Знак информационной продукции (Федеральный закон № 436-ФЗ от 29.12.2010 г.)

Текст публикуется в авторской редакции
Переводчик: Олег Сивченко
Научные редакторы: Анастасия Волчок, Виталий Егоров
Редактор: Вячеслав Ионов
Главный редактор: Сергей Турко
Руководитель проекта: Лидия Мондонен
Художественное оформление и макет: Юрий Буга
Корректоры: Марина Угальская, Елена Аксенова
Компьютерная верстка: Максим Поташкин
Иллюстрации на обложке: gremlin / iStock / GettyImages
Все права защищены. Данная электронная книга предназначена исключительно для частного использования в личных (некоммерческих) целях. Электронная книга, ее части, фрагменты и элементы, включая текст, изображения и иное, не подлежат копированию и любому другому использованию без разрешения правообладателя. В частности, запрещено такое использование, в результате которого электронная книга, ее часть, фрагмент или элемент станут доступными ограниченному или неопределенному кругу лиц, в том числе посредством сети интернет, независимо от того, будет предоставляться доступ за плату или безвозмездно.
Копирование, воспроизведение и иное использование электронной книги, ее частей, фрагментов и элементов, выходящее за пределы частного использования в личных (некоммерческих) целях, без согласия правообладателя является незаконным и влечет уголовную, административную и гражданскую ответственность.
© 2021 Christopher E. Mason
The rights to the Russian-language edition obtained through Alexander Korzhenevski Agency (Moscow)
© Издание на русском языке, перевод, оформление.
ООО «Альпина Паблишер», 2025

Посвящается людям и другим существам, сознающим собственную уязвимость
Особая благодарность доктору Мэтью Маккею.
Доктор Мэтью Маккей не только подготовил прекрасные рисунки для этой книги, но и стал верным помощником в проработке деталей того прогноза, который здесь представлен. В ней обрисованы наши надежды и показано, что можно и что необходимо сделать ради нашего вида и всех прочих, за которые мы в ответе (в прошлом, настоящем и будущем). Мэтью безмерно помог мне как редактор, соавтор, собеседник и провидец. Хотя речь идет о будущем биотехнологии, генной инженерии и методах сохранения генетической информации, представленные идеи уходят корнями в опубликованные и пока что необнародованные работы доктора Маккея. Многие концепции для клеточной инженерии, биологических схем и проектов планетарного масштаба уже получили теоретическое обоснование в опубликованных Маккеем статьях и алгоритмах. Эта книга не появилась бы без его путеводных подсказок и научного предвидения.
В каждый нейрон человеческого мозга вплетено наше общее наследие – генетический код предков. Он записан в молекуле дезоксирибонуклеиновой кислоты (ДНК), которая успешно защищает и сохраняет всю сложность и красоту, заложенную в живых существах. Именно в ДНК содержится тот рецепт, по которому синтезируются тело и мозг человека. Того самого человека, чьи идеи и технологии позволили дотянуться до других планет и создать космический корабль, вышедший за пределы звездной системы, в которой существует человечество. Вот фундаментальная идея, которая легла в основу этой книги: естественные для человека как биологического вида способности, а именно изобретательность и креативность, позволили нам сконструировать ракеты и космические аппараты, добравшиеся до других планет. Ровно эти же способности потребуются для создания и выращивания организмов, которые могли бы постоянно проживать на других планетах.
Экспедиции к другим планетам, а также идеи глобального преобразования планет – это святая обязанность человечества, логично проистекающая из нашего уникального когнитивного и технологического потенциала. Ни один другой известный вид даже теоретически не может так эффективно извлекать пользу из осознанной неотвратимости смерти и из того, что преемственность сознания возможна только в результате передачи опыта от поколения к поколению. Насколько нам известно, только люди осознают, что наш вид может вымереть и что даже сама Земля не вечна. Следовательно, мы одни в состоянии активно оценивать риск вымирания (и купировать его) и заботиться не только о себе, но и о других живых существах. Это необычно. Большинство обязанностей в жизни можно осознанно брать на себя или не брать, но с этой все иначе. Осознание смертности вида – и необходимость не допустить его вымирания – вот единственная обязанность, превратившаяся в лейтмотив сразу же, как была осмыслена.
Просто дух захватывает от того, какую ответственность, силу и какие возможности мы приобретаем как пастыри Вселенной и охранители всего живого. Ведь наш долг перед мирозданием буквально заключается в сбережении жизни. Иначе говоря, мы должны предотвратить вымирание не только нашего вида, но и всех тех видов, от которых мы зависим, и тех, что оказались или могут оказаться на грани исчезновения. Это касается всех современных, будущих и ранее существовавших видов (нам придется научиться воскрешать их). Такой долг лежит не только на нас, но и на любом виде, который может вмешиваться в собственную биологию. Даже если наш вид не выживет, то этот долг перейдет к другим мыслящим существам, которые, несомненно, возникнут.
