернета был еще не сильно развит, не каждый китаец мог позволит себе дорогой компьютер, тем более хороший интернет.
Позволить его себе могли только компании и фирмы.
Расчет и был поставлен на эту аудиторию. А также на их желании найти клиентов и тем более найти их за рубежом, а это надо вам сказать доллары, а не юани.
И так, создав сайт Alibaba.com, надо было всех производителей «загнать» туда.
Работа надо вам сказать и правда очень тяжелая, заставить китайцев работать в интернете на английском языке, где в школах тогда мало где преподавали английский, а на заводах просто был недостаток менеджеров, владеющих английским.
Как это ему удалось, он до сих пор хранит в секрете. И мы тут можем только гадать.
Но получив инвестиции в размере 25 миллионов американских рублей, он успешно справляется с этой задачей.
И все это осуществляется в его небольшой квартире.
После получения инвестиций и переезда команды в офис по просторнее, набора дополнительных программистов, дизайнеров, менеджеров, Alibaba Group начала размеренную жизнь преуспевающей компании, у которой все процессы идут размерено и планомерно. Хоть прибыли еще и нет.
Казалось жизнь удалась.
Но Джек Ма знал принцип, не хранить все яйца в одной корзине.
И он кидает клич о создании секретной команды, в обязанности которой будет разработка принципиально нового сервиса. Идет набор сотрудников из уже созданной компании Alibaba.
И как вы думаете, где они разместились?
Все правильно в его небольшой квартирке.
Метод, который сработал ранее, был поставлен на поток.
Счастливая квартира и её волшебная среда, как средство для обогащения.
Действительно, эта его квартирка, есть ни что иное как пещера сокровищ из сказки про Алибабу и 40 разбойников, так называемая СИМСИМ.
В 2003 году из его квартирки выходит сервис Taobao.com целиком и полностью на китайском языке, а это уже прорыв.
Прорыв настолько революционный, что eBay пришлось уйти из Китая, попытка перекупить у Джека Ма его компанию, со стороны eBay не привела к успеху.
Запущенный проект разросся, и маленькая квартирка стала маловата для проекта Taobao, и вновь мы наблюдает переезд в новый офис, набор дополнительных сотрудников. Дальше идет планомерная и скучная работа по расширения и модернизации уже готового сервиса.
Аналогично было с сервисом Ali Express, Ali Pay, Ali Mama, механизм по отбору наиболее целеустремленных и зараженных глобальной идеей развития и расширения работал безотказно.
Не каждый сотрудник согласиться бросить проект, в который вложил много сил и труда, уйти из просторных и комфортабельных условий, чтобы вновь испытать адреналин, который был испытан в маленькой и душной квартирке Джека Ма.
То есть, мы можем говорить на данном примере, что Джек Ма постоянной интриговал свой коллектив на великие свершения, постоянной возбуждал интерес своих сотрудников к достижению цели и отбирал из их числа людей готовых пойти к новым горизонтам.
Быть первым в Китае это быть первым в мире. Так как в Китае живёт больше всех людей в мире и Китай – это огромный рынок.
Сравните акценты у Джека Ма и Стива Джобса.
Стив Джобс интриговал с рынком, а Джек Ма интриговал со своим коллективом.
Стив Джобс акцентировал внимание рынка на своем товаре, а Джек Ма акцентировал внимание на свой коллектив. В дальнейшем вы прочитаете главу про Стива Джобса.
Стив Джобс создавал уникальные товары и продукты для продажи, а Джек Ма создавал уникальные коллективы, которые выпускали рядовые, но массовые услуги.
Вот он секрет Джека Ма, создать команду мечты и не одну, а несколько.
Теперь поговорим немного о взаимоотношениях Джека Ма с инвесторами.
Инвесторы постоянно его спрашивали, когда будет отдача от вложенных денег, требовали от него множество отчетов и обещаний, когда наконец он начнет зарабатывать для них деньги.
Но деньги для Джека Ма это не само цель, деньги для него всего лишь средство достижения цели.
А целью его было, создание команды мечты, которая сможет зарабатывать деньги как печатный станок.
И формирование его команды мечты происходило в его небольшой квартирке.
С 1995 по 2003 год происходило становление команды мечты, если говорить конкретнее формировалось ядро, которое сможет, выполнить любую поставленную сверх задачу.
Естественно, это ядро обрастало новыми слоями, но если новые слои уходят по прошествии времени, то ядро всегда оставалось.
Когда инвесторы сильно напирали на него, только тогда он давал команду сотрудникам.
– «Давайте заработаем немного денег для инвесторов».
То есть ему, чтоб построить свою команду мечты, приходилось играть в кошки мышки с инвесторами.
Победителей не судят, а Джек Ма победитель, и победил настолько уверено, что инвесторы, которые были на первых порах в проигрыше в последующем крупно выиграли.
Все остальное про Джека Ма, вы знаете лучше меня, а если не знаете, то интернет вам в помощь.
А теперь мы рассмотрим случай из жизни, а именно, каким образом Стив Джобс выводил IPhone на рынок и сделал его самым желанным продуктом, за которым выстраивались очереди в магазинах.
Мы рассмотрим всю кухню основываясь на физико-математическом анализе информации в интернете, а именно не той информации, которую переписывают, а другими словами искажают множества блогеров и журналистов, которых использовали в темную сами работники Apple и Стив Джобс лично, а первоисточники, пресс-релизы компании Apple, с чего все начиналось.
Подходить к анализу информации надо осторожно, потому что её дают журналистам с прицелом и с целью получить от них какой-либо бизнес результат.
Поэтому если Стив Джобс что-то говорил, то к этому надо относится с вероятной долей скептицизма и задуматься, что он этим хочет добиться.
Вы, наверное, думаете, что компания Apple с начало сделала IPhone, а уже потом начала его вывод и запуск на рынок.
Нет, нет и еще раз нет!!!!!!!!
Все было как раз наоборот.
Все началось с пресс конференции, на которой Стив Джобс заявил, что компания Apple приступает к производству самого лучшего в мире смартфона.
Заметьте это сказал человек, который вывел на рынок первый персональный компьютер. А его слова чего-либо да стоят в денежном выражении.
Были сказаны только слова, ни чего конкретного.
Что происходит дальше?
Все, кто присутствовал на конференции сразу начали обсуждать информацию, сказанную ГУРУ IT индустрии.
Масс-медиа оживились, начались обсуждения, интернет взорвался информацией, что скоро Apple будет выпускать смартфоны, которые она вообще ни выпускала, сможет ли Apple противостоять Самсунгу, у которого весьма высокая доля дорогих смартфонов на рынке.
Другие словами пошла информационная волна, сразу начали обсуждать как будет выглядеть IPhone, и т. д.
В это время маркетологи компании Apple начинают анализировать интернет пространство на предмет заинтересованности рынка новым продуктом, который выбросит на рынок компания Apple.
Заметьте еще нет готового IPhona, нет даже прототипа его, нет его даже на бумаге в чертежах.
Но есть только ИДЕЯ.
ИДЕЯ – Смартфон от Apple, будет самым лучшим, будет лучшее железо, будет лучшее программное обеспечение.
И так, после анализа маркетологами интернет пространства выяснилось, что рынок заинтересован в смартфоне от Apple.
С момента объявления о новом смартфоне от Apple прошло два месяца, время достаточное для сбора статистики в интернете, и маркетологи выдали анализ с положительным ответом.
Если анализ оказался бы отрицательный, вышел бы просто пресс-релиз, в котором указали бы, что Apple отказывается от осуществления данного проекта по какой ни будь формулировке.
Дальше в игру вступают инженеры и проектировщики.
Вот, начинается процесс запуска IPhona в жизнь.
Почитайте в интернете интервью Стива Джобса, в скользь он упоминает, что для сотрудников дал команду, теперь работать над этим проектом будут и день и ночь.
Зачем такая напряженность, такие сверх человеческие усилия, и день и ночь работать. А затем, что рынок требует к определенному сроку смартфон от Apple. А этого смартфона еще и в помине нет.
И так, инженеры и программисты начинают создавать смартфон в его первоначальном виде, начинает что-то вырисовываться.
В это время интернет пространство начинает забывать про IPhone, и тут «как бы появляется утечка информации» очень даже вовремя, в сети интернет появляются первые фотографии как будет выглядеть IPhone.
Конечно у людей с такой репутацией как Стив Джобс ни бывает ни чего случайного, утечка была специально устроена, для подогрева интереса интернет сообщества, то бишь рынка к своему продукту.
Масс-медиа опять начинают обсуждать новую информацию из стен лаборатории Apple. Интернет сообщество опять «возбудилось» новой секретной, закрытой информации из самого сердца Apple. Люди начинают обсуждать то, чего еще нет на рынке, то чего еще нет в природе, а в природе есть только проект и идея данного проекта.
Инженеры и программисты усилено работают над проектом смартфона, подключаются к проекту дизайнеры. Работы для инженеров прибавилось, так как требования дизайнеров и самого Стива Джобса усложняют работу.
Время идет, смартфон еще не готов, работники Apple не высыпаются, но работа кипит.
Проходит еще какое-то время, интернет сообщество опять начинает забывать о IPhone.
В средствах массовой информации появляется «вторая утка», опять утечка информации из самого сердца Apple, достоянию общественности представлены еще фотографии IPhone.
И конечно опять, данная утечка информации была спланирована Apple для поддержания интереса рынка к своему смартфону. Но люди этого не знают, что утечка оказывается спланирована.
Интернет сообщество беснуется в экстазе, все обсуждают недавно появившиеся фотографии, рынок «перевозбужден» сообщениями об IPhone.
Маркетинговый отдел анализирую интернет пространство и дает весьма радужные прогнозы о предстоящих продажах.
Наконец начинают запускать и опробовать линии по производству, но сам смартфон еще не собирают.
Опять проходит какое-то время, интернет пространство стабильно, не теряя интереса к IPhone все еще на инерции продолжает обсуждать смартфон, которого еще в природе не существует.
Наконец выходит пресс-релиз, на котором официальным языком объявляют, что все предыдущие фотографии, ни чего общего с настоящим iPhone не имеют, опровергается вся и любая информация, которая может принести урон будущим продажам.
Запускаются линии по сборке готовых к продаже IPhone.
Проходит опять какое-то время, и сам Стив Джобс в свойственной себе манере на пресс-конференции, вытаскивает IPhone из кармана и представляет его на всеобщее обозрение.
Публика в полном восторге, еще бы её подогревали и интриговали на протяжении долгого времени.
Люди начинают занимать очереди, за несколько недель до официальных продаж, в те магазины, в которых будут продавать IPрone.
Конец спектакля, начались продажи.
Все остальное, вы знаете лучше меня.
Давайте немного поговорим об «утках» в виде множества фотографий, которые представляли, как будет выглядеть IPhone.
Почему именно фотографии были предметом утечек информации?
Дело в том, что дизайн нового продукта имеет огромное значение.
Каким бы хорошим не был в техническом плане смартфон, если у него дизайн не удовлетворяет клиента, он продаваться не будет.
Это подтвердили продажи такой компании как Моторола, в техническом исполнении её смартфоны были сделаны великолепно, даже опережали свое время, но дизайн полное г…..но.
Настолько полное г… но, что Мотороле пришлось уйти с рынка смартфонов и сотовых телефонов.
А ведь могли нанять лучшего дизайнера и стать законодателями рынка смартфонов, но не судьба,
Фортуна улыбнулась Стиву Джобсу и его Apple.
Apple нуждался в таком дизайне, который будет удовлетворять все возрастные, половые, социальные, национальные группы и сегменты рынка.
Для этого надо было тестировать рынок с использованием весьма дорогих аналитических агентств и не факт, что их анализ даст хороший результат.
Поэтому маркетологи и дизайнеры прибегли к специально устроенной утечки информации, чтоб узнать мнение потенциальных покупателей, какой дизайн будет нравится абсолютно всем социальным группам населения.
То есть, другими словами у населения просто спросили в завуалированной форме, какой дизайн им нравится.
Если, представим себе на минуту IPhone круглый, как женское зеркальце, дизайн причудливый и резко выделяется на фоне остальных смартфонов, то Apple потеряла такую аудиторию как мужчины.
Именно поэтому ни чего сверх дизайнерского в IPhone нет, обычная коробочка, легко помещается в карман и углы закруглены, чтоб дырки в кармане не делать.
Все гениальное просто.
Такая универсальная форма нравится абсолютно всем категориям покупателей.
Для поддержания высоких доходов Apple прибегает к стратегии дефицита IPhone на рынке.
Вот почему на одну и туже модель разная цена, в зависимости от привязки клиента к определенной сетевой службе.
Пример из жизни номер три.
Хью Хефнер основатель всемирно известного журнала Playboy, когда-то его считали порнографическим, а сейчас считают эротическим. Историю и биографию рассказывать не буду, её вы можете прочитать в интернете.
Нас интересует такой вопрос, каким образом расширял рынок сбыта Хью Хефнер.
Первый выпуск журнала Playboy с фотографией Мерлин Монро на обложке в декабре 1953 года очень удачный, за неделю раскупили 70% всего тиража.
Хью Хефнер не ожидал такого прорыва, на столько не ожидал, что даже решил не ставить номер на обложку своего журнала.
Однако дело пошло, ему оставалось только ухватится за хвост счастливого случая и оседлать его.
Считается, что в Америке сексуальная революция произошла благодаря этому первому номеру. Семена упали в благодатную почву. Рынок и потенциальные клиенты только и ждали именно такой журнал, который удовлетворял их интерес.
Голая Мерлин Монро на обложке журнала это классный ход, привлечь внимание читателей журнала.
Представьте на минут себя, на месте американского обывателя, если конечно вы не девушка. Вы идете по улице и у прилавка газетного магазина видите журнал с обнаженной Мерлин Монро. Один единственный журнал, который буквально кричит купи меня.
И вот вы покупаете журнал.
Вы купили журнал, только из-за обложки. Что будет в самом журнале, какой текст, вас пока не интересует, посмотрев на обложку вы понимаете, что в журнале может быть интересная статься о Мерлин Монро.
И вот, вы начинаете читать сначала только часть самых интересных заголовков, а потом все полностью.
Прочитав весь журнал, вы стоите перед выбором, а действительно ли журнал такой интересный, стоит его покупать и читать в дальнейшем?
Графика журнала и фото – это то, что привлекает внимание, задача редактора является заинтересовать читателя и сделать все, чтобы читатель прочитал статью, и более того остался довольным статьей, так сказать был удовлетворен купленным товаром и его деньги не пропали даром.
Если графика, привлекающая внимание, дело достаточно наживное, в виде достаточного количества голых девиц, то вот тексты журнала, ради чего он и существует, это уже проблема.
Так каким образом, Хью Хефнер искал журналистов, и не простых, а самых популярных, которых читают много людей и как он договаривался о ними. Как налаживал работу редакторов, которые выпускают свежие выпуски Playboy на рынок.
О чем вообще писалось в журнале, какие темы затрагивал журнал. Какую нишу занимал журнал, ведь в Америке достаточно много газет и журналов, как он конкурировал с ними.
Давайте по порядку.
Во-первых, журнал в Америке считался порнографическим, ведь на обложке всегда красовалась какая ни будь красотка с аппетитными формами. Естественно ввиду этого многие конкуренты, пишущие на политические темы не рассматривали данный журнал в качестве хищника, который позарился на их рынок респектабельных журналов и газет политического характера, как-то Вашингтон пост, Нью-Йорк дейли и т. д.
Более того, Хью Хефнер использовал это прикрытие, что его журнал считали желтой прессой, для того, чтоб писать острые политические статьи.
Он один из первых написал у себя в Playboy статью о расовой сегрегации в Америке.
Не мыслимо для Америки.
В те годы, это была достаточно больная тема для Америки с туалетами для белых и черных, с магазинами для белых и черных, с ку клукс кланом линчевавших негров и т. д.
Никто из респектабельных газет и журналов, не мог себе позволить такую смелость, писать на такие темы.
Однако Playboy, мог себе позволить писать острые политические и социальные статьи и не просто писать, и распространять по всей Америке. Ведь в серьез, никто не воспринимал порнографический журнал.
Другими словами, порнография была прикрытием, благодаря чему людям доносилась информация, которая была им близка, и они хотели читать и знать о ней.
Playboy печатал то, чего боялись напечатать другие издания.
Вот золотая жила, которая принесла успех и богатство Хью Хефнеру.
Второе, чтобы писать такие острые политические статьи, надо было искать журналистов и писателей, которые хорошо знают тему.
Мало найти, надо еще и уговорить, чтоб они написали политическую статью для порнографического журнала, это уже проблема по больше.
Тут мы плавно переходим к вечеринкам в особняке Playboy.
И так, чуть ли не каждый день в особняке Playboy проходят вечеринки с голыми девицами, с бесплатным алкоголем, вся Америка с вожделением следит за особняком, и в тайне каждый хочет участвовать в этих вечеринках.
На само деле все это ширма, дымовая завеса, кто будет из ФБР трогать парня, который ведет такой асоциальный образ жизни, в компании голых девиц. Тем более делать ему бесплатную рекламу, как борца за свободу слова и политического мученика, и деятеля.
Конечно для Хью Хефнера открылись ворота рая, которые сам он и создал.
Для чего проводились эти вечеринки?
После того как слава об особняке Playboy и оргиях прокатилась по Америке, на пике сексуальной революции. Многие рядовые американцы сами хотели туда попасть, но вот без приглашения, никто не мог туда попасть. Ворота рая были закрыты перед рядовым американским обывателем.
И вот представьте себе, вы журналист достаточно популярный и вам приходит приглашение. Естественно вы хотите попасть туда.
Вот таким простым не хитрым способов, вербовались самые пишущие и читающие журналисты.
Но и это оказывается не проблема. Проблема в том, что можно написать «убойную» статью, её прочитает вся Америка, а следующие статьи читать никто уже не будет, нет подходящего «убойного» материала.
Надо снабжать материалом журналистов, чтоб они писали не останавливаясь и писали качественный контент.
И эта проблема снимается на вечеринках в особняке Playboy.
Приглашения туда получают не только журналисты, но и бизнесмены, которые хотят пропиариться в Playboy, писатели, политики, актеры кино и театра, художники, политические обозреватели, люди разных социальных кругов и статуса.
Другими словами, там собирались люди, которые обменивались информацией, а информация у Playboy это товар который приносит деньги.
Особняк Playboy это площадка, где зарождалась информация, которая в последующем оформлялась в журнал под громким названием Playboy, с голыми девицами, добавленных для разбавления материала.
Голые девушки на вечеринках, веселье, бесплатный алкоголь, все это расслабляет посетителей, и они начинают высказывать свое мнение о политических событиях, об экономике, о многом еще чего, которое обычно в нормальной обстановке не высказываешь.
Тут главное успеть записать информацию.
Вот для чего оказываются устраивались вечеринки.
И отдохнуть, и поработать одновременно.
Свидетельством такого принципа, и работай и отдыхай одновременно, показывают многочисленные фотографии самого хозяина особняка, он часто виден на фото в домашнем халате.
Политика и порнография – гремучая смесь, а запретный плод манит своей сладостью, вот он рецепт успеха Хью Хефнера.
Не он шел к читателям со своим журналом, а сами читатели-покупатели хотели оказаться в том мире который он создал, а журнал это всего лишь окно из этого райского места и не просто окно, а окно с политическим ветерком.
Пример из жизни номер четыре, «плохой пример»
В данной главе информация представлена инсайдером из глубин Сбербанка.
Если кто считает, что данная информация ни имеет ни чего общего с правдой и все что здесь сказано полная ложь, пусть она будет считаться сказкой рассказанной охотником на привале, ну или полной туфтой.
Как говориться «за что купил, за то и продаю».
И так, на примере этой главы мы будем учится не на хорошем примере, а на плохом.
Да, да на плохом примере тоже можно и надо учится.
Приступаем.
В Сбербанке со слов инсайдера, был запущен программный продукт под названием биржа инноваций, то есть это сайт на котором все работники сбербанка предлагают свои идеи для улучшения производственных процессов банка.
В современной терминологии данная работа называется краудсорсинг (украдисорсинг – передача некоторых производственных функций неопределённому кругу лиц, решение общественно значимых задач силами добровольцев, часто координирующих при этом свою деятельность с помощью информационных технологий.)
В простонародье называется «одна голова хорошо, а две еще лучше».
Так вот на разработку данного сайта сбербанк ухлопал много денег, была разработана целая программа по внедрению инноваций, была создана комиссия, которая анализировала предложения, были созданы целые отделы в обязанности которых входили анализировать входящую информацию, отсекать мусор и передавать материалы комиссии.
Были наняты бизнес-тренеры мирового уровня, которые работали с работниками инновационных отделов.
В общем были выделены деньги и весьма нехилые.
То есть работы, времени и денег было потрачено достаточно много.
Да что много, очень много.
Но вот вопрос, работники сбербанка не очень хотели тратить свое личное, не рабочее время на новую игрушку сбербанка, потому что в рабочее время надо работать, а не инновациями заниматься.
А непосредственные руководители лично следили, чтоб люди занимались своими прямыми обязанностями, потому что им надо отчитываться о результатах работы своих отделов. Как говорится на лицо конфликт интересов.
И тут топ менеджеры решили сыграть ва-банк.
Они предложили материальное вознаграждение до 10% от экономического эффекта инновации, но не больше 1 миллиона рублей.
Народ, что говорится не клюнул.
И в почтовые ящики работников сбербанка пошел информационный поток о том, что комиссия по инновациям решила отметить группу разработчиков программного продукта, который смог улучшить производственный процесс.
Были фотографии, грамоты, благодарности от получателей денежного вознаграждения, поток этой информации лился достаточно долго в почтовые ящики сотрудников.