Независимо от того, кто будет населять Вселенную миллиарды лет спустя (мы или кто-то другой), жизнь не может ограничиваться пределами Земли, поскольку рано или поздно Солнце поглотит Землю, станет белым карликом и погибнет. Земля пока единственная известная нам планета, на которой можно жить, и если так все и останется, то она же станет нашей могилой. Следовательно, для нас жизненно важно добраться до других планет, обжить их, а далее обжить и планеты в других звездных системах, чтобы долг человечества выполнялся в будущем. Для этого необходимо задействовать всевозможные технологические, физические, фармакологические и медицинские защитные средства, которые известны сейчас и могут быть открыты в будущем. Сейчас – впервые в истории – мы можем прибегнуть к защите и на генетическом уровне. В рамках морального долга защитить и сохранить все живое мы в конечном итоге должны перейти к инженерии организмов. Пока в результате биологической эволюции жизнь существует только в пределах нашей родной планеты. Поэтому мы, равно как и все другие живые существа, нуждаемся в масштабной физической и генетической поддержке, чтобы выжить где-либо еще. Причем чтобы не только выжить, но и просто прибыть к нашему ближайшему пункту назначения.
Если отправить на другую планету любой организм, сформировавшийся на Земле, то он практически наверняка погибнет – и это прямо следует из печального общего вектора эволюции «авось выплывет». Этот путь не самый хороший, и мы не можем им ограничиваться. Сегодня мы знаем достаточно для модифицирования, подстраивания и проектирования жизни таким образом, чтобы повысить шансы на выживание или создать совершенно новые адаптивные возможности и механизмы. Наконец-то эволюция породила организм, способный направлять и проектировать биологическое развитие, причем не только собственное. Данный этап «направленной эволюции» всего живого, опирающийся на ранее существовавшие, имеющиеся и еще не сформировавшиеся генетические субстраты, – важнейший шаг для сохранения жизни как таковой.
Чтобы спасти жизнь, необходимо ее доработать. Кстати, люди уже неосознанно вмешиваются в развитие жизни и направляют эволюцию, пришло время делать это намеренно, видя в этом вектор и цель. Опираясь на уроки генетики, извлеченные из истории всех организмов, в течение миллиардов лет населявших Землю, мы разработали немало технологий, дающих такие возможности. Многие из них описаны в этой книге. Наша собственная ДНК несет в себе обрывочное наследие былой жизни и современный генетический материал, а также постоянно меняется в процессе непрерывной эволюции, ведущей в будущее.
По мере того как синтетическая биология и синтез ДНК становятся дешевле, мы начинаем мечтать даже о возрождении когда-то вымерших видов, а также представлять пути создания химерных или гибридных существ. Эти вопросы также рассматриваются в книге. Более того, изучение экстремофилов (организмов, существующих в крайне суровых экосистемах) позволяет выявлять новые способы адаптации к условиям, напоминающим инопланетные. Такие эксперименты уже ставят в лабораториях, например пытаются получать стабильные культуры клеток человека с генами тихоходок[1] и изучают их свойства. Такие технологии и новые методы должны помочь людям и другим организмам уцелеть в ранее совершенно непригодных для жизни условиях, в частности при запредельных уровнях радиации, давления или при экстремальных температурах.
Этот долг человечества – сохранить жизнь – столь же естественен, как деление клеток. В настоящий момент человечество столь же уязвимо, как одноклеточный эмбрион. Мы – эмбрион с грандиозным потенциалом, но пока находимся в самом начале развития и ограничены пределами своей родной планеты. Наш следующий шаг – переселение на одну из ближайших планет (например, на Марс) и ее освоение с целью заложить основы «запасного плана» для всего живого, включая человечество. Это станет моментом торжества, когда марсианские первопроходцы будут усталым взглядом провожать далекое солнце, садящееся за пыльный горизонт, и наблюдать голубоватые из-за дифракции света в тонкой марсианской атмосфере закатные лучи. Тогда мы наконец сможем считать своим домом не одну, а две планеты в пределах одной звездной системы.
Спустя десятилетия мы обживем многие небесные тела в пределах Солнечной системы. Технический прогресс и возможность проверять теории во множестве миров позволят нам собраться в первую межзвездную экспедицию примерно к 2500 г. Став межзвездным видом, мы фактически сможем перейти к освоению «резервной звездной системы», радикально снизив вероятность одновременного вымирания всего живого. Правда, здесь неизбежно возникают вопросы: сколько будет звезд, к которым мы отправимся? как их выбирать? насколько далеко мы готовы лететь? А будь у нас достаточно времени, хотелось бы ответить и на фундаментальные философские вопросы о бесконечном расширении или неизбежном коллапсе нашей Вселенной, ну и, конечно, предполагает ли широкое толкование нашего долга вмешательство в физическую структуру самой Вселенной. Эти вопросы также будут затронуты в данной книге.
Когда приходится решать, что лучше – искусственная жизнь или неизбежная смерть, выбор очевиден. Чтобы избежать вымирания, нам необходимо освоить инженерию в генетическом, клеточном, планетарном и межзвездном масштабе. Так мы сохраним человечество и прочие организмы, которые в следующей Вселенной могут и не возникнуть. Уникальный моральный долг нашего вида – это долг перед Вселенной и жизнью как она есть. Чтобы сберечь Вселенную, мы должны ее изменить.
Для этого необходим долгосрочный план. В этой книге мы рассмотрим первые 500 лет его реализации, поговорим, что нам известно из жизни бактерий, вирусов и целых планет, а также из опыта первых космонавтов и астронавтов, раздвигавших границы возможностей человека при освоении космоса.
340 дней к моей коже ничего не прикасалось… а сейчас любое прикосновение обжигает.
СКОТТ КЕЛЛИ,астронавт
Мы находились в кольце мониторов, пестрящих молекулярными и генетическими данными, а также всевозможной телеметрией, – и все как один недоумевали и волновались. Просто глазам поверить не могли.
«Вы когда-нибудь видели, чтобы показатели у человека так зашкаливали? – спросил доктор Сем Мейдан. – Как он вообще выжил?»
Дело было морозным декабрьским вечером в Нью-Йорке, заканчивался 2017 г. Мы собрались в генетической лаборатории в Медицинском колледже Вейля при Корнеллском университете. Только что был закончен интегрированный анализ всех молекулярных данных (ДНК, РНК, белки, малые молекулы), взятых у капитана Скотта Келли, вернувшегося из самой долгой космической экспедиции в истории NASA. Он провел на орбите почти целый год (340 дней кряду). Долгосрочный космический полет Келли проводился в рамках уникального эксперимента NASA под названием Twins Study, в котором участвовали два астронавта, являющихся однояйцевыми близнецами, – Марк и Скотт Келли. Эксперимент должен был показать отличия состояний человеческого организма до, во время и после годичного космического полета. Эксперимент выполнялся с участием 10 исследовательских команд со всех уголков США. Наша лаборатория занималась анализом генетических, эпигенетических, микробиологических показателей, а еще мы изучали экспрессию генов. У нас были исчерпывающие молекулярные и генетические данные по результатам того времени, что Скотт провел в космосе, и мы могли сравнивать их с аналогичными данными Марка, остававшегося на Земле. Перед нами стояли следующие задачи: 1) оценить, что произошло со Скоттом за время столь долгого полета; 2) изучить изменения, чтобы в дальнейшем ориентироваться на них при подготовке пилотируемой экспедиции к Марсу; 3) спланировать, как снизить для других астронавтов те риски, которые будут выявлены.
Было ясно, что организму Скотта пришлось несладко и он был вынужден заново привыкать к вернувшемуся тяготению. Сам Скотт описал пережитые мытарства в книге «Стойкость: Мой год в космосе»[2]. «Лодыжки у меня распухли, как баскетбольные мячи, – отмечал он в удивительно спокойной манере, – хотелось только в больничку».
Несмотря на желание поскорее попасть в интенсивную терапию, ему была понятна причина таких перемен в организме: еще бы, он ведь только вернулся из космоса! Но иммунитету от этого понимания не легче. Скотт покрылся сыпью, страдал от зуда при прикосновении. Даже обычная одежда казалась ему тяжкой ношей, давящей под действием гравитации и вызывающей раздражение кожи. Мы судили об иммунном ответе по молекулярным показателям его анализов крови. Особенно заметно изменились белки и экспрессия генов (синтез РНК). Тем не менее все в изумлении глядели на мониторы… Может быть, такая реакция – это нормальная обратная адаптация к тяготению? Не придется ли из-за этого менять планы на экспедицию к Марсу?
«Это самые высокие уровни маркеров воспаления и цитокинового стресса, какие я видел, – сказал я, – надо бы еще раз проверить эти данные».
Мы провели проверку вместе с доктором Скоттом Смитом из NASA, который руководит отделом по биохимическому анализу состояния астронавтов (как наших близнецов, так и других), и он подтвердил, что все верно. А также добавил: «Это наивысшие значения, которые я когда-либо видел». Образцы обрабатывались в двух экземплярах для верности, и наши результаты совпали с расчетными. Хотя воспаление – одна из нормальных реакций организма на стресс, в случае капитана Келли возврат в земную гравитацию спровоцировал небывалый всплеск маркеров (рис. 1.1).

Рис. 1.1. Как показал эксперимент Twins Study, у братьев Келли значительно отличалась экспрессия многих цитокинов. Черным цветом показана экспрессия цитокинов у Скотта Келли, а серым – у его брата Марка, остававшегося на Земле. Пунктирными линиями отмечено, когда Скотт отправился на МКС и когда вернулся на Землю. Уровни цитокинов нормализованы по их медианной экспрессии для обоих братьев на всем протяжении полета. Таков, например, CXC-хемокин 5, играющий важную роль при ремоделировании тканей. Всплеск содержания других молекул наблюдался прежде всего по возвращении на Землю – это касается антагониста рецептора интерлейкина-1 (IL-ra1), C-реактивного белка (CRP), участвующего в воспалительных процессах, а также тиреотропного гормона (ТТГ).
В частности, после возвращения на Землю у него фиксировались запредельные уровни антагониста рецептора интерлейкина-1 (IL-ra1) – важнейшего естественного противовоспалительного белка. То же касалось других цитокинов (интерлейкина-6, интерлейкина-10) и C-реактивного белка (CRP). Зашкаливал и цитокин CCL-2 (цитокины – это белки, служащие для передачи сигналов от одних клеток к другим), подтягивающий иммунные клетки к ранам или очагам инфекции.
Мы быстро прошерстили весь массив научной литературы, и в частности медицинские журналы: хотели выяснить, наблюдались ли у кого-нибудь показатели, близкие к этим. В особенности нас интересовал IL-ra1 (у Келли > 10 000 пг/мкл). Ближайшие значения по IL-ra1, которые нам удалось отыскать, наблюдались у пациентов, только что перенесших инфаркт миокарда (статья 2004 г., Patti и др.). Пиковые значения интерлейкина-10 фиксировались у пациентов, выживших после сепсиса.