Раскручивали эту группу и щедрость сбербанка по отношению к ней тоже долго.
Группа разработчиков получила что-то около 30 тыс. рублей на каждого.
Вопрос, а действительно разработчики создали что-то инновационное?
Со слов инсайдера, они просто написали скрипт, позволяющий перенаправлять информацию, которую раньше направляли на стримеры для её хранения, на сервера предназначенные для хранения массивов информации и что ярко подчеркивалось, что информация уходит по протоколу FTP.
Не знаю на сколько правильно запомнил и изложил мысль, но со слов инсайдера ни чего инновационного в этом нет, тем более не понятно, что написать скрипт может и один человек.
Естественно после такой презентации, работники сбербанка массово завалили инновационными предложениями сайт биржи идей.
Если раньше Бурятия по количеству заявок и предложений плелась в хвосте, то после того, как материально поощрили группу «инноваторов» по 30 тыс. рублей каждого, Бурятия попал в тройку лидеров по предложениям.
В течении года поток инновационных предложений от работников бурятского филиала Сбербанка стабильно держался в тройке лидеров.
Люди верили в денежное вознаграждение от сбербанка на протяжении года и самозабвенно выкраивали свое личное время, чтоб правильно оформить идею, корректно сформулировать свои мысли, сфотографировать или снять на видео процесс до и после. Рассчитывали экономические показатели от внедрения их идей, искали независимых экспертов, которые дадут «за бесплатно» положительный отзыв их разработке.
Отстаивали свои идеи на сайте, ведь идея подвергалась критике со стороны пользователей сайта биржи идей.
Повторяю, люди тратили свое личное время в обеденные перерывы, оставались после работы, раньше приходили на работу на час, а иногда и два. Поскольку все, как правило семейные люди, то время которое должно было быть потрачено на воспитание детей, на приготовление домашней еды, и прочие домашние хлопоты, все оно уходило на сбербанк.
То есть, грубо говоря подарив надежду, сбербанк украл родителей у детей не получивших должного воспитания и питания.
И более того, если инновационная идея действительно хорошая, то человек предложивший её получает только вознаграждение и отказывается от её владения.
То есть с момента того, как инноватор опубликовал свою идею – рацпредложение, он уже не является её владельцем.
Сбербанк ваша семья, вот лозунг для работников сбербанка. Несите все в семью.
И так продолжим далее.
Настает время Ч надо награждать работников, которые прошли через все препятствия, которые доказали, что их идеи стоит внедрять. Призовой фонд не резиновый, его надо распределить среди конкурсантов и чем больше снимешь по разными предлогами соискателей, тем меньше выплатишь.
Вот уж головная боль у топ-менеджеров, как сократить выплаты Бурятии, третьей команды по количеству заявок по России
Не будем ломать комедию, сразу скажем, что мало кто получил призовые деньги, а если и получили, то по минимуму. Большинство получили только грамоты и сертификаты на скидку в книжном магазине.
Причем за эти сертификаты сбербанк даже не заплатил книжному магазину, а получил в качестве бесплатного презента. Ведь работники сбербанка захотят обналичить эти сертификаты и сами придут в книжный магазин.
Надо же как-то горе-инноваторам получить хоть какую выгоду от своего тяжелого интеллектуального труда.
Книжному магазину самому выгодно бесплатно отдать сертификаты сбербанку. Таким способом книжный магазин принудительно создает клиентский поток покупателей в свой магазин.
Вот и все денежное вознаграждение.
А как же 10% от экономического эффекта, спросите вы?
А ни как, вы представляете, ни как, просто пшик…
А теперь ответьте на вопрос, после такого вознаграждения, кто-нибудь еще связывался с биржей идей?
Правильно, никто больше ни хотел тратит свое время на такие мелочи как грамоты и сертификат со скидками на книги.
Напоминает Китай времен Мао Дзе Дуна, когда люди вместо еды и денег, за свой труд, получали книжки с портретом своего великого кормчего
И уже в следующем году по количеству заявок и предложений Бурятия скатилась вниз.
Но ведь у филиалов сбербанка есть показатели, которые надо выполнять, есть и показатели по количеству инновационных предложений.
Что предпринимают топ менеджеры в Иркутске (Байкальский банк Сбербанка РФ, Иркутск – место где сидит руководство для иркутского филиала, бурятского, забайкальского, якутского)
Ни чего умного они уже придумать не могут.
Максимум на что они способны, это на двухходовые комбинации, а просчитать дальнейшие ходы на три, четыре хода и далее не в состоянии.
Они издают указ, где в приказной форме заставляют все отделы, раз в квартал представлять инновационные идеи в количестве 3 штуки и чтоб они были утверждены инновационной комиссией.
С дураками спорить себе дороже, подумали сотрудники.
И на сайт биржа идей полился поток чуши.
Привожу один из примеров чуши со слов инсайдера.
Проблема – у деревенских отделений сбербанка есть проблема, мухи летают, бороться с мухами при помощи лент ловушек уже не эффективно, так как мухи, которые попали на ленту дают сигналы своим еще не попавшимся в цепкий, клейкий раствор лент мухам, и мухи не садятся на ленты мухоуловители.
Решение проблемы. Данную проблему с мухами можно решить при помощи принудительного насаживания мух на клейкую дорожку мухоуловителя методом воздушного сдува.
Использовать для этих целей можно вентилятор, направив воздушный поток от вентилятора на ленту мухоуловитель, и муха, попавшая в этот воздушный поток будет сдута на липкую ленту.
Ну не чушь ли?
Пример номер 2
Проблема – иногда операционист не может ответить на вопрос клиента,
Решение проблемы. В этой ситуации надо подтянуть руководителя или старшего смены.
В теме обсуждения данного предложения один из участников отвечает.
Куда подтянуть старшего, где он должен подтянуться, на турнике что ли?
Более того появились индивидуумы, которые стали мемами и лидерами по количеству генерируемого мусора.
И это только маленькая толика той чуши, которая залила сайт биржи идей, но с этим же надо бороться.
И выходит новый приказ, отделу X разработать инструкцию по предотвращению чуши.
И вы представляете выходит такая инструкция, что прежде чем писать свои инновационные предложения на сайте, они первоначально должны пройти через отдел инноваций, где обязаны пройти экзаменацию на предмет чуши.
Смотрите что получилось: – Хотели, как лучше, а получилось, как всегда.
Подарили людям надежду, потом отобрали надежду (деньги пожалели) и получили себе геморрой в виде чуши, для которой создали отдел, чтоб фильтровать эту чушь от реальных инновационных идей, которые уже там навряд ли появятся.
По мне, то что они сделали, так просто выкинули деньги в мусорку в прямом и переносном смысле, в виде разработки сайта для сбора мусора, создания отделов для фильтрации мусора, работники потратили свое время, а последующем не стали тратить и просто начали скидывать на сайт мусор.
Так почему же глава называется сбербанк и украдисорсинг?
Тут начинаются еще более интересные вещи.
На сайте бирже идей есть возможность общаться абсолютно анонимно, вне зависимости зарегистрировался ты или нет.
Так вот все, кто использовал данный сайт стали замечать странные тенденции.
Если человек предлагал стоящую идею, действительно инновационную, то в процессе её обсуждения появлялись люди, которые откровенно эту идею валили, идея набирали отрицательные отзывы и в дальнейшем она не доходила до стадии её внедрения.
Через месяц, эта же идея появлялась оформленная другими словами и под другим соусом. И люди, которые травили предыдущую идею уже откровенно и позитивно поддерживали её, но вот авторами этой иди становились топ менеджеры сбербанка.
Если идея была достаточно сложной в плане реализации, новые авторы выходили на контакт с реальным автором и предлагали за небольшое вознаграждение осуществление данной идеи.
Естественно мелкими, незначительными инновациями топ менеджеры не интересовались.
Вот такие пирожки дорогие читатели.
Соответственно люди стали общаться между собой, благо анонимность была обеспечена самой биржей идей и анонимность чата была на высоком уровне.
Люди стали общаться между собой и стали искать все несоответствия.
Как-то, почему одно предложение инновационное не признавалось инновационным, а другое не инновационное признавалось инновационным, от этого зависел размер вознаграждения. Смотришь кто автор, сразу понятно, топ менеджер, ему надо обеспечить вознаграждение, но призовой фонд не резиновый, кого-то надо срезать и лучше всего рядового работника и более того с удачной инновационной идеей, а идею в дальнейшем присвоить.
Все больше и больше становилось команд, которые таким вот незатейливым способом пополняли свой карман. Началось это с Москвы, потом перекинулось на территориальные отделения, то есть были акулы, а потом стали появляться хищники поменьше.
Зарабатывать по-честному (пространства для честного зарабатывания становилось все меньше и меньше), надо было больше прикладывать сил, мозгов, чтоб не попасть в зубы этих акул.
Конечно находились люди, которые открыто выступали против плагиата. Доказывали, что их идею сперли, но через какое-то время они уже на сайте не появлялись, что с ними произошло не известно. Может просто устали бороться, может их заблокировали, а может просто уволились или их уволили.
Все более и более становилось понятно, что вся биржа идей только способ разбогатеть для одной верхушки сбербанка.
Ну как вы думаете разве не справедливо, что на данный сайт полился поток несусветной чуши.
Действительно это так, или не так, мне не известно, если вам интересно спрашивайте у работников сбербанка, у рядовых сотрудников, они или опровергнут, или подтвердят.
Вот вам плохой пример с которого не надо брать пример.
Привожу еще один плохой пример.
Со слов инсайдера всем работникам сбербанка приходят письма от руководителя.
Одно письмо привлекло своим вниманием только людей с возрастом от 40 лет, то есть тех, кто прошел времена коммунистической пропаганды и имеет к ней иммунитет.
Не могу дословно привести все письмо, но смысл содержания был таков.
Руководитель в своем письме говорил, что ему при встрече с молодыми работниками сбербанка один из молодых специалистов пожаловался. Что в сбербанке есть две команды те, кто честно работает и их мало и те, кто присваивает себе результаты труда честных работников и их много.
Молодой человек решил присоединится к команде честных работяг.
Поскольку конкуренция там маленькая, а в команде присваивающих себе чужой труд конкуренция огромная.
Руководитель честно признается, что да такая проблема существует, но зато данная система дает возможность подняться по карьерной лестнице.
Молодежь пропустила мимо ушей, а вот старики кому за 40 лет сразу все поняли. И расшифровали.
Таким ответом руководитель дал понять, чтоб молодежь не работала честно, а начала присваивать себе чужие результаты труда.
Да что там говорить, если руководителями отделов работают люди, которые ищут на клавиатуре при команде press any key, клавишу any.
Можно привести еще один пример со слов инсайдера.
Как-то, зашел он в один из отделов, в котором на стене висела таблица всех сотрудников и их должностных обязанностей. Напротив, каждой фамилии была написана работа за которую он отвечает. Напротив, одной из фамилий было написано – хрен знает, чем занимается.
Какого же было удивление инсайдера, когда это хрен знает, чем занимается– персонаж возглавил этот отдел, а в последующем поднялся по карьерной лестнице и сейчас возглавляет целое направление.
Повторяю, информация со слов инсайдера, который работает в сбербанке, насколько она правдоподобна, не мне судить, но в качестве информации для последующего своего профессионального роста и просвещения в бизнесе она очень хорошо подходит, как плохой пример, который надо избегать.
Вы, наверное, хотите знать, а откуда у инсайдера самого такая информация?
Просто он сам хотел заработать на инновационных предложениях, подал 11 заявок и 7 из них утвердили.
Но после того как его прокатили с денежной премией, а эффект как он сам говорит от его предложений был равен стоимости четырехкомнатной квартиры. Он решил сравнять баланс.
Поскольку за воровство можно получить срок, он решил осуществить следующий план.
Когда какой-нибудь из филиалов вызывал его, он по приезду осматривал филиал и поняв, что проблема решается в течении 10—15 минут, просто закрывал половину операционных окон и вдвое снижал клиентский поток, часа так на два. И сам преспокойно шел на кухню пить чай.
Кто его мог проверить и поймать за руку, а никто, проверить его было не возможно, потому что в данной ситуации только он был последней инстанцией-экспертом.
Ни знаю продолжается данная эпопея или нет.
Но то, что на вдвое уменьшенном клиентском потоке сбербанк теряет достаточно много денег, причем на каждом филиале, это точно.
«Никто не ходит из руководства за сантехником и не проверяет как он долго ставил прокладку. Сколько надо было сантехнику ставить прокладку, столько он и ставил».
Да, как говорится решили подарить надежду, а потом отобрать, потеряли деньги на снижении клиентского потока.
Так к чему это я?
Зачем заваривали такую кашу с биржей идей, если в последующем вы потеряли денег еще больше.
Естественно, не он-инсайдер такой один уравнитель баланса, людей у которых отобрали надежду было много и как они уравнивали баланс только богу известно.
Многие наверно спросят, если в сбербанке все так плохо, почему он не обанкротился?
Во-первых, государство не даст, во-вторых у любой системы есть предел прочности и сбербанк к нему еще не подошел, а с поддержкой государства, то есть наших налогов даже при таком тупом управлении, он не скоро еще подойдет к разорению.
А теперь еще одна информация уже с просторов интернет.
На одном из сайтов вышла информация о том, что хакеры украли 2 миллиарда рублей со счетов клиентов сбербанка.
На сколько правдива данная информация не мне судить, но вот интересна позиция самого сбербанка. На его официальном сайте в пресс релизе нигде не указано об опровержении.
Говорится, что сбербанк подтвердил кражу, но вот отвергает настолько её массовый характер.
Причем данная информация прошла по самым крупным и авторитетным информационным агентствам.
Извините, а почему в официальном пресс релизе этого нет, тише травы ниже воды на сайте сбербанка.
В данной ситуации было бы логично, если на официальном сайте вышла бы хоть какая-то информация по факту информационного вброса против репутации сбербанка.
А сбербанк ни сном, ни духом, как будто ничего не произошло.
Значит все-таки дыма без огня не бывает.
Сказать, что эта информация о краже 2 млрд. рублей меня удивила, нет. После того, что творилось на бирже идей, наоборот все встало на свои места. Это всего лишь закономерность.
И смею судить такие закономерности будут и дальше продолжаться.
Не удивлюсь также, что команда, которая занималась плагиатом на бирже идей прорвалась на самые верха и провернула аналогичную операцию, только уже с деньгами клиентов.
А может это разработчик программного обеспечения, которому не заплатили по договору, встроил специальный вирус, все может быть.
После такой кражи обязательно ищут виновного. И этого виновного сам сбербанк нашел, обвинив их в не надлежащем использовании антивируса. То есть сами клиенты оказались виновными. Все это с авторитетных информационных агентств, а не самого сбербанка. Сбербанк тут не защищает свою честь и достоинство. Он предпочитает отмалчиваться. Одно место в пушку.
Какой можно сделать вывод?
Не дарите людям надежды и обещания, потому что их надо выполнять.
Люди пришли к вам зарабатывать деньги, чтоб кормить свои семьи, а не за обещаниями.
Приведу еще один пример
Как-то в компании малознакомых людей возник у меня стихийный бизнес семинар, все задавали вопросы. И вот в качестве примера, я привел одну металлургическую компанию в США.
Эта компания работала в 60—70 годы, и решила вывести свое производство из города в сельские районы. Поскольку сельские жители привыкли вставать рано, привыкли работать с детства. Ну и по многим другим причинам. И у данной компании выстроились весьма доверительные отношения между менеджментом и рабочими из сельской местности.
Однажды в эту компании решили зайти американский профсоюзы и мафия под их прикрытием. Кто не знает, профсоюзы подконтрольны американской мафии под названием Коза Ностра.
Однако сами рабочие выгнали взашей представителей профсоюзов с территории завода и не допустили мафию в стены своего завода.
Заработав деньги, руководство решило вознаградить труд своих работников и издало приказ о создании образовательного фонда.
Все дети сотрудников компании имели возможность поступить в любой ВУЗ США за счет средств из этого фонда.
Однажды к директору на прием ворвался один из рабочих и спросил действительно все его дети могут поступить в университет Америки. Директор подтвердил.
И даже когда спросил, что у него восемь детей и все они могут поступить в университет. Директор сказал да, все восемь могут поступить в любой университет США. На что рабочий расплакался.
Один из слушателей стихийного семинара, хозяин не большой фирмы, запомнил эту фишку.
И он стал размышлять как её применить у себя на небольшом предприятии.
Он решил Гарвард, Оксфорд, Йель, Кембридж, МГУ и прочие ВУЗы он не осилит.
А вот БГУ, ВСГУТУ и прочие местные учебные заведения он осилит.
К тому же, все сотрудники его фирмы молодые, дети у них маленькие, к тому времени как они подрастут, пройдет 15 лет, а через это время он действительно подымится и оплатить им ВУЗ, ну или разорится и выполнять обещание не надо. На работу ему, не надо принимать сотрудников с детьми, которые вот-вот окончат школу, чтоб не оплачивать поступление в ВУЗ.
Так он размышлял.
Но нашелся у него в фирме молодой и сообразительный сотрудник, он фиктивно женился на сорокалетней женщине с двумя близнецами, которые только что окончили школу и решили поступить во ВСГУТУ на коммерческой основе. За фиктивный брак он просил что-то около 70 тыс. рублей единовременно, а взамен предлагал свою возможность дать деньги из образовательного фонда фирмы, на которой работал, ведь директор издал приказ о создании такого фонда.
Естественно денег на счету этого фонда не было. И директор пошел на попятную. Тянул резину и требовал принести разные справки. Последней точкой и каплей стало решение директора, чтоб претендент на образовательные деньги принес справку ДНК об установлении отцовства.
В общем хозяин-директор упал в лице своего коллектива в грязь и потерял доверие со стороны своих работников. Через полгода все работники кто работал у него по увольнялись и ему пришлось заново набирать людей.
Вот такая вот история. Заварил сам кашу, сам чуть не захлебнулся ей. А уж что стало с сообразительным сотрудником, который фиктивно женился, того история умалчивает.
Большинство из вас, кто читает эту книгу занимается малым бизнесом. Максимум, что вы можете сделать для своих наемных работников, так это дать возможность дополнительно заработать у вас, а не на стороне. Потому что, если вы не даете такую возможность, для дополнительного заработка на семейный бюджет, то они будут зарабатывать на стороне.
И если у вас они выкладываются на 30%, потому что сумели оптимизировать свою работу, то на стороне они будут выкладываться на все 100%, а то и 200% и наверняка будут выкладываться на ваших конкурентов.
Приведу еще пример не из Сбербанка
В Бурятии есть издательство, которое было образовано в 90 годы.
Весьма успешная газета под названием Информполис, но она застыла в своем развитии. Она не выходит за рамки республики, так и остается маленькой региональной и весьма уважаемой газетой.
В её стенах образовалась достаточно сильная команда журналистов. Но поскольку газета не переходила на более высокий уровень, и соответственно на более высокие зарплаты журналистам, команда сильных журналистов начала распадаться.
У всех семьи, у всех растут дети, расходы на содержание семей растут, а зарплата журналистов не росла.
Информполису бы завоевывать рынок, расширять читательскую аудиторию, выручка бы росла, соответственно росла бы и зарплата журналистов, сильная команда сохранилась бы и обеспечила бы дальнейший рост.
Но не судьба, сильные журналисты постепенно уходили из Информполиса, образовывали свои новые проекты и забирали читателей на свои информационные ресурсы, и соответственно усилилась конкуренция на довольно маленькую аудиторию как Бурятия.
Много сильных журналистов воспитал Информаполис, но сейчас эти сильные журналисты отбирают хлеб у Информполиса.
Увы таковы причуды конкуренции.
Сейчас в Информполисе произошла смена поколений, и молодым и безусым юнцам Информполиса приходится соперничать за кусок хлеба с мастодонтами и акулами пера, которых сам и вырастил.
Насколько им это удается не могу судить, но в качестве примера можно привести то, что Информполис «бросил клич» в интернет пространство. «Предлагайте новые темы для нашего еженедельника».
То есть, тоже решили воспользоваться краудсорсингом.
У журналистов и главного редактора Информполиса нет интересных тем для читателей еженедельника.
Делайте вывод сами.
Так к чему это я, а к тому, что у ваших наемных работников возможности разорить вас и навредить, гораздо больше, чем сделать вас богатыми.
Можно сюда еще добавить тезис
Если у вас есть команда профессионалов и нет денег, вы всегда заработаете деньги.
Если у вас нет команды профессионалов и есть деньги, то вы потеряете все свои деньги.
Более того, команда не профессионалов еще и поучаствует в том, чтоб ваши деньги перетекли в личные карманы не профессионалов, то есть их собственные.
Почему?
Потому что, не профессионалы понимают, фирма с ними разорится, и они потеряют работу, а в будущем надо на что-то жить. Поэтому они и поучаствуют в переводе денег из кармана хозяина в свой карман.
Давайте теперь закончим детский лепет, уж если бизнес – это серьезное дело, давайте рассматривать его основываясь на научном подходе.
Я рассматривал его на основе физико-математического моделирования. Поскольку не все знакомы с физикой и математикой, я весь процесс упрощу до такого состояния, что даже школьнику будет понятно.
Естественно я не буду приводить сложные физико-математические формулы и расчеты, так же не буду прибегать к сложных финансово-экономическим индикаторам.
Но все-таки, какие-то элементы оставлю. Чтоб информация была наглядной я буду предоставлять её в виде рисунков и схем и буду объяснять их. Не судите строго, рисовать не умею, и для смысла не важно качество рисунков.
И так рисунок №1