Несмотря на дискомфорт, вызванный возвращением на Землю, Скотт почти сразу же отправился в бассейн, а в течение нескольких дней вернулся к нормальной жизни. Однако у него радикально изменился не только уровень этих биомаркеров. Изменения наблюдались в разных тканях – костях, крови, а также на уровне ДНК и РНК. Нам выпал беспрецедентный шанс изучить его организм во всех деталях – от каждого нуклеотида в генетическом коде до клеточных реакций во всем теле, вылившихся в фенотипические изменения. Большинство из этих показателей были новыми и ранее не измерялись даже у астронавтов. Келли был первым из астронавтов, которому составили полный генетический профиль (секвенировали геном), а также проверили другие характеристики (рис. 1.2). По этим данным мы старались предположить, что же происходит с человеком, прожившим год в космосе.

Рис. 1.2. Платформа для мультиомиксного отслеживания здоровья астронавтов в клиническом разрезе. Выделены представители четырех когорт, бывших под наблюдением: астронавты, онкобольные, пациенты, получавшие иммунотерапию, и обычные пациенты. В каждом примере подчеркнуты свои омические данные, которые могут использоваться при регулярном мониторинге и дальнейшем отслеживании. Молекулярные взаимодействия между омическими категориями показывают, что все эти измерения необходимо интегрировать в рамках единой платформы.
Первым делом мы проверили, как на Скотта повлияла радиация. Жесткое излучение может повреждать ДНК, клетки, белки, а также нарушать работу механизмов, регулирующих функционирование клетки. Галактические космические лучи рождаются в звездах, т. е. за пределами нашей Солнечной системы. Кроме того, есть высокоэнергетические частицы, испускаемые нашим Солнцем. Оба этих потока частиц пронизывали тело Скотта. Подобно микроскопическим пулям, частицы оставляют за собой разрушения. Потоки этих частиц обычно состоят из высокоэнергетических протонов, ядер гелия, а также высокоэнергетических ионов, именуемых HZE-ионами, где H означает «высокий», Z – «атомный номер», а E – «энергия». Вредоносное воздействие таких лучей на организм астронавтов впервые наблюдали в 1969 и 1970 гг., когда Нил Армстронг, слетавший на Луну и обратно, специально обертывал лодыжки фольгой с чувствительным слоем, в котором оставались следы HZE-частиц. Рисунок на этих детекторах напоминал снимки столкновения атомов в ускорителях частиц. Правда, в данном случае «ускоритель» выстреливал HZE-частицы, а мишенью, к сожалению, было человеческое тело.
Как правило, днем HZE-частицы остаются незамеченными, но, когда на МКС Скотт закрывал глаза, погружаясь в сон, он видел вспышки света, будто у него под веками проносились падающие звезды. Истинной причиной такой волшебной иллюминации были как раз HZE-частицы, бомбардировавшие сетчатку и проходившие прямо через глаза. Вместо колыбельной Скотт мог засыпать под такой прекрасный фейерверк, но расплачиваться за это приходилось сетчаткой, на которой не оставалось живого места[3].
Учитывая это, мы волновались, что же обнаружится в организме Скотта после столь долгого полета. Как оказалось, нас ждали сюрпризы. Например, мы ожидали, что его теломеры под действием излучения и стресса, сопряженного с космическим полетом, будут рваться и укорачиваться (теломеры – это концевые участки хромосом, которые, как правило, укорачиваются при старении организма). Кроме того, на длину теломер влияет рацион и уровень стресса. По мере исчезновения теломер хромосомы теряют стабильность, что, в свою очередь, активизирует старение на молекулярном уровне. Доктор Сьюзен Бейли как раз занималась этим вопросом, и мы отправили ей в лабораторию часть анализируемой нами ДНК, а также позаимствовали у нее лабораторные образцы – для контроля.
Как ни странно, теломеры у Скотта за время пребывания в космосе удлинились, что полностью противоречило нашим ожиданиям. Мы перепроверили оба контрольных набора ДНК – из лаборатории Бейли и из нашей – и убедились, что теломеры действительно стали длиннее. Наиболее выраженным это явление оказалось в одном из типов иммунных клеток, так называемых T-клетках (преимущественно в T-клетках категории CD4+, также такие изменения прослеживались в клетках категории CD8+). Менее выраженное удлинение теломер наблюдалось в B-клетках (категория CD19+). Поскольку эти результаты подтвердились на множестве реплицированных образцов, вытяжек, в разных лабораториях и с применением разных методов (флуоресцентная гибридизация in situ, ПЦР, нанопоровое секвенирование), мы сочли результаты корректными.
Однако сразу же возникли вопросы «как?» и «почему?». Мы изучали другие собранные данные, пытаясь осмыслить эту аномалию. Процесс поддержания теломер обычно коррелирует с потерей веса, а Скотт за время экспедиции похудел примерно на 7 % – поскольку условия работы на МКС очень суровые. Помимо прочего, он ежедневно делал зарядку, питался продуктами с улучшенными питательными свойствами, не употреблял алкоголь. Можно сказать, что в космосе у него был более здоровый образ жизни, чем на Земле. Кроме того, с поддержанием теломер связан метаболизм фолиевой кислоты, а уровни фолиевой кислоты в крови Скотта за время полета также выросли. За время экспедиции Скотт подрос на 5 см. Кроме того, в космосе скорость его движения была ближе к скорости света, чем на Земле.
Когда мы обнародовали эти результаты, многим они показались захватывающими, и нас спрашивали: «Так что же, в космосе скрыт источник молодости? Можно ли подрасти и омолодиться, если слетать в космос?» В каком-то смысле – да.
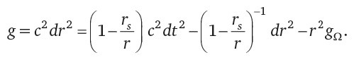
Во-первых, требовалось изолировать все переменные и учесть, а что еще произошло со Скоттом. Взять, например, фактор приближения к скорости света: Скотт во время полета перемещался в среднем со скоростью 7,68 км/c. Это достаточно много, чтобы на человеческом организме начали сказываться эйнштейновские релятивистские эффекты и замедление времени. Чем ближе к скорости света та скорость, с которой движется объект, тем сильнее замедляется время. Для движущегося объекта время течет медленнее, чем для других объектов, находящихся в стационарной системе координат. Это явление зависит от нескольких факторов, которые можно вводить в уравнение Эйнштейна/Шварцшильда, предполагая, что:
1. dr = 0 (мы остаемся на окружности с неизменным радиусом) и df = 0 (остаемся в одной и той же орбитальной плоскости);
2. МКС движется со скоростью 7,68 км/c, а радиус орбиты МКС составляет 400 км от поверхности Земли;
3. Изменения, произошедшие с Марком Келли (dtMK), остававшимся на Земле, относительно изменений со Скоттом Келли (dtSK), находившимся на МКС.
В полном уравнении также содержатся координаты кошироты (тета), скорость света (c), а также гравитационная метрика между двумя сферами. Уравнение в целом выглядит так:

Как следует из этого уравнения, Скотт помолодел примерно на 0,1 сек. относительно всех, кто остался на Земле, в том числе стал моложе своего брата. Скотт родился через 6 мин после Марка, а проведя год в космосе, отыграл у брата еще примерно 0,1 сек. Правда, хотя в буквальном смысле он действительно стал моложе, чем если бы провел это время на Земле, этот фактор вряд ли существенно повлиял на увеличение его теломер.
Мы это знаем, так как наблюдали в его организме изменения еще по многим другим биологическим модальностям, например изменение экспрессии генов (включение или выключение генов либо снижение или увеличение их активности). У нас тысячи генов, экспрессия которых меняется каждый день, поэтому неудивительно, что мы могли наблюдать изменения в работе генов Келли, когда он отправился в космос и когда вернулся на Землю. Эти изменения коснулись, в частности, тех генов, которые отвечают за восстановление ДНК и клеточное дыхание. Иммунная система Келли работала очень активно, в том числе когда впервые в истории он получил прививку от гриппа, находясь на орбите. Кроме того, наблюдались признаки гиперкапнии – это состояние, возникающее при перенасыщении крови диоксидом углерода. При гиперкапнии ощущается головокружение и головная боль – и действительно, в своей книге Скотт упоминает об этом. Он отметил, что у него болела голова из-за того, что в крови прыгал уровень диоксида углерода. Всякий раз, когда на МКС выходили из строя установки для очистки воздуха от углекислоты, Скотт жаловался на усиление головных болей.
Мы проанализировали уровни содержания углекислого газа в воздухе на космической станции. Хотя некоторые флуктуации действительно наблюдались, они были не слишком серьезными и не должны были приводить к физиологическим изменениям. Нам пришлось искать другие причины. Оказывается, дыхание в невесомости происходит не так, как на Земле. В частности, при каждом выдохе на МКС у вас перед лицом образуется небольшое облачко CO2, которое не рассеивается, если только вы не отплывете в сторону или не сдуете его феном. Соответственно, некоторые изменения, которые мы наблюдали в крови Скотта и которые, надо полагать, прослеживаются и в крови других астронавтов и космонавтов, связаны именно с высокой концентрацией CO2 у самого лица. Такая «атмосфера» более напоминает венерианскую, чем земную.
Также мы рассмотрели динамику микробиома у Скотта. Микробиом – это совокупность микроорганизмов (бактерий, вирусов, грибков и других клеток, не являющихся человеческими), обитающих в нашем теле. Нас интересовало, что произошло с микробиомом в ходе космического полета. Мы наблюдали некоторые изменения в соотношении определенных видов, в частности фирмикутов и бактероидов[4] (соотношение F/B). Для этого использовались результаты анализа кала Келли, проведенного докторами Стефаном Грином, Фредом Туреком, Мартой Хотц Витатерной, а также наши собственные результаты анализа мазков с кожи и из полости рта. Общее биоразнообразие в целом сохранилось, и это хорошо. Эти показатели в конце концов вернулись в норму, поэтому никакого «пожара» на уровне микробиома не случилось.