Рис. №1
Перед нами нарисован так называемый «черный ящик», как принято называть в науке объект изучения. Этим черным ящиком будет какая-либо фирма, любая без разницы.
Давайте представим, что эта фирма – «черный ящик» продает какой-либо товар, пусть это будет обувь.
Перейдем к рисунку №2

Рис. №2
Мы видим, что время 8—00 утра, рабочий день еще не начался, однако работники фирмы, Лена, Лёша, Лёня встали спозаранку и направляются по направлению к своей работе, то бишь к «черному ящику». Как видите у них на груди написана буква «e», которая обозначает, что все трое работников обладают энергией, они дома позавтракали, полны сил и готовы свою энергию направить на выполнения работы в офисе – «черном ящике».
Переходим к рисунок №3

Рис. №3
Как видим время 9—30 утра, офис открылся, клиентов еще нет, а Лёша, Лена и Лёня занимаются чем ни попадя, как правило просто слоняются между кухней и туалетом.
Картина всем до боли известная, клиентов нет, продавцы слоняются и попросту убивают время.
Однако на рисунке видно, что энергия этих продавцов расходуется в холостую, она рассеивается на все что угодно, в пустое пространство, но только не на выполнение своих прямых обязанностей.
Наконец появляется начальник, проводит головомойку подчиненным, и о боже!!!
Работники разгильдяи собрали свою энергию в «пучок» и направили её на выполнение работы в 10—00 часов утра, создали так сказать поток своей энергии и направили в нужное для начальство русло.
Переходим к рисунку №4

Рис. №4
Если на предыдущем рисунке их энергия рассеивалась, то сейчас она собрана в один поток с буквой «e» и этот поток энергии создал три информационных потока
Информационный поток №1 – Этот поток создал Лёня
Лёня напечатал объявления о продаже обуви со скидками на принтере, и пошел развесил их по всем столбам, подъездам, остановка и т. д. не забыл так же сфотографировать все объявления и предоставить их как доказательство выполненной работы, чтоб премии и зарплаты не лишили.
Однако развесил Лёня их там, где клиентами и «не пахнет», другими словами он подошел к делу формально, для галочки и был таков. Клиентов по его объявлению в офисе – «черном ящике» не появилось.
Другими словами, информационный поток, который создал Лёня промазал с аудиторией.
И более того, воронкой продаж или Гауссовским распределением, здесь даже и не видно.
Информационный поток №2 —Этот поток создала Лена
Лена нарисовала баннер с призывом покупайте нашу обувь со скидками, договорилась с администраторами сайта о размещении баннера за 4000 рублей в неделю на сайте форума автомобилистов, на котором обитает около 2000 посетителей.
В результате по её баннеру кликнуло 20 человек, позвонило 10 человек, а купили обувь всего 2 человека за неделю, на сумму 4000 рублей. Итого получается 4000 рублей потратили на рекламу и 4000 рублей выручили с продажи.
Вот, как вы видите здесь воронка продаж, она же Гауссовское распределение случайных величин, когда из двадцати человек купили обувь всего двое.
Другими словами, информационный поток, который создала Лена, попал в аудиторию, но аудитория была не та, эта аудитория интересуется автомобилями и запчастями к ним, а не обувью.
Переходим к рисунку №5

Рис. №5
Информационный поток №3 – Этот поток создал Лёша.
Он вошел в Яндекс директ, изучил статистику по ключевым запросам, собрал семантическое ядро из 3500 ключевых фраз и создал компанию, забросил туда 2000 рублей и в результате получил поток телефонных звонков, поток клиентов в свой магазин и принес выручку в размере 50000 рублей в неделю.
Другими словами, информационный поток, который создал Лёша, привлек ту аудиторию, которая нуждалась в обуви и на их нужде в обуви заработал для фирмы – «черного ящика» деньги
Давайте посмотрим конкретнее целевую аудиторию, которая подверглась влиянию информационного потока, созданного Лёшей в результате работы Яндекс директа.
Перейдем к рисунку №6

Рис. №6
На нашей модели видно, что изображены 100 квадратиков разного цвета. Все эти квадратики представляют 100 клиентов, которые через поисковик Яндекс искали все, что связано с обувью.
Так вот, все эти 100 человек видели объявление о продаже обуви, но только 60 человек нажали на объявление, остальные 40 человек не нажимали на наше объявление, они нажимали на объявления конкурентов, эти 40 человек закрашены фиолетовым цветом, им фиолетово до вашего товара и вашей фирмы.
И так 60 человек зашли на сайт, через который Лена, Лёша и Лёня продают обувь. Эти 60 человек планомерно искали обувь, они покрашены в зеленый, желтый и красный цвет. Но из этих 60 только 30 клиентов позвонили и узнали о наличии товара, эти 30 клиентов покрашены в желтый и красный цвет. Клиенты, покрашенные в зелёный цвет звонить не стали, их не заинтересовал сайт, условия и цены на сайте.
А из 30 человек купили обувь только 10 человек, эти 10 человек покрашены красным цветом.
20 клиентов, закрашенных желтым цветом просто поинтересовались по телефону об условиях и цене на обувь и условия их не удовлетворили, поэтому они отказались от покупки.
В итоге мы имеем 10 совершенных сделок, принесших деньги в кассу.
В этом случае обычно говорят, конверсия из 100 человек составили 10%.
Классическая воронка продаж, она же Гауссовское распределение или нормальное распределение случайных величин, как принято называть это в науке.
10 человек купили обувь благодаря Лёше и его работе в Яндекс директе.
Средняя цена продажи обуви одному клиенту составило 5000 рублей, это так называемый средний чек, 5000 руб. * 10 чел. = 50000 рублей заработал Лёша за 1 неделю для своей фирмы.
Вопрос, почему одни люди купили обувь, а другие не купили?
Дело в том, что у потенциальных клиентов разная потребность в обуви, одним она нужная, а другим не нужна, это понятно из здравого смысла.
Тут надо немного изменить поставленный вопрос, мы будем рассматривать вопрос не со стороны клиентов и целевой аудитории, как это обычно принято, а со стороны продавцов Лены, Лёни и Лёши.
Лена, Лёша и Лёня подошли к вопросу продаж весьма неэффективно с точки зрения затрат энергии. Придя на работу они занимались чем угодно, но только не зарабатыванием денег.
А что, все правильно, время идет, зарплата тикает в карман Лёше, Лёни, Лене.
Всю свою энергию они тратили в холостую, пока не пришел начальник и не отсчитал их за тунеядство, вот только тогда они направили свою энергию на работу с рынком.
Но опять же, Лёня подошел к данной проблеме формально выполнил работу для галочки. Лена подошла к работе шаблонно особо не задумываясь куда она направляет информационный поток и будет ли выгода от продаж. И только Лёша прежде чем запускать информационный поток, навскидку посчитал статистику рынка и потребность рынка.
Мы можем говорить, что все трое участников, по-разному тратили свою энергию, кто-то эффективно, кто-то не эффективно.
Давайте предположим, что все трое тратили супер эффективно свою энергию, и что все 100 участников целевой аудитории купили обувь.
Возможна ли такая ситуация?
Да, возможна.
Только работа их будет строится по другой стратегии.
Клиенты, закрашенные красным цветом, они пришли и купили обувь, Лёше, Лене, Лёне не пришлось долго их уговаривать и тратить на них свою энергию, время, красноречие и т. д.
Клиентов, закрашенных желтым цветом, на них надо будет затратить по больше энергии, времени, сил, красноречия и убеждения, но в конечном итоге они смогли бы продать им всем обувь.
Клиентов, закрашенных зеленным цветом, чтоб убедить купить обувь, сил, энергии, времени надо затратить по больше, в отношении них как правило прибегают к скидкам, купи второй товар и получи третий бесплатно, 0—0—12, два по цене одного, таких уловок может быть много.
И наконец клиенты закрашенные фиолетовым цветов, вот на эту категорию клиентов, энергии и времени надо затрачивать очень много. Тут надо проводить целые информационные акции позитивного настроя, выплеснуть на них позитивную энергию, когда от опьянения такой энергией отключается логическое мышление и здравый смысл.
И так мы выявили, что целевая аудитория дифференцируется или подразделятся по принципу количества энергии, которую надо затратить продавцам, чтоб потенциальные клиенты купили обувь или какой-нибудь товар.
1 категория клиентов «красные» – для них надо просто привлечь их внимание к товару, их еще обычно называют «горячие клиенты».
2 категория клиентов «желтые» – их надо заинтересовать товаром, рассказать о выгоде и преимуществах.
3 категория клиентов «зеленные» – им надо подогреть интерес к товару всевозможными скидками.
4 категория клиентов «фиолетовые» – им надо «взорвать мозги», то есть так накачать информацией и позитивной энергией, чтоб они начали занимать очереди за вашим товаром.
То есть, все потенциальные клиенты находятся в разных энергетических состояниях и клиентов надо планомерно переводить из одного энергетического состояния в другое, более высокое, чтоб клиент купил ваш продукт и товар.
Это мы как раз и наблюдаем, что происходит с товарами от Apple и курсами от Бизнес Молодости.
Перейдем к рисунку №7

Рис. №7
На данном рисунке изображен клиентский поток, это все люди, которые позвонили по телефону, написали письмо, оставили свои контактные данные в форме захвата, пришли в ваш магазин. У каждого из них в кармане лежит кошелек с деньгами.
Поэтому внутри клиентского потока находится денежный поток, а также информационный поток обратной связи.
Информационный поток обратной связи, это опрос клиентов о том, как он узнал о нашей фирме, от куда он пришел. То есть, это ни что иное, как опрос клиента с целью получить от него информацию, для того, чтоб подкорректировать информационный поток, воздействующий и «возбуждающий» целевую аудиторию.
Таким образом, мы через информационный поток обратной связи снижаем бюджет, который мы тратим на рекламную компанию (информационный поток «возбуждающий» целевую аудиторию) и ищем другие рынки с нашей целевой аудиторией.
Задача продавцов заключается в том, чтоб уметь «выдернуть» денежный поток из клиентского потока.
Что мы видим?
Во-первых, в бизнесе огромное значение имеет воронка продаж, спросите себя, умеете ли вы считать воронку продаж, и знаете ли вы, как её применить у себя в бизнесе.
На втором месте стоит умение управлять потоками. Уметь считать эти потоки в количественных единицах, уметь создавать, замедлять и ускорять эти потоки и направлять их в нужное направление.
На третьем месте стоит умение переводить клиентов и работников своей компании на разные энергетические уровни, то есть давать позитивный настрой на работу подчиненным работникам и на покупку товара потенциальным клиентам.
На четвертом месте стоит своевременное реагирование на все изменения в любом сегменте бизнеса, как-то изменения на рынке в ценах на товар и покупательском спросе, изменение в производственном цикле, остановки конвейера, поломки, ТО, изменение в поставках товара, его брак, изменение в приоритетах покупателей и многое другое.
Ведь есть поговорка промедление смерти подобно.
Подведем итог.
Как видите, на примере схем и рисунков, я рассказал вам как устроен и работает бизнес.
То, как я вам рассказал просто и доступно, понятно даже школьнику.
Мне, чтобы прийти к такому простому видению бизнеса, пришлось строить целые физико-математические модели, я и сейчас их строю и анализирую бизнес.
Я никогда не пришел бы к таким выводам, если бы у меня не было два бизнес проекта, которые я успешно провалил и потерял деньги.
В третий раз я решил не рисковать и не бросать все на волю случая, а решил разобраться с бизнесом использую свой ресурс, такой как знание физико-математического моделирования.
Конечно же, на самом деле, не все так просто. То, что я здесь рассказал на примере рисунков, это всего лишь скелет.
Не рассказал я вам об индикаторах, которыми измеряется бизнес, состояние рынка, состояние черного ящика, то есть нашей фирмы, индикаторах потоков, информационных, клиентских, денежных, товарных, интеллектуальных, транспортных, как вычисляются энергетические индикаторы продавцов и клиентов, как измеряются индикаторы всевозможных потоков, но это уже более сложнее и ближе к науке, а не к популярному рассказу о бизнесе.
Обещал же, что напишу так, что будет понятно даже школьнику.
А обещание как известно надо выполнять!
Давайте теперь усложним нашу модель бизнеса, то есть будем играть уже по взрослым правилам.
И так, у нас как видно из всех рисунков имеется черный ящик, этот черный ящик, какая то любая фирма, которая работает на рынке.
Но, у нас есть и второй черный ящик, этот черный ящик представлен рынком, в предыдущей главе мы не акцентировали внимание на этом.
На рисунках видно, что между двумя черными ящиками наблюдаются потоки.
Информационный поток и клиентский поток, более того, внутри клиентского потока имеются еще два потока, это денежный поток и информационный поток обратной связи.
Информационный поток, это есть ни что иное как реклама, то есть объявления о продаже товара развешанные на столбах, подъездах, баннеры и плакаты, развешанные по городу, баннеры на сайтах, бегущая строка по телевизору, реклама на радио и телевидение, Яндекс директ и прочее.
Так вот, этот информационный поток надо уметь подсчитывать, чтоб знать эффективность данного потока, и бюджет данного потока. Правильно мы тратим деньги или они уходят в черную дыру и не приносят результата в виде пришедших клиентов.
Так вот, у информационного потока есть скорость, это количество объявлений в определённый период времени сформированный маркетинговым отделом. То есть, количество информации о вашем товаре, который был выброшен на рынок.
К примеру, за месяц маркетинговый отдел выставлял 300 постов на странице в Вконтакте, или 35000 рекламных объявлений в Яндекс директе.
У клиентского потока тоже есть скорость, это количество клиентов, которое посетило ваш магазин, сайт за определенный период времени.
У товарного потока тоже есть скорость, это количество товара, который продали за определенный период времени, или количество товара, который вы закупили для перепродажи и т. д.
У денежного потока тоже есть скорость, это выручка, затраты и прибыль в сутки в неделю или месяц.
Да, да оказывается выручка, затраты и прибыль – это показатели скорости.
Более того прибыль – это скорость, с которой вы стремитесь к своей цели, выраженной в рублях.
К примеру, вы хотите купить автомобиль его стоимость 300 000 рублей, и вы откладываете по 5000 рублей в месяц (ваша прибыль), простое деление получит, что вам для того что бы купить автомобиль потребуется 60 месяцев или 5 лет.
То есть, 5000 рублей в месяц это ваша скорость, с которой вы идете к своей цели – покупка автомобиля, и доберетесь вы к ней за 60 месяцев, когда у вас накопится сумма 300 000
В общем, раз есть поток, то у него должна быть скорость, выраженная в количестве вещественных единиц за период времени.
С потоками мы разобрались, теперь перейдем к черным ящикам.
Черный ящики – это то, что генерирует потоки, создает их или подвергается воздействию этих потоков. Если потоки измеряются скоростями, то черные ящики измеряются энергией.
Вспомните, что Лёня, Лена и Лёша являются носителями своей энергии, и они её тратили не эффективно, пока не пришел начальник и не произвел выволочки этим разгильдяям, то есть, он настроил их энергетический поток в нужное русло, и эти лодыри собрали свою энергию в пучок и направили на создание информационного потока.
Другими словами, черный ящик под названием фирма, сгенерировал информационный поток под воздействием энергии трех лодырей и направил его на создание рекламного материала под руководством начальства.
Другой черный ящик под названием рынок, в данном случае целевая аудитория, подвергся воздействию информационного потока и часть целевой аудитории вошла в состояние «возбуждения» и перешла из низкого энергетического состояния в более высокое.
А почему у клиентов 4 стадии энергетического состояния?
Все очень просто, в нас сильны биологические процессы, а сексуальное возбуждение одно из сильнейших биологических процессов. И у этого сексуального возбуждения так же 4 фазы энергетического состояния.
Чем сильнее вы «возбуждаете» клиента, тем сильнее он хочет купить ваш товар. И тем сильнее его «покупательский оргазм» при совершении покупки.
Что же происходит, когда клиент покупает товар?
Потратив деньги клиент получает либо удовольствие, либо разочарование.
Заметьте какой восторг вы получаете от покупки IPhone, эффект такой же как при сексуальном оргазме.
Если клиент получил удовольствие, то вы тоже рады, от того что, принесли клиенту радость жизни и заработали деньги, но если клиент не рад своей покупке, что же у вас проблемы.
Ждите от разочаровавшегося клиента иски в суд. Тут сродни ситуации, когда один из партнеров по сексу, не получил сексуального оргазма.
Получив от разочарованного клиента деньги, эти деньги принесли вам проблемы, во что это выльется одному богу известно.
То есть, информационный поток придал энергию группе клиентов, и эти клиенты под воздействие данной энергии приобрели обувь.
Основываясь на выше перечисленных данных, мы можем сказать, что бизнес это есть комплекс и система, состоящая из объектов, обладающих энергией и потоками, которые курсируют между энергетическими объектами (черные ящики).
И так, у нас имеются потоки и объекты – черные ящики, которые формируют эти потоки. Потоки измеряются скоростями, а черные ящики измеряются энергией, которую они содержат.
Кроме того, что есть единицы измерения скорости и энергии, есть еще одна единица, достигают ли цели наши потоки и эта единица измерения называется конверсия.
Другими словами, сколько рекламных объявлений привели к нам клиентов к отношению всего количества рекламных объявлений.
Если конверсия 100%, то мы можем сказать, что из 1000 объявлений к нам пришло 1000 клиентов, то есть каждое объявление привело к нам по одному клиенту, хотя такого как правило не бывает.
Если мы рассматривает производство на заводе, то рассмотрим пример как слесарь-станочник из 100 болванок создает 100 деталей готовых к использованию. Если он профессионал, то конверсия его будет 100%, а если начинающий, то из 100 болванок он сделает 80 деталей, а остальные 20 сделает бракованными, и его конверсия будет 80%.
Давайте теперь рассмотрим современный классический бизнес, в нем очень много объектов, как-то, рынок, фирма, основные средства, трудовой коллектив, акции, ценные бумаги, материальные, нематериальные активы, психология работников и клиентов, закон, охрана, производственный конвейер, товар, клиенты, технологии и т. д.
И у всех эти объектов свои собственные индикаторы, чем больше объектов, тем больше индикаторов. В конечном итоге у вас голова от такого объема информации «не варит» как говорится.
Вам потребуется 10 лет жизни, чтоб разбираться во всех этих индикаторах и стать профессионалом и все их держать в голове.
Когда мы упростили систему на два вида объектов, поток и черный ящик, у нас появляются абсолютно универсальные единицы измерения бизнеса. Они подходят в любой сфере деятельности внутри бизнеса. Более того они позволяют вам сравнивать казалось бы не сравниваемые вещи. К примеру, насколько эффективно работает менеджер и станок с программным управлением, соответственно кого будем сокращать менеджера или станок с ЧПУ.
Все что здесь рассказано описывает и систематизирует весь классический стандартный бизнес и представляет его в немного другой форме.
В форме комплексной системы, состоящей из черных ящиков (объектов бизнеса, содержащих энергию) и потоков.
Однако развитие представления модели не стоит на месте. И сейчас мы рассмотрим еще индикаторы.
Эти индикаторы называются ускорение потоков и сила.
Ускорение потока – это есть показатель, который происходит от скорости потока.
Сила же, есть интегральный показатель, который одновременно показывает и ускорение потока, и энергетическую характеристику черного ящика.
Давайте вернемся к нашим лодырям Лене, Лёши и Лёни.
Зададимся вопросом, какую СИЛУ делали эти трое индивидуумов, чтобы компания заработала деньги?
Какие УСИЛИЯ они вкладывали в фирму, и какие усилия они вкладывали в то, чтобы выдернуть из рынка необходимый объем денег?
И вообще, возможно ли измерит эту СИЛУ, подсчитать её и вычислить, кто больше вкладывает УСИЛИЕ в работу, а кто меньше?
Если рассматривать бизнес, так как принято и так как преподают его в университетах, и на все возможных курсах и семинарах, то вычислить и измерить эти показатели не возможно.
Соответственно у нас нет точной картины бизнеса, и в бизнесе мы вынуждены, руководствоваться какими-то другими не точными индикаторами, которые описывают наш бизнес, и тут главное выходит на первое место, это опыт того человека, который анализирует стандартные, классические индикаторы бизнеса.
То есть, другими словами, приходится в принятии решения надеяться на какие-то эмоциональные, нерациональные выводы, основанные на личном восприятии этого человека.
Если же мы вычисляем, кто сколько вложил в бизнес СИЛ, в каждый конкретный поток, то мы можем судит о качестве и профессионализме работников.
Таким образом подсчет силы каждого работника, позволяет точно определить, кто просто приходит на работу и получает зарплату и является для бизнеса балластом, от которого надо избавляться, а кто прикладывает усилия для того, чтоб развалить фирму в угоду конкурентов, потому что конкуренты приплачивают вашему работнику денежное вознаграждение.
То есть, вы можете практически мгновенно, по показателю силы, вычислить коммерческие диверсии у себя в фирме.
Возвращаясь к Лене, Лёше и Лёне и вычислив их СИЛУ, мы увидим, что Лёня совершил коммерческую диверсию, выполнив работу с отрицательным показателем, получил зарплату и не привел клиентов в магазин.
К тому же он побеспокоился об алиби в виде фотографий расклеенных объявлений.
Лена оказалась балластом, потому что выполнила работу с нулевым показателем силы.
И Лёша выполнил работу на троечку, создал силу, но не значительную, потому что учли то время, когда его энергия тратилась в холостую в течении 2 часов, что он слонялся вместе с остальными работниками.
Мы так же сможем сложить все усилия каждого работника фирмы и вычислить, какое усилие делает фирма вся целиком в достижении своей бизнес цели.
На этом у меня пока все. Далее смотрите что по порядку.
Даная глава посвящена анализу действующих корпорации новым революционным методом.
Все материалы, которые здесь представлены показаны в усечённом, сокращённом виде и делались автором для ниже указанных корпораций. Единицы измерения указаны в миллионах долларах.
Выручка, затраты и прибыль банка на состояние с 2005 по 2014 год включительно, составила.