Молекулярный состав крови Скотта имел некоторые особенности. Количество митохондрий, которые обычно находятся внутри клеток и отвечают за клеточное дыхание (т. е. буквально обеспечивают поступление в клетки кислорода и энергии), достигло в крови пиковых значений, когда Скотт оказался в космосе. У здорового человека примерно 500 экземпляров митохондриальной ДНК (мтДНК) на миллилитр крови, а у Скотта этот уровень достигал 6500 экземпляров на миллилитр, по данным докторов Киити Накахиры и Агустина Чхоя. Затем мы совместно со Стейси Хорнер и Нанданом Гокхале из Университета Дьюка исследовали РНК в крови и также выявили многочисленные следы митохондрий.
Это был совершенно новый показатель стресса, зафиксированный у астронавтов, однако такие уровни уже наблюдались в других контекстах. В Колумбийском университете в Нью-Йорке есть лаборатории, в которых изучаются экстремальные перепады в количестве митохондрий и даже митохондриальная психобиология (см. работу докторов Андреа Баккарелли и Мартина Пикара). Эти лаборатории рассматривали изменения концентрации мтДНК в крови у людей на Земле в стрессовых ситуациях. В частности, проводились исследования биоматериала людей, которым приходилось выступать с лекцией перед незнакомой аудиторией. После таких выступлений в крови испытуемых наблюдался всплеск мтДНК. Следовательно, есть убедительные доказательства, что уровень мтДНК может повышаться после общего стресса, например в результате тревоги во время публичных выступлений, а также в других ситуациях, субъективно воспринимаемых как опасность.
Но почему человеческие клетки наращивают производство своих энергетических станций или извергают их? Чтобы выяснить это, проводились и другие исследования, проливающие свет на то, что происходит с организмом после годичного пребывания в космосе. В 2018 г. вышла статья (см. Ингелссон и др.), показавшая, что белые кровяные тельца (лимфоциты) могут извергать свою мтДНК, подогревая таким образом иммунную систему. Эти «сети ДНК» словно предупреждают другие иммунные клетки, что нужно готовиться к борьбе с инфекцией или клеточной угрозой. По-видимому, в космосе эти «сети» работают столь же успешно, как и на Земле. Наши исследования и работа Афшина Бехешти из NASA позволили наблюдать обусловленное стрессом умножение мтДНК в крови у многих астронавтов, а также различные сигнатуры РНК, связанные с пребыванием в космосе (в том числе мелкие РНК-цепочки, именуемые микроРНК). Все эти изменения – со стороны теломер, изменений в экспрессии генов, гипоксии из-за накопления выдыхаемого углекислого газа прямо под носом, иммунного стресса, митохондриальной ДНК и воспаления – происходят быстро и выглядят как стремительный ответ организма на космический полет. Остается надеяться, что впоследствии все вернется в норму.
К счастью, почти по всем показателям, связанным с реакцией на длительный космический полет, организм отличается пластичностью и приспосабливаемостью. Скотт действительно подрос примерно на 5 см, но это было связано лишь с тем, что его позвоночник долго не испытывал притяжения Земли. Уже через несколько часов после возвращения на Землю нормальный рост восстановился. Кроме того, в течение первых 48 ч теломеры Скотта приобрели обычную длину, большинство физиологических маркеров и показателей крови также вернулись в нормальный диапазон. Что касается экспрессии генов, то 91 % изменений, произошедших за время пребывания в космосе, также сгладились до нормальных значений в течение полугода.
Следует отметить, что к нормальным уровням вернулась экспрессия у большинства генов в организме Скотта, но не у всех. В некоторых из них сохранялось «молекулярное эхо» пребывания в космосе: гены продолжали активно ремонтировать ДНК и укреплять ее стабильность. Эти данные согласовывались с другими, которые мы наблюдали, проверяя на «поломки» и изъяны хромосомы Скотта. Даже после возвращения на Землю у него сохранялись следы низкоуровневых инверсий и транслокации – постоянно залечиваемые повреждения хромосом, исправляемые на генетическом уровне и приводящие к замене старых клеток на новые.
Даже шесть месяцев спустя экспрессия некоторых генов оставалась нарушенной – адаптация продолжалась, и эти нарушения мы рассмотрим далее в книге, когда дойдем до долгосрочных планов на генную инженерию. Данные по экспрессии генов показали, как организм адаптируется к пребыванию в космосе и в каких аспектах не удается добиться полного возвращения к норме. Это согласуется с тем, что говорил сам Скотт: по его словам, он не мог «прийти в норму» и через семь-восемь месяцев после возвращения на Землю. Работа доктора Маттиаса Баснера также показала, что когнитивные способности Скотта и точность его движений после полета ухудшились. Мы в рамках собственного исследования, проведенного совместно с Дэвидом Лайденом в Корнеллском университете, обнаружили в крови такие белки, которые в норме должны быть только в мозге. Эта находка коррелировала с изменениями в генах, которые кодируют эти белки, и указывала на изменения в гематоэнцефалическом барьере. В целом такие молекулярные изменения подсказывают, работу каких генов потребуется ускорить, замедлить или изменить каким-то другим образом, чтобы смягчить реакцию на космический полет.