Таб. №1
После демонстрации цифр, обычно демонстрируются графики.
И так, посмотрите рисунок №8 на котором представлен график выручки с 2004 года по 2014 год.

Рис. №8
Ну что-то же, смотрите на график выручки.
И подумайте, что особенного в данном графике.
А на графике выручки ничего особенного нет, мы видим, что выручка планомерно росла с 2005 года по 2014 год.
Причем если с 2004 года выручка росла медленно, то с 2008 года выручка резко пошла вверх.
И только с 2013 года по 2014 год выручка потеряла темп роста.
Мы можем похвалить китайский банк China Everbright bank
с таким впечатляющим результатом, выручка постоянно растет.
Давайте теперь посмотрим, что же с затратами у China Everbright bank.
Переведем свой взор на рисунок №9.

Рис. №9
Что мы видим на рисунке номер 9?
Видим, что график и здесь растет.
Все правильно, это одно из правил бизнеса, которое гласит.
С ростом выручки растут и затраты.
Мы можем только радоваться за China Everbright bank, что у них идет планомерный рост, и они хорошо контролируют статьи затрат.
А теперь давайте посмотрим, что у них с прибылью.
Как обстоят дела у China Everbright bank с прибылью, все ли так радужно и красиво.
Посмотрим рисунок №10.

Рис. №10
Что мы видим на графике прибыли.
Мы видим, что с 2005 года по 2008 год, рост прибыли был не значительный.
А в 2009 году прибыль упала.
Все верно это результат последствий кризиса 2008 года.
Но уже в 2010 году, China Everbright bank резко выходит из падения, причем отбивает предыдущий убыточный год.
После чего рост прибыли уверенными и твердыми шагами все рос и рос, потеряв только темп в росте в 2013 и 2014 году.
Сравнивая все три графика мы можем сказать, что потери прибыли в 2009 году были связаны с потерями выручки на рынке, и банк не изменял свою стратегию в плане изменения статей затрат.
Что мне нравится в китайских банках так это очень жесткая политика в регулировании статей затрат. И очень быстрое реагирование на изменения на рынке. Хоть China Everbright bank и не изменил свою стратегию с затратами, в дальнейшем их уверенность в деятельности увеличения выручки себя оправдала.
Ну что же, это был стандартный, классический подход в анализе бизнеса.
Повторяю, я все утрирую и упрощаю, чтоб читателям было более-менее понятно. А в последующих выпусках моей книге я буду по не многу усложнять и вводить вас более точные модели анализа.
Давайте теперь рассмотрим этот же банк революционным способом, подсчитав СИЛЫ, которые делает банк.
Взяв исходные данные из вышеуказанной таблицы, в качестве входящих параметров, загоним их в нашу физико-математическую модель и на выходе мы получим такие результаты.
Сила выручки, сила затрат, сила прибыли
График силы выручки – это график, показывающий с какой силой данная фирма забирает деньги у рынка, или под действием какой силы рынок отдает деньги фирме, или какую силу генерирует фирма чтоб забрать деньги у рынка.
График силы затрат – это график, показывающий с какой силой рынок забирает деньги у фирмы, или под действием какой силы фирма отдает деньги рынку, или какую силу генерирует рынок чтобы забрать деньги у фирмы.
График силы прибыли – это график, показывающий с какой силой фирма зарабатывает прибыль, или с какой силой фирма стремится к своей бизнес цели.
Давайте посмотрим на графики.
На рисунке №11 представлен график силы выручки.
На рисунке №12 представлен график силы затрат.
И на рисунке №13 представлен график силы прибыли, или график силы, с которой фирма стремится к своей цели.

Рис. №11
Что мы видим на графике силы выручки, с 2006 по 2008 год сила с которой банк забирал деньги у рынка росла. Однако 2009 году эта сила упала.
В 2010 году сила выручки росла и рост этот продолжался до 2012 года.
С 2012 по 2014 года сила выручки постоянно падала.
На рисунке же №8 выручка постоянно растет и показывает благоприятную картину.
Если банк не поменяет стратегию и будет продолжать работать в том же духе, то постоянное падение силы выручки уйдет в отрицательный сектор и появится сила, которая будет толкать к разорению. Увидеть на рисунке №8 о той катастрофе, которая наметилась, менеджмент банка сможет не так быстро, потеряет время и исправить ситуацию будет очень сложно. Вот в чем прелесть, когда мы рассматриваем бизнес в силах, а не в скоростях.

Рис. №12
Здесь на рисунке №12 представлен график силы затрат, то есть сила с которой рынок забирает деньги у банка.
Закон роста затрат в след за ростом выручки действует и тут, когда растут доходы растут и затраты.
Мы видим, что сила затрат с 2006 года росла по 2008 год.
В 2009 году сила затрат упала, компания меньше тратила. В 2010 году сила затрат немного поднялась, но не смогла отбить результат 2008 года.
Этот результат, сила затрат смогла отбить только в 2011 году. И рост продолжился в 2012 году. После которого начался спад силы затрат, что еще раз подтверждает вышеуказанный закон.

Рис. №13
График силы прибыли, не такой радужный как график прибыли. Здесь мы видим, что с 2010 года наметилось падение силы, которая толкает их к обогащению (сила прибыли). И опять сравнивая график прибыли, который показывает, что дела идут благоприятно и прибыль растет. Но вот график силы прибыли говорит обратное, о негативной тенденции, которая наметилась в банке.
Сравните все шесть графиков и подумайте сами, какие проблемы имеются у China Everbright bank, какие отделы требуют переформатирования и реорганизации.
Выручка, затраты и прибыль банка на состояние с 2005 по 2014 год включительно составила. Единицы измерения миллионы $.

Таб. №2
Соответственно представим графики.
Рисунок №14 график выручки банка.
Рисунок №15 график затрат банка.
Рисунок №16 график прибыли.

Рис. №14
На данном графике видно, что с 2005 года China Minsheng Banking c каждым годом увеличивает выручку. Если с 2005 ода по 2010 года, рост выручки был не таким значительным, то с 2010 года рост выручки ускорился и потерял свой темп в 2014 году. Больше наверно по данному графику говорить нечего. Поэтому перейдем к следующему графику

Рис. №15
На данном графике мы тоже видим, что затраты растут, ни чего необычного так же не видно. Все согласно закона, затраты растут вслед за ростом выручки. Затраты медленно росли с 2005 года по 2010 год включительно, а затем резко пошли вверх и потеряли темп роста только в 2014 году.
Давайте теперь перейдем к графику прибыли.

Рис. №16
Смотрите какой красивый график получился у China Minsheng Banking.
Мы видим медленный рост прибыли с 2005 года по 2010 года и резкий рост с 2010 год по 2012 год. С 2012 год по 2014 год мы видим снижение темпа роста прибыли.
Анализирую все это можно судить, что финансовый отдел строго следит за статьями затрат, и норма расхода по затратам не переходят границы установленные для получения прибыли. Очень четко следит финансовый отдел за выручкой и в зависимости от неё назначает нормы затрат.
Теперь давайте рассмотрим эти данные, в качестве входящих параметров, для нашей физико-математической модели и посмотрим, что получится на выходе.
Рисунок №17 график силы выручки.
Рисунок №18 график силы затрат.
Рисунок №19 график силы прибыли (с которой фирма стремится к цели).

Рис. №17
И так мы видим, что с 2006 года по 2008 год, сила выручки постоянно растет. В 2009 году видим спад силы связанный с мировым кризисом.
Однако в 2010 году China Minsheng Banking вышел из кризиса, хоть и не отыграл успех 2008 года.
В 2011 году успех работы на рынке более чем очевидный. Но на этом все успехи заканчиваются и идет планомерный спад силы выручки.
Однако стандартный анализ говорит нам, что выручка увеличивается и все процессы в China Minsheng Banking благоприятные.
Анализ же силы выручки говорит, у China Minsheng Banking проблемы в отделе маркетинга и продаж.
И эти проблемы усугубляются с 2011 года.

Рис. №18
С 2006 года по 2008 год сила затрат постоянно росла.
В 2009 году сила затрат уменьшилась в связи с кризисом, так как упала реализация, соответственно пришлось снизить и затраты.
Однако уже 2010 году сила затрат увеличилась, вслед за увеличением силы выручки.
В 2011 году сила затрат показала свой рекорд, после которого начался спад в 2012 году.
В 2013 China Minsheng Banking решила увеличить затраты, чтоб увеличить выручку, однако ожидания не оправдались.
И в 2014 году пришлось вернуться к режиму экономии.

Рис. №19
И так с 2006 года сила прибыли увеличивается по 2007 год.
В 2008 году сила прибыли немного упала.
Однако в 2009 году, когда по миру прокатился кризис, и он показался в отчетах 2009 года, China Minsheng Banking сумела создать силу за счет уменьшения затрат.
В дальнейшем мы видим, что с 2010 по 2011 год сила прибыли росла как на дрожжах.
Но уже с 2011 года сила прибыли, то есть сила, с которой компания стремится к обогащению планомерно падает.
Если со статьями затрат China Minsheng Banking жёстко их контролирует, то с выручкой дела у компании не очень. Остальное додумывайте сами.
Мексиканский телекоммуникационный холдинг.
Выручка, затраты и прибыль банка на состояние с 2005 по 2014 год включительно составила. Единицы измерения миллионы $.

Таб. №3.
Соответственно представим графики.
Рисунок №20 график выручки банка.
Рисунок №21 график затрат банка.
Рисунок №22 график прибыли.

Рис. №20
С 2005 года выручка America Movil растет планомерно и рост достаточно ровный.
Ни чего большего здесь не добавишь, кроме того, что отдел продаж и маркетинга, на троечку выполняет свою работу.

Рис. №21
С 2005 года в месте с ростом выручки растут и затраты, мы можем сказать, что рост затрат идет в след за выручкой, однако, в виду того America Movil не достаточно хорошо и жестко следит за статьями затрат, это приводит к отрицательным результатам.
Это можно проследить по прибыли.
Мы видим, что рост затрат не обоснованный и финансовый отдел занимается не понятно, чем.

Рис. №22
И так, на графике видно, что рост прибыли наблюдается с 2005 года по 2007 год.
В 2008 году прибыль осталось на том же уровне, как и в предыдущем году.
С 2009 года по 2012 год рост прибыли колебался на одном уровне.
С 2012 года прибыль начала катастрофически падать в плоть до 2014 года.
Проблема прибыли решается достаточно легко, надо наладить контроль за статьями затрат и избавиться от тех статей затрат, которые приносят убытки.
Здесь работа для финансового отдела.
Работа отделов продаж и маркетинга не нуждается в кардинальной реорганизации.
Теперь давайте посмотрим всю картину через призму СИЛ, которые делают сотрудники America Movil.

Рис. №23
С 2006 года сила выручки росла по 2007 год включительно.
В 2008 году в связи с кризисом сила выручки упала.
Однако в 2009 году America Movil отбила показатели 2009 и 2008 года.
Однако мы видим, что сила выручки падает с 2009 года и это падение планомерное и продолжается по 2014 год.
Хоть и отдел продаж и маркетинга и увеличивает выручку, однако же сила выручки показывает, что America Movil подошел к своей точке не возврата, после которого пойдут уже не скрытые финансовые потери, а открытые.

Рис. №24
С 2006 года по 2007 года сила затрат росла.
В 2008 году сила затрат снизилась.
Однако в 2009 году резко подскочила и достигла своего максимума.
С 2010 года сила затрат планомерно снижается, что говорит о попытках финансового отдела контролировать статьи затрат, что им не всегда удается.
В 2014 году сила затрат выросла, что говорит о том, что America Movil пытается переломить ситуацию в свою пользу, но это им не удается.
Дальше надо сравнить графики силы затрат и график затрат. Для глубокого анализа, в чем причина и где узкие места, требуется разделить и сегментировать статьи затрат, чтоб выявить проблемные сегменты бизнеса.

Рис. №25
С 2006 года видим рост силы прибыли и этот рост продолжается в 2007 году.
В 2008 году видим спад силы прибыли.
В 2009 году America Movil отыграл силу прибыли и к сожалению, это был последний положительный тренд.
В 2010 году сила прибыли упала.
В 2011 году сила прибыли вышла в отрицательный уровень, что говорит о том, что появилась сила которая толкает America Movil к разорению.
В 2012 году America Movil отыграл отрицательный тренд и вышел в положительный уровень.
Однако в 2013 году America Movil снова появилась сила, которая толкает к разорению компанию.
В 2014 году сила, толкающая America Movil к разорению еще более усилилась.
Что тут можно сказать, думайте дальше сами дорогие читатели.
Все графики у вас перед глазами анализируйте самостоятельно, тренируйте свои мозги.
Для чего нужны физико-математические модели?
Что они моделируют и какую выгоду они дают бизнесмену?
Ведь бизнес можно вести без знания высокой материи физики и математики.
Да, можно.
Но вот, вам вопрос.
Допустим есть два человека, у них одна цель, создать атомную бомбу.
Но, один знает физику и математику и идет к своей цели через физико-математическое моделирование и расчеты, а другой на практике методом проб и ошибок, без расчетов и моделирования.
Вопрос, кто БЫСТРЕЕ достигнет цели?
Ответ очевиден.
Атомную бомбу построили за каких-то 50—60 лет, благодаря физико-математическим расчетам и моделированию, а практические испытания основывались на этих формулах.
А вот построить атомную бомбу без знания физики и математики навряд ли получится.
Точно так же и в бизнесе.
Знание физико-математического моделирования бизнес процессов, позволяет более точнее разобраться в их функционировании и БЫСТРЕЕ достигнуть своей бизнес цели.
А вот без знания ФММ, скорость достижение бизнес цели ЗАМЕДЛЯЕТСЯ.
Нет, вы конечно достигнете своей бизнес цели, при достаточной сильной целеустремлённости, но на это у вас уйдет много времени и много денег.
Я разобрался, благодаря ФММ, в бизнес процессах за полгода.
Если бы я шел традиционным путем, заимствуя опыт у наставников, теряя деньги на ошибках и пробах в своем бизнесе, читая книги и изречения ГУРУ бизнеса, пытаясь понять, что они имели в виду в своих высказываниях, посещая всевозможные семинары, и т. д.
У меня бы на все это, ушла бы вся оставшаяся жизнь.
К тому же, ни один из великих ГУРУ бизнеса не раскрывает все свои секреты бизнеса до конца.
Все свои самые ценные секреты, он передает детям по наследству, как и бизнес.
У вас же уйдет на то, чтобы понять, что такое бизнес, вся жизнь, если вы пойдете традиционным путем.
Вся жизнь и полгода.
Чувствуете разницу?
И так приступим, и начнем мы с классификации физико-математическим моделей для анализа бизнес процессов.
Всего существует только три модели для анализа бизнес процессов, все остальные модели – это производные от этих трех.
Самая простая модель, которую вы будете часто использовать, это детерминированная модель.
Вторая модель, которую вы тоже будете использовать, это статистическая модель.
И наконец третья модель, это стохастическая или вероятностно-статистическая модель, которую вы возможно вообще не будете использовать.
1.Детерминированая.
2.Статистическая.
3.Стохастическая, она же вероятностно-статистическая.
Детерминированная модель – это модель, основанная на аналитических формулах и представлена в виде множества объектов типа «вмещающее тело» в виде черного ящика и множества потоков, курсирующих между «вмещающими телами».
Примечание: тело называется вмещающим, потому что оно вмещает в себя множество разнообразных предметом и объектов, обладающих энергией.
Пример: вмещающее тело фирма – вмещает в себя множество работников и сотрудников, обладающих энергией, что в совокупности составляет энергию всей фирмы.
Статистическая модель – модель как правило представленная множеством накопленных данных в течении некоторого времени и приведенная к таким характеристикам как среднее значение – математическое ожидание и стандартное отклонение или другой его аналог, дисперсия.
В статистической модели как правило и сравниваются эти характеристики и анализируется какой-либо сегмент какого-либо пространства имен.
Стохастическая модель, она же вероятностно-статистическая модель– это модель, в которой кроме как анализа среднего значения и стандартного отклонения, анализируются еще вероятностные характеристики.
Этой моделью как правило редко пользуются среднестатистические обыватели-бизнесмены.
Сложность моделей возрастает от детерминированной к вероятно-статистической.
Но, чем более сложные модели вы строите, тем более точную картину бизнеса вы получаете, и тем более точнее ваш прогноз и анализ, и тем большую выгоду вы приобретаете.
Как выглядит детерминированная модель?
Для этого надо просто посмотреть рисунок №5.
Но этот рисунок довольно упрощенный, давайте немного усложним его.
И представим его в таком виде, смотрите рисунок №26.

Рис. №26
У нас представлены два черных ящика или вмещающих тел.
Фирма и ИП, генерирующее информационный поток в виде рекламы о продаже товара и этот поток идет в направлении второго черного ящика или вмещающего тела под названием Рынок и Клиенты.
В результате воздействия информационного потока на целевую аудиторию рынка, рынок возбуждается и переходит на более высокое энергетическое состояние и это вызывает появление другого потока, называющегося клиентский поток.
Клиентский поток состоит из двух составляющих, денежного потока и информационного потока обратно связи, с помощью которого производится корректировка первого информационного потока, то есть рекламы, с целью снизить затраты на рекламу или найти новые целевые аудитории и рынки.
Поскольку это поток, не важно какой, то у потока есть скорость и обозначается она латинской буквой V, так же у потока есть ускорение, обозначается латинской буквой, а.
Что бы создать любой поток, необходимо затратить энергию на его создание, поддержание и функционирования, поэтому у потока имеется еще и энергия, обозначается латинской буквой, e.
Обычное перемножение ускорения потока на его энергию, мы получаем силу данного потока, и обозначаем латинской буквой, F.
Таким образом поскольку у нас получилась модель, в которой имеется множество потоков, мы каждый поток подписываем этими буквами и ставить чему они равны.

Рис. №27
Таким образом подписывается каждый поток.
Давайте теперь пройдемся по потокам.
Денежный поток, это у нас выручка, то что отдает нам рынок.
У нас получается стрелка (поток), направленная от рынка к нашей фирме.
Еще есть денежный поток затрат, это стрелка (поток), направленная от фирмы к рынку, так как деньги расходуются на закупку материалов и прочего. То есть деньги уходят от нас в сторону рынка.
И еще денежный поток прибыли, тут стрелка будет направлена в сторону нашей цели, то есть появляется еще один черный ящик, выражающий нашу цель.
Вот таким образом, рисуя потоки и куда они направлены, у нас вырисовывается детерминированная модель, не забываем подписывать числовые характеристики потоков, их скорость, ускорение, энергию и силу.
У каждого получится своя карта, таких потоков и вмещающих объектов (черных ящиков), поскольку у каждого бизнеса свои особенности.
Относительно формул, которые используются в детерминированной модели.

Где E – есть энергия, а с в квадрате – скорость света.
Так же в детерминированной модели используются конверсии, но мы тут их не рассматриваем, по поводу них, достаточно много материалов находится в интернете.
На этом с детерминированными моделями все, более подробнее рассмотрим детерминированные модели в другой книге, которая будет продолжением этой.
А сейчас перейдет к статистическим моделям.
Как уже говорилось выше, статистическая модель представлена накопленными данными в течении некоторого времени и нахождение среднего значения и стандартного отклонения.
С последующим анализом этих средних значений и стандартных отклонений.
То есть, если у нас есть годовая выручка и нам необходимо узнать среднюю выручку в месяц, то эту выручку надо разделить на 12 месяцев и у нас получится средняя выручка за месяц.
Формула для расчета среднего значения.

Формула расчета стандартного отклонения

После расчета среднего и стандарта, дальше идет простое сравнивание их.
Тут сравнивание и их анализ делится на две категории (вообще-то намного больше), но мы будем использовать самые распространённые.
Простое визуальное сравнение на графиках, при условии, что сравнивается не более трех, четырех и пяти объектов. Здесь показаны графики для ознакомления.

Рис. №28

Рис. №29

Рис. №30
Самая верхняя линия обозначает границу среднего значения плюс стандартное отклонение.
Средняя линия обозначает само среднее значение.
Нижняя линия обозначает границу среднего значения минус стандартное отклонение.
Если же количество объектов для сравнении больше пяти, 15, 20, 50, 100, 200.
То на помощь приходит метод дендограмм.
В котором используются статистика Фишера и статистика Стьюдента. И уже на основании этих данных строится ранжированная и с группированная дендограмма по среднему и стандарту.