Другие биологические показатели, которые также могут быть нарушены, выводятся по изменениям показателей, связанных с цитокинами, в частности с воспалительными маркерами. Некоторые маркеры воспаления, например интерлейкин-6, в день посадки были повышены в тысячи раз, а в последующие двое суток некоторые из них еще возросли. Анализы крови демонстрировали явный всплеск воспалительных цитокинов – для капитана Келли это было весьма болезненно, и, скорее всего, именно из-за этих белков он покрылся сыпью. Эти данные подтверждаются результатами из работ докторов Теджаса Мишры и Майкла Снайдера из Стэнфорда. При рассмотрении маркеров в совокупности большинство их функций указывало на регенерацию мышц. Короче говоря, Скотту было больно заново привыкать к работе мышц, так как его тело проходило обширную перестройку, а кровь на молекулярном уровне реагировала на этот затратный физиологический процесс. Она словно кричала: «Черт, опять эта гравитация! Опять мускулами ворочать!»
При всей болезненности возвращения на Землю с орбиты следует отметить, что с Марсом все должно быть гораздо легче – ведь там гравитация равна 38 % земной. Учитывая эту разницу, соответствующие «чертыхания организма» могут составить всего 38 % от тех, что мы наблюдали, а адаптироваться после посадки на Марс также будет гораздо легче. Это позволяет предположить, что человек вполне способен перенести и перелет до Марса, и последующую посадку, чтобы затем начать обживать новый мир в рыжеватых тонах.
При описании исследования близнецов необходимо учитывать, что в нем участвовали всего два человека, которые развились из одного эмбриона, причем долгое время в космосе провел только один из них. Поэтому экстраполировать эти результаты на других людей можно только в определенных пределах. Более того, на МКС человек не покидает земной магнитосферы, которая простирается примерно на 65 000 км и на орбите МКС все равно служит астронавтам защитным экраном. Чтобы представить масштаб проблем, ожидающих экспедицию на Марс, можно прикинуть ожидаемую дозу радиации, которую космонавты получат по пути: она составляет около 300 миллизивертов (мЗв). А при полете туда и обратно, который займет около 30 месяцев, доза облучения составит примерно 1000 мЗв (рис. 1.3). Суммарно это более чем в шесть раз превышает дозу, полученную Скоттом за весь полет. Хотя такая радиация небезопасна, от нее можно защититься, о чем мы поговорим в следующих главах.

Рис. 1.3. Уровни облучения при разных параметрах экспедиции: оценочные и фактические показатели для различных миссий в мЗв
Действительно, ни к чему идти на риск, связанный с таким облучением, не попытавшись как следует защититься. Помимо физической защиты астронавтов существует еще механизм биологической защиты, который пока не применялся в космосе, но уже опробован на Земле у пациентов в разных состояниях, – это генная инженерия.
Необходимо учитывать явные риски долгосрочных экспедиций на другие планеты (например, на Марс), а также вызовы, связанные с экспедициями более отдаленного будущего (например, с межзвездными полетами). При выполнении таких миссий люди окажутся в крайне враждебной среде, подвергнутся гораздо более серьезному облучению, столкнутся с проблемами создания продуктов питания и поддержания нормального метаболизма. Поэтому нам не обойтись без исследования генетических защитных механизмов. Иными словами, если удастся раскрыть секреты жизнестойкости других видов и создать генетические средства защиты, это поможет нам не только выжить, но и выполнить свой долг. Мы делаем все возможное для обеспечения безопасности астронавтов, когда проектируем ракеты и космические корабли, но можно ли защитить их изнутри, модифицировав человеческий организм? Следует ли идти на это? Вправе ли мы генетически модифицировать людей?
Некоторые из этих абстрактных вопросов перешли в практическую плоскость благодаря исследованиям Хэ Цзянькуя, который начал генетически модифицировать человеческие эмбрионы с помощью технологии CRISPR (подробнее об этом в последующих главах). Две такие девочки родились в 2018 г. Эту работу Хэ вел втайне и даже ввел в заблуждение Комитет по биомедицинской этике собственного университета. Решившись дать жизнь генно-модифицированным детям, он столкнулся с острой критикой.
Такой путь внедрения подрывных медицинских технологий в реальную практику (тайно и практически безнадзорно) абсолютно неприемлем, но теперь эта идея больше не является гипотетической. Возникает вопрос: как регулировать создание генетически измененных эмбрионов и убедиться, что это не пойдет во вред? Известны многочисленные примеры точной медицины при лечении заболеваний, но помощь пациентам на Земле и астронавтам, участникам будущих экспедиций, – больше из области прогностической медицины. Может ли ученый модифицировать что-то в организме и предсказать, что в таком случае произойдет? Это лучшая проверка для знаний.
Именно для этого мы опубликовали в 2011 г. на сайте нашей лаборатории первый проект 500-летнего плана, многие идеи которого рассмотрены в этой книге. В том же году мы впервые подали в NASA предложения о геноме и метагеноме и не имели практически никаких данных из тех, что представлены в этой главе. Большинство идей, казавшихся в 2011 г. невозможными, уже реальность. Особенно интересно, с какой легкостью сегодня можно редактировать и модифицировать геном и эпигеном (уровень регулировки генома).
Этот план построен не только в расчете на стремительное развитие науки, он олицетворяет надежду на выживание человечества в долгосрочной перспективе. На мой взгляд, одна из самых замечательных черт людей – способность строить планы на 5, 500 или 5000 лет вперед, которые рассчитаны на много поколений. Практически все люди, которым доведется пожинать плоды этого плана, родятся после смерти его авторов. Но, создавая такие планы, мы надеемся, что они смогут послужить человечеству в качестве межпоколенческого «олимпийского огня».