Рис. №31
Получится что-то вроде такого иерархического списка, который и называется дендограмма.
Данный метод хорошо использовать для анализа акций множества компаний с целью их ранжирования и группирования, и определения их доходности и выгодности приобретения.
Так же хорошо дендограммами рассматривать, какую экономическую нишу, и какую её часть занимают все анализируемые компании в конкурентной борьбе, для последующего анализа выбора стратегии поведения на рынке.
Следующая модель стохастическая, как уже говорилось, кроме анализа среднего и стандартного отклонения анализирует случайные величины или события.
Рассматривать в данной книге я не буду, так как в ней действительно очень много математики.
Для вас, это будет, во-первых, неинтересно, а во-вторых очень сложно и не понятно.
Так что в данной книге, я опущу рассматривание этой модели и оставлю для какого нибудь другого случая и в другой книге.
Эта глава посвящена людям, которые беззастенчиво тырят чужие произведения и не соизволяют оплачивать тяжелый интеллектуальный труд писателя.
Я не стал бы писать данную главу, если бы не такая беззастенчивая ситуация, которая сложилась с моей книгой, да и не только с моей книгой. А вообще с той ситуации, которая сложилась в России в интернет пространстве с издательским бизнесом.
Как я уже и говорил в приквел введении, мой труд в 50 страниц за 12 дней разошелся по интернету по пиратским ресурсам, с которых можно скачать книгу не оплачивая её стоимость издателю и писателю.
Мои писательский опыт не такой большой, и я не знаю особенности издательской деятельности и издательского бизнеса. Поэтому я написал небольшой труд в 50 страниц, с тем чтоб проверить целевую аудиторию и возможность дальнейшей работы над более многостраничной книгой и более качественно оформленной.
Когда я посмотрел статистику продаж, я удивился, что было продано за 12 дней всего две книги.
Я залез в поисковик и решил посмотреть, что там с морей книгой.
Я был удивлен, я насчитал порядка 30 сайтов, которые предлагали абсолютно бесплатно скачать мою книгу.
В начале я был огорчен, что весь мой труд в будущем останется не оплаченным, если я выпущу много страничную книгу, но остыв и взял «карандаш», я начал методично вести обсчет, негативный результат тоже результат.
И вот, что я выявил.
Я выяснил, что существует две категории пользователей интернета, которые беззастенчиво тырят чужой интеллектуальный труд.
Первые, это владельцы сайтов, которые размещают у себя ссылки на бесплатные файлообменники, или сами являются такими сайтами файлообменниками и торрентами.
И вторые, это пользователи, которые пользуются этими сайтами и бесплатно скачивают с помощью пиратских сайтов себе электронные книги.
Первых я назвал паразитами, вторых халявщиками.
Термины достаточно точные и не мной придуманные.
Если с халявщиками более-менее понятно. То с паразитами все намного сложнее, они между собой оказываются сильно подразделяются и дифференцируются.
Давайте посмотри, что они пишут у себя на сайте. Их материалы не исправлялись и подаются в том виде в котором они представлены на своих сайтах, то есть без грамматических исправлений.
Вот один образчик хитрости
Вы можете бесплатно скачать книги, журналы, аудиокниги и другую полезную информацию по ссылкам на нашем сайте. Запрещено использование информации сайта в целях, противоречащих законам США или Израиля и нормам международного права. Наш сайт содержит ссылки на другие ресурсы. На сайте http:/**** не хранится файлы, которые нарушают законы США или Израиля. Все ссылки на ресурсы в Сети, содержащие файлы и пр. объекты интеллектуальной собственности, размещены на правах рекламы или в ознакомительных целях. Администрация сайта не несет ответственность за содержание других сайтов.
Сайт явно распространяет ссылки на ресурсы с которых можно скачать любую книгу бесплатно.
Паразит явно думает, что спрятался за законами США и Израиля и прятаться за законами РФ ему не надо и это обеспечит ему безопасность от судебного преследования, и как он хитро написал описание своего сайта, не дай бог ФБР и Моссад его возьмут за одно мягкое место, как он их боится.
А как выдумаете, зачем этот сайт и его владелец публикуют эти ссылки на бесплатное скачивание?
Что он с них зарабатывает, ведь на сайте нет рекламы от Яндекс или Google.
Так с чего он зарабатывает?
Он зарабатывает от количества скаченных файлов с бесплатных файлообменниках.
Если вы зарегистрируетесь на таких сайтах и будете размещать там файлы, без разницы какие, то за каждый скачанный файл, вы получаете денежки и чем больше размер вашего файла, что вы туда разместили, тем больше денежное вознаграждение.
Таким образом этот сайт является ловушкой, с которого человек перенаправляется на сайт файлообменники. Естественно данный сайт ничего не нарушает.
Нарушением является то, что с его зарегистрированного аккаунта на файлообменнике, идет распространение чужого литературного произведения.
За это распространение владелец сайта ловушки и получает деньги.
Паразит решил заработать на желании халявщиков бесплатно почитать какую-нибудь книгу.
Один из торрентов, разместивший целиком всю книгу. За 12 дней проголосовало за книгу 31 человек и поблагодарили за нее 104 человека.
А сколько просто скачали и не поблагодарили?
Если прикинуть сюда воронку продаж и априорно предположить, что конверсия благодарностей 10% в лучшем случае или 5% в худшем случае, то получится, что скачали книгу 1040 человек или 2080 человек в худшем случае и это за 12 дней.
Потери в продажах 122 руб. * 1040 шт. или 2080 шт. = 126 880 рублей или 253 760 рублей за 12 дней.
Ну сайт торрент это вообще полная халява.
А вот что он пишет для правообладателей
Информация для правообладателей
Данный ресурс не содержит никакой другой информации, кроме описаний отдельных файлов или их групп, имеющихся у некоторых пользователей данного ресурса. Подтверждением наличия данных файлов у пользователя может иногда являться специальный набор значений, представляющих собой результаты применения односторонних хеш-функций к этим файлам или их группам. Данные наборы значений объединяются пользователями в единое целое и могут быть выложены ими вместе с описаниями имеющихся у них файлов. Администрация данного ресурса не имеет физической возможности убедиться, что описания файлов, выложенные нашими пользователями, равно как и созданные ими наборы хешей от файлов, соответствуют реальным файлам имеющимся у пользователей, а не созданы каким-либо иным способом.
В случае возникновения подозрений в законности нахождения на компьютерах пользователей тех или иных файлов, обращайтесь непосредственно к ним за подтверждением или опровержением ваших подозрений. Администрация не рассматривает жалобы на то, что предоставленные пользователями описания и хеши могут соответствовать файлам, хранить или распространять которые пользователь не имеет права. Исключение составляют случаи, когда непосредственно описание файла нарушает законодательство РФ или страны расположения сервера, на котором функционирует наш ресурс или проживает пользователь. В этом случае вы можете обратиться с обоснованной жалобой (со ссылками на законодательство) по адресу. Все надлежащим образом оформленные обращения рассматриваются в срок до 72 часов.
Простым языком, они хотят сказать, что файл разрезан на части, и каждая часть хранится на разных компьютерах в интернете. И более того администрация даже не рассматривает жалобы на нарушение авторского права, только в крайних случаях. А мутной воды то, нагнали сколько.
Тоже такие же хитрецы, только вот непонятно за счет чего они зарабатывают деньги, чтоб содержать сайт торрент.
Еще один сайт посредник, который перенаправляет ссылками на бесплатные файлообменники.
Вот что он пишет для правообладателей
Если вы не хотите, чтобы какая-либо книга была описана на сайте, по каким бы то нибыло причинам, свяжитесь с нами через e-mail: и мы обязательно удовлетворим ваши требования! Указывайте в сообщении ссылки на публикации, к которым относятся ваши претензии. Так же, обратите внимание на то, что на сервере не хранится ни одного файла. Наш сайт, это всего лишь набор новостей и ссылок от посетителей сайта и других открытых источников интернета. Администрация сервера не располагает информацией о правомерности опубликования материалов. Так как мы не можем проверить правомерность размещенного материала нашими посетителями, мы удаляем с сайта публикации, которые могут нарушать, чьи либо права по первому требованию правообладателя. Ссылки на книги предоставлены для ознакомления, авторские права на книги принадлежат авторам книг!
Какая отговорка, сайт не хранит файлы. Попытался зарегистрироваться на их сайте, не дает, выбрасывает.
Так же зарабатывают за счет оплаты от сайтов файлообменников.
Еще один сайт ловушка.
Вот что он пишет.
Если вы являетесь владельцем, автором или законным представителем владельца (автора) представленных на сайте материалов и прочей информации и у вас есть возражения или замечания по данному факту, хотите дополнить его или изменить, уточнить какие либо реквизиты или опубликовать другие документы, то свяжитесь с нами через форму обратной связи на сайте и после того, как вы удостоверите своё право соответствующими документами, мы примем все меры, чтобы устранить факты, нарушающие ваше право собственности или выполнить другие разумные требования.
Администрация сайта в обязательном порядке удаляет всю информацию нарушающую авторские права, по первому требованию правообладателе
Вы зачем размещаете материалы на своем сайт без разрешения правообладателей?
Для того, чтоб разбираться после драки?
Когда, будет разбор после драки?
А сколько материала уйдет во время разбора «полетов» в ущерб издателю?
Надежда на русское, авось пройдет, авось не заметят.
Автор то, заметил.
И что самое интересно, все эти сайты ставят знак копирайта.
То есть, они могут тырить чужое, а у них нельзя тырить.
Ха – ха – ха.
Вот что написано на еще одном сайте.
На сайте строго запрещено
– сообщения, не относящиеся к содержанию статьи или к контексту обсуждения
– оскорбление и угрозы в адрес посетителей сайта
– в комментариях запрещаются выражения, содержащие ненормативную лексику, унижающие человеческое достоинство, разжигающие межнациональную рознь
– спам, а также реклама любых товаров и услуг, иных ресурсов, СМИ или событий, не относящихся к контексту обсуждения статьи
Давайте будем уважать друг друга и сайт, на который Вы и другие читатели приходят пообщаться и высказать свои мысли. Администрация сайта оставляет за собой право удалять комментарии или часть комментариев, если они не соответствуют данным требованиям.
При нарушении правил вам может быть дано предупреждение. В некоторых случаях может быть дан банбез предупреждений. По вопросам снятия бана писать администратору.
Оскорбление администраторов или модераторов также караются баном – уважайте чужой труд.
Особенно впечатляет последняя строка, уважайте чужой труд и при этом не уважают труд писателя и бесплатно его распространяют.
А про правообладателей вообще ничего нет.
Еще строка, давайте уважать друг друга.
А вы труд писателя уважаете, хочется вас спросить?
А вот информация для правообладателей с другого сайта. Человек явно не парился.
Если вы являетесь правообладателем того или иного материала, находящегося на сайте и не желаете, чтобы он и далее находился в свободном доступе, то мы готовы оказать содействие по удалению данного материала, а также обсудить условия предоставления данного контента пользователям
Какой слог у персонажа.
Распространяют без авторских отчислений книгу и без разрешения издателя.
И еще окажут содействие в удалении со своего сайта.
Какой наглец.
И тут же набивается в официальные распространители.
А один сайт вообще испугался, после того как представился автором.
Меня сразу заблокировали.
Но, я нашел способ обойти и посмотреть статистику.
О правах правообладателей вообще ничего нет.
С их сайта на книге поставили, что понравилось 30 человек, опять накладываем воронку продаж в 10%, получаем 300 скачиваний за 12 дней.
Посмотрим теперь отзывы на этом закрывшем мне доступ сайте.
Халявщик. – Это просто жесть… Как по мне не стоит даже скачивать.
Автор. – А зачем тогда скачивал? Или ты думал, что бесплатно воспользуешься, сэкономишь 122 рубля, а взамен получишь большой такой секрет, который позволит тебе стать миллионером?
Ты действительно думал, что за 122 рубля, я раскрою в этой книге секрет, на открытие и понимание которого, я ухлопал несколько миллионов и два бизнеса?
Ты что, за лоха меня держись?
В этой книге количество информации ровно на 122 рубля, не больше и не меньше.
И если бы я продавал секрет, который позволит стать миллионером, я бы его как Бизнес Молодость продавал за миллионы.
Хотя еще раз повторяю секрета нет. Достаточно знать научные дисциплины чтоб это понимать.
И если украв книгу, ты остался разочарованным и огорченным, то это твои проблемы. А я по результатам твоих разочарований чувствую себя героем, так как сам того не зная «обул мелкого воришку»
Ты сам признался и прокричал на весь интернет, что тебя обманули.
Украл книгу, прочитал украденное произведение, остался недоволен украденным товаром. И на весь мир всем рассказал, что тебя обманули.
Ну что могу сказать, так тебе и надо халявщику.
Негативный отзыв от негативного персонажа (халявщика) это положительный отзыв.
Вот еще один отзыв.
Халявщик. – А как по мне, то описание самой модели БМ например очень близка к реальности.
Из 1000 человек которых они гарантируют сделать миллионерами 990 гарантированно сливаются, но о них на продажниках ни слова, на всех продажниках только успех и оставшаяся десятка.
Ребята по сути делают бабло на количестве слушателей и на умении заряжать энергией, по факту как бизнесмены они никакие.
Для тех же у кого-то, что-то не получается и для большей части слившихся ответ один, «Вы мало работали или делали что-то не так» оригинальная концепция, правда?
Что бы методики имели место назваться рабочим, они должны работать у 70—80% при выполнении условий, (а за такое бабло даже хромой начнёт по утрам бегать выполняя условия)
А вот если методики работают только у 10—20% то это больше отбив с количества по кривой вероятности.
Не спорю, не стыковок в книге хватает, но общие моменты по сути представлены верно, да и написанное не претендует на факты в последней инстанции, как я понял автор больше размышляет и глупо принимать на веру все его доводы, читать такое надо как художественную литературу, что бы не вызывать внутренних возмущений.
Автор. – Человек прочитал и все понял, хоть и не заплатил издателю. Да не стыковки есть, более того они специально расставлены, людям интересен конфликт, логические ошибки, трагедия, а неинтересная, хорошая, честная жизнь, заканчивающаяся как в сказке.
И стали они жить поживать, добра наживать и горя не видать.
Вот что пишет следующий.
Халявщик — Тут даже не в концепции дело. Тут стоит понимать, что любой бизнес, в любой нише– это отдельный конкретный и уникальный случай, и не существует универсальных методик по поднятию бизнеса. Если у одного человека получилось запустить успешный проект, это не значит, что следуя по его стопам получится запустить ещё один успешный проект. Да, можно выделить основные направления, или хотя бы примерный план по организации, рекламе, и другим аспектам, но это в любом случае весьма поверхностные рекомендации. Чтобы основать успешное дело, пусть даже небольшое, надо как минимум иметь голову на плечах, и реально оценивать ситуацию, понимая, что если ты проплатил курс от БМ это ещё не гарантия успеха.
Автор. – Из всего потока соглашательства данного персонажа, главное, что он понял. Сколько ты не заплатил в БМ, это еще не гарантия успеха. А с большей вероятностью гарантия провала.
Халявщик. – Самое главное в любом бизнесе это статистика и подсчеты! БМ на основании этого и делает бизнес. Всегда в любом обучении более менее нормальном будут те у кого получается – эти люди и делают дальнейшую кассу. в плане рекламы, формирования сообщества и так далее. Это у любых инофобизов так и любых сообществ! Это законы сообществ! Кто их знает тот их применяет и получает профитъ!)
Автор. – Ну не к чему привязаться к этому халявщику, кроме того, что он не заплатил издательству.
Халявщик. – Ознакомлюсь только из-за возникшего ажиотажа.
Автор. – Алле халявщик, верни деньги за использование чужого информационного материала.
А вот еще один сайт, эти халявщики, и паразиты поразили меня вообще.
Вот что они пишут для правообладателей.
На нашем сайте не хранится ни одного файла или документа, который нарушал бы смежное или авторское право. Сайт представляет собой ссылки на внешние общедоступные источники в сети Интернет, не подконтрольные администрации сайта, а, следовательно, не несет никакой ответственности за их содержание.
Вся информация, размещенная на данном сайте, предоставлена исключительно в ознакомительных целях и только для просмотра, и призвана помочь посетителям сайта выбрать для себя и в последствии приобрести соответствующие лицензионные авторские продукты.
Его создатели не несут никакой ответственности за любое незаконное распространение или использование информации и ссылок на продукты в коммерческих и других целях, распространении спама, нанесении вреда другим лицам и т. д., что может повлечь за собою нарушение прав изготовителей и правообладателей данных программных продуктов или третьих лиц, и нанесение материальных или финансовых убытков.
Если Вы являетесь правообладателем продуктов, информация о которых размещена на сайте, и не хотите, чтобы она распространялась, то администрация сайта будет рада оказать Вам содействие, удалив соответствующие внешние ссылки. Для того, чтобы соответствующая ссылка была удалена, Вам, как правообладателю, необходимо связаться с нами и предоставить следующую информацию:
1. Заверенную нотариусом копию документа, подтверждающего Ваше авторское или смежное право на программный продукт.
2. Заверенную нотариусом копию документа, позволяющего однозначно идентифицировать Вас как правообладателя.
3. ФИО, адрес и телефон нотариуса, заверявшего документы.
4. Официальный почтовый адрес (с домена компании-правообладателя).
5. Прямую ссылку на страницу сайта, где размещены материалы, подпадающие под Ваше авторское или смежное право.
6. Дополнительную информацию, которую Вы желаете разместить на месте удаленной ссылки на программный продукт.
После выполнения всех этих действий, мы в течении 48 часов удалим соответствующие ссылки с сайта
Так мало того, они предлагают приватный доступ к украденным материалам за 40$.
После регистрации у них, от них пришло письмо, что за каждого приведённого «кролика» вы получите скидку на доступ к приватным (украденным) материалам.
Явно владелец ресурса мечтает о лаврах Сноудена.
Настоящий заводчик-производитель по «разводу» кроликов.
Нафиг платить на твоем ресурсе, если все можно скачать за бесплатно с других ресурсов.
А официально купить мое книгу дешевле, чем у паразита получить приватный доступ за 40 долларов.
В общем там, где была возможность зарегистрироваться и получить доступ к своей украденной книге, я представлялся автором и меня моментально блокировали.
Воровать не боятся, а разговаривать с автором трусят.
Халявщик. – Уйгур из Молдавии… Не написал ещё курса? Очень жду…
Автор – Если спрос рынка будет на уйгура из Молдавии, будет тебе уйгур из Молдавии. Но то, что твой ник и твое имя точно не появиться ни в одной книге это точно. Твоя участь, прожить свою жизнь в небытие, и окончить её в безвестности.
Халявщик – Что ЭТО? Кто автор? Продажник?
Автор – Какая тебе разница, кто автор, продажник или нет, ты же книгу бесплатно скачал, довольствуйся украденным материалом. За 122 рубля, которые ты зажал, кто он продажник или нет, тебе ни денег, ни ума не принесет.
Халявщик. – Улыбнуло – «Жребий упал не в пользу бизнес молодости и мой дальнейший план сходить в банк и взять кредит для оплаты целого пакета курсов канул в небытие.»
Бизнесмен не в состоянии оплатить тренинги б. м учит как зарабатывать миллионы
Автор – Еще один умник. Кто ты такой? Ты видел ценники у БМ?
У них пакет курсов под несколько миллионов стоит. Для меня на тот момент это была отрезвляющая сумма, и мне жалко тратить на то, что даст мне обогащение с вероятностью 30% и с вероятностью 70% дает возможность разориться, профукать несколько миллионов и оказаться лохом. А для тебя 122 рубля очень большие деньги, настолько большие, что жаба тебя задавила, что решил бесплатно скачать, не заплатив издательству и автору стоимость книги. Чувствуешь свой маленький масштаб, ты крадешь книжку стоимостью 122 рубля и еще берешь на себя смелость комментировать финансовое состояние автора.
Если ведешь бизнес, постоянно работаешь в цейтноте, денег постоянно не хватает для бизнеса, называется этот цейтнот – кассовый разрыв. Для меня в пределах нормы взять кредит, провернуть операцию, получить прибыль и отдать кредит. Снова взять кредит, провернуть операцию и остаться должником. Сегодня я миллионер, а завтра беднее бомжа, потому что всем должен. А послезавтра снова миллионер. А твой масштаб – это украсть книжку стоимостью 122 рубля. Не удивлюсь, что на общественном транспорте ты ездишь «зайцем» и «экономишь», то бишь воруешь.
И последнее, я никого ни учу, я раскрываю механизмы функционирования бизнеса, а учится или нет это сами читатели решают.
Халявщик. – Прочитал). В этой книге не учат зарабатывать миллионы)
В принципе мне понравилось как автор смотрит на некоторые вещи в бизнесе (Очень понравилась про мат. моделирование и метод больших чисел).
Автор в пух и прах разнес БМ, в принципе я с ним от части согласен, что главная цель БМ это нажива, но в целом методики которые дает БМ очень даже действенные. И если применить хотя бы часть знаний от БМ на практике, то не заработать практически нереально.
p. s книжка коротенькая, прочитал за 20 мин.
Автор. – Спасибо за положительный комментарий, прощаю Вам 122 рубля, которые вы не заплатила за мою книгу, которую прочитали.
Все правильно, я не учу как вести бизнес, я рассказываю, как функционирует бизнес, привожу примеры и разбираю их на основе математики. А учится или нет, это вам самим решать.
А сейчас пойдет самый интересный и большой комментарий. Комментатор-халявщик, этого комментария, настолько не поленился разобрать по косточкам мой труд в 50 страниц, что разродился целым опусом.
Халавщик. – Не стоит тратить время на этот текст. Хотя бы вот почему:
1. Полно грамматических и орфографических ошибок. Ну если данный труд гордо называется «книгой», то нужно хотя бы исправить очевидные ошибки, а потом уже публиковать. Это нам как бы намекает о качестве материала и ответственности людей, создававших сей труд.
2. Используются какие-то совершенно не обоснованные цифры и законы теории вероятности. Цитата:
а) «Теперь немного математики, немного отвлечемся. Представим себе ситуацию, что имеется 100 человек, которые не умеют плавать, если их всех столкнуть в бассейн, то согласно законам математической статистики, появляются интересные закономерности. Из 100 человек, 2 станут чемпионами, 28 человек худо, бедно научатся плавать, остальные 70 человек утонут. Если это применить к бизнесу, то из 100 человек, которые записались на курсы бизнес молодости, 2 станут миллионерами, 28 резко прибавят в доходах своего бизнеса, а остальные 70 бизнесменов не получат положительный результат.»
Извините, а на каком основании мы применяем закономерности, которые наблюдаются в бассейне, к реальному бизнесу? И именно на разделении «30 – станут успешными, 70 – станут неудачниками» строится вся логика дальнейшего повествования. А откуда это разделение? Правильно, из головы автора, так как ссылок на какие-то статистические наблюдения в конце книги не приведено. А к цифрам, полученным эмпирическим путем, человеком, который хотел «сходить в банк и взять кредит для оплаты целого пакета курсов», нужно относиться особенно настороженно.
б) Автор в своих рассуждениях активно ссылается на «закон больших чисел». У меня хоть далеко не пятерка в зачетке по теорверу, но мне всегда казалось, что данный закон применяется в отношении НЕЗАВИСИМЫХ СЛУЧАЙНЫЙ ВЕЛИЧИН. То есть исходы опыта не зависят друг от друга. Например, подкидывание монетки. Однако автор применяет этот закон к ВЫПУСКНИКАМ БМ. Он полагает, что количество успешных выпускников известно заранее и равно примерно 30%.
По-моему, это откровенный бред. Хотя бы потому что испытания не независимы. Ведь когда рядом с тобой сидит человек, заработавший на прошлой неделе несколько десятков тысяч, ты явно будешь хоть что-то делать и соответсвенно получать результат. То есть события влияют друг на друга.
3. Можно найти еще много как минимум спорных моментов. Но не стал дочитывать это «творение».
Автор. – Ну что же, давайте «опускать» на землю, а может ниже плинтуса, этого воришку, укравшего 122 рубля у издательства и автора и дающего рекомендацию «авторитетного вора» для других воришек, не читать это чтиво.
Поскольку он не поленился по косточкам разобрать сей труд, как он выразился, я тоже по косточкам разберу его предъявы.
Я сей труд накропал за 6 часов.
Целью этой книжки является протестировать целевую аудиторию на предмет возможности выпустить другой труд более качественный и более объемный. Зачем писать книгу в 500 страниц, если её не будут читать и покупать, а тем более будут разворовывать в интернете, как этот халявщик разродившийся этим опусом.
Грамматические ошибки я специально не исправлял.
Во-первых, лень.
Во-вторых, если содержание действительно интересно, то люди прочитают и не будут обращать внимание на орфографию и грамматику. А значит книга действительно интересна и захватывающая.
А в-третьих, нанять профессионального корректора стоит 1000 рублей за страницу или итого получается 50 000 рублей.
Я задаю тебе вопрос.
Ты бы тратил деньги на товар, который не известно будет продаваться или нет, а тем более будет разворовываться?
Вот в том то и дело.
Тупой халявщик ищет миллионера-лоха, который будет сорить деньгами для того чтоб у него украли деньги всякие халявщики и паразиты.
Ну это прямо розовая мечта каждого паразита и халявщика.
Зачем тратить 50 тысяч рублей на труд, который разойдется по интернету бесплатно.
Или ты меня за лоха принимаешь, чтоб я специально для тебя потратил 50 тысяч, чтоб ты мог беззастенчиво, бесплатно скачать и удобно с комфортом прочитать украденный труд?
Из всех халявщиков, только ты обратил внимание на грамматические ошибки, значит ты не видишь ветви и ствол дерева за листвой и на мир смотришь поверхностно. Тебя не интересовал смысл и содержание, тебя интересовало оформление.
И о какой ответственности ты говоришь, если твоя ответственность – это красть чужие произведения и не нести за это ответственности.
Переходим к другой претензии халявщика.
На каком основании я применяю закономерности из бассейна для плавцов к реальному бизнесу. Халявщик не знает, как применять математическую статистику и нормальное распределение случайных величин в практических целях.
Идите батенька учите математическую статистику и теорию вероятностей. Если вам нужны эмпирические наблюдения по выпускникам БМ сходите к ним и возьмите у них всю статистику. Мне они в качестве доказательств не нужны, это вам нужно, вашей глупой голове с претензиями и большими амбициями на свою ученость.
Тем более сам халявщик признается, что по теории вероятности у него тройка или в худшем случае двойка. А расписал свои мысли, как будто у него пятёрка по высшей математике или на худой конец кандидатская степень.
А какой слог выдает халявщик, выделяет НЕЗАВИСИМЫЕ СЛУЧАЙНЫЕ ВЕЛИЧИНЫ И ВЫПУСКНИКИ БМ.
Ты кого решил задавить МАТЕМАТИКОЙ?
Если сам говоришь и приводишь необоснованно эксперимент с подбрасыванием монетки, согласно твоей же логики и применяешь к бизнесу.
Задам тебе вопрос.
А сам твой эксперимент является НЕЗАВИСИМЫМ как ты утверждаешь?
Если ты подбрасываешь одну и туже монетку, и монетка у тебя в единственном числе.
Далее халявщик утверждает, что все ВЫПУСКНИКИ БМ учатся друг у друга и это является главным фактором их богатства, так как в процессе учебы взаимодействуют друг на друга. Вопрос, зачем тогда нужен БМ с его бешеными расценками? Когда надо просто всем собраться и учится друг у друга и не платить БМ.
Твои мозги заштампованы, ты не можешь из бизнеса привести пример, поэтому приводишь подбрасывание монетки, тупо слизав из учебника.
Да и вообще стоит ли обращать внимание на отзыв человека, который украл книгу стоимостью 122 рубля и пытается не умело на основе науки показать свою значимость, ученость, а на деле показавший свою недалекость и тупость.
Умный воришка украдет и будет тихо сидеть, а не афишировать факт кражи. А этот тупой халявщик целый опус написал, о факте воровства и о недостатках украденного товара, тем самым прямо сказал приходите арестовывайте меня.
И правильно господин халявщик, это творение не для вас, не надо вам воровать чужие творения и на критике украденного материала зарабатывать себе авторитет.
Так и хочется добавить, встань на колени и покайся в воровстве господин– халявщик-критик.
А вот еще один умник.
Халявщик. – Книга сама по-себе не создает впечатления целостности. Да, автор высказал свою субъективную точку зрения о БМ, выводе на рынок IPhone, немного о эффективности рекламы продаваемого товара тремя сотрудниками. Но вся эта информация в итоге бесполезна в силу отсутствия конкретного примера взаимодействия двух черных ящиков – предприятия (фирмы) и непосредственно рынка. Да, надо считать «силу», «интенсивность» исходящих и входящих потоков из/в «черных ящиков», но как это делать, на конкретном примере, автор в итоге умалчивает.
Автор. – Да эта книга не полная, а с какой это стати я должен выставить целиком и полностью хорошо подготовленную книгу на продажу, зная, что вы паразиты и халявщики сопрете и будете наживаться на моем интеллектуальном труде.
Я что, должен облегчить вам труд по зарабатыванию денег на воровстве чужого произведения, то есть моего?
Этот халявщик еще упрекает меня, что я не раскрыл как считается «сила» и «интенсивность», не раскрыл как работают черные ящики и не привел конкретного примера.
Про «интенсивность» я вообще не говорил, это Вася сам, для придании себе более умного статуса отсебятину понес.
За идиота меня считаешь? Иди лесом Вася или как там тебя.
Чтоб, я тебе за бесплатно выложил математические формулы. Чтоб ты жил и в сале катался, а я на тебя бесплатно пахал. Как бы не так. Я на таких как ты насмотрелся и научился сливать в унитаз.
Если ты такой умный, как ты сам про себя возомнил, соглашаясь, что все надо обсчитывать, возьми учебники по математике и физике за среднюю школу и обсчитывай. Ни чего сложного нет. Но куда тебе, ты привык на все готовенькое, взять и стырить. Мозгами пошевелить не можешь. Видна твоя натура, с детства привык списывать у одноклассников.
И вот что самое интересное, все эти комментаторы-халявщики, на весь интернет трубят, вот какие они молодцы, бесплатно скачали книгу, прочитали её, не заплатив издательству и автору денежное вознаграждение, то есть, на весь интернет-мир кричат своими комментариями «Мы воришки, мы украли 122 рубля!!!»
При этом каждый хочет показать свою осведомлённость (ученость), что знают куда больше, чем сам автор, говоря о разных огрехах и неточностях и спорных моментах у автора и упрекая его в этом.
Ну не идиоты ли?
Так же не удивлюсь, что в виду такого количества воровства в интернете.
В скором времени появится человек, который будет выдавать себя за Бурята из Донбасса и будет выпускать свои работы под этим именем. В России, а тем более в Украине, все возможно.
Ну что же, подстелем соломку на будущий случай, подстрахуемся, другими словами.
Бурят из Донбасса говорит на редком, унгинском диалекте бурятского языка и все свои последующие главы книг, будет открывать цитатами на этом диалекте, так что раскрыть плагиатчика будет делом техники.
P. S. В конце я оставлю такой комментарий ко всем халявщиками и паразитам.
Вы сами, как думаете, будете гордится тем, что делаете?
Что свою жизнь, вы тратите на воровство!!!
Что вы детям своим оставите?
Я так и вижу, как Вы на смертном одре, позвали своих детей и передаете им все то, что в тяжелом труде на воровали у других людей.
И со словами: – Вот дети мои, я долго, на протяжении 40 лет, воровал чужой труд и передаю вам все свои накопления, ничтожные 50 тыс. рублей, ну или другую ничтожную сумму.
В мире бизнеса, все бизнесмены дифференцируется.
Кто-то акулы бизнеса, как Уорен Баффет, Стив Джобс и Билл Гейтс. Кто-то лев бизнеса как Тиньков, Чичваркин.
А вы господа халявщики и паразиты, одного поля ягодки.
Выбирайте сами: клещи, блохи, вши, глисты, аскариды, бычий цепень, ленточные черви и прочие. Одно слово, паразиты – вы.
Вы сами выбрали свою экономическую нишу, вы живете в ней, работаете в ней, зарабатываете на ней. И называется эта экономическая ниша – паразитический образ жизни и заработка денег на свою одноклеточную жизнь.
Это и есть ваш бизнес и ваша судьба, которую вы выбрали.
И вам никогда не удастся покинуть эту экономическую нишу, потому что по-другому вы зарабатывать деньги не умеете. И если думаете, что спрятались за ники и это дает вам возможность поливать меня грязью, то вот вам мой ответ. Я тоже прячусь под ником и вам не удастся оболгать мое честное и доброе имя.
Чем больше вы будете комментировать и показывать свою тупость, тем больше вероятности подпасть под раздачу в моих книгах. Где я буду вас размазывать по страницам моих книг, высмеивать и надсмехаться над вашим паразитическим образом жизни и образом мышления.
Ждите третью версию моей книги…