Оставшаяся часть книги посвящена именно этому плану, который содержит технические, философские и этические принципы, касающиеся преобразования геномов, экосистем и планет. Такие крупномасштабные инженерные начинания могут показаться абстрактными и практически невероятными по охвату, но это не первая наша попытка. На самом деле Марс станет второй планетой, на которой мы будем проводить глобальные измерения, моделирование и преобразования. Сейчас, в 2020-е гг., мы уже занимаемся этим на Земле, чтобы продолжить наше существование на этой планете и оставить ее потомкам в лучшем состоянии, чем сейчас. К сожалению, координация и планирование этой работы недостаточны. Подобные планетарные и биологические преобразования потребуют в будущем гораздо большей точности, чтобы мы могли осуществить важнейшее предназначение нашего вида – стать пастырями и стражами. Сомнений, сможем ли мы видоизменить жизнь, нет, перед нами стоит лишь один вопрос – «как?». Видоизменение жизни – дело нашего поколения, и это искусство будет далее оттачиваться и применяться новыми поколениями, т. е. нашими потомками, которым предстоит жить через 500 лет, 5000 лет и в гораздо более отдаленном будущем.
Преобразование – это неотъемлемый долг человечества, выполнить который необходимо для сохранения жизни как таковой.
Планы бесполезны, но планирование – обязательно.
ДУАЙТ ЭЙЗЕНХАУЭР
Необходимость заняться планированием будущего лучше всего иллюстрируется с помощью быстрого мысленного эксперимента под названием «энтропийные очки». Первое, что нужно сделать, – осмотреться. Если ничего не видно, то нужно задуматься. Будьте внимательны. Представьте, как мир будет выглядеть через 100 лет. Просуществует ли до той поры хоть одна лестница, стена, потолок или любой другой материальный объект? Задумайтесь: как долго протянет ваша любимая футболка или пара носков, которые на вас надеты? Доживут ли до тех пор какие-либо живые существа, сейчас обитающие рядом с нами, например белки или их потомство? Оцените технологию, которая донесла до вас эти слова, – на бумаге, на светящемся мониторе, в аудиоформате. Существовала ли она вообще 100 лет назад? Как она может измениться через 100 лет? Окиньте взором все, что вас окружает, представьте, как оно может измениться. Дочитав или дослушав этот абзац, ненадолго отвлекитесь и посмотрите, где вы находитесь. Представьте, каким будет мир ровно через 100 лет. Сделайте это прямо сейчас.
Вернувшись к тексту, вы заметите, что стали относиться к настоящему моменту как к гораздо более важному и комфортному, но это первое, к чему нужно отнестись критически. Эта удовлетворенность собственной жизнью и моментом – ненужное ограничение, только начало возможностей человеческого разума. Есть так много того, что можно вообразить: перемены, увядание, ваш собственный неизбежный уход, эволюцию, движение и бренность. Однако каждый может найти утешение в том, что данное мгновение – здесь и сейчас – точно существует. Поэтому в контексте сиюминутного смысла текущий момент может оказаться комфортнее любого момента в будущем. Вас может поразить осознание того, как много всего изменится. Но это хорошо.
Вы, как обладатель разума, только что воспользовались способностью представить мир отдаленного будущего – таким, каким он будет через 100 лет. Скорее всего, сами вы тот мир не застанете. Способность представлять события, находящиеся далеко за рамками ближайшего будущего, – это, насколько известно, уникальное и чисто человеческое умение. Она лежит в основе нашего творчества и изобретательности, равно как и свойственного лишь нам осознания собственной хрупкости и недолговечности любой жизни. У нас много общего с другими обитателями Земли: стремление выжить, инстинктивная реакция «бей/беги» при встрече с опасностью, желание защищать собственное потомство (исключение из этого правила – некоторые животные, поедающие свой молодняк). Но мы уникальны. Мы – единственный вид, сознающий риск собственного вымирания. Видя экзистенциальную угрозу, стремясь отслеживать ее уровни и траекторию, а также испытывая глубокое беспокойство о судьбе далеких потомков, с которыми никогда не встретимся, мы делаем первый необходимый шаг к осознанию риска исчезновения нашего вида и стремимся его избежать. Вымирание перестает быть неизбежностью и переходит в категорию рисков, только если начать что-то предпринимать.
Отказ от нашей уникальной способности заботиться о выживании будущих поколений неизбежно приведет к утрате и уникальных особенностей всех прочих биологических видов. У каждого вида есть свои сильные стороны, но только наш вид может встать на защиту невероятного биоразнообразия Земли, а также жизни во Вселенной. Эта способность может продвинуться еще дальше – вплоть до сохранения той жизни, которую мы, несомненно, найдем за пределами Земли по мере распространения поисков на все более обширную часть Вселенной с ее бесчисленными солнцами. Если вы готовы утешаться лишь тем, что живете сами и не привыкли смотреть в будущее, то просто ограничиваете себя. Отпущенный нам век никогда не должен становиться тем пределом, на который мы заглядываем в будущее. Наша зона комфорта может и должна простираться за пределы ближайшего столетия. Способность каждого из нас задумываться о далеком, очень далеком будущем – это редкостный дар. Его непременно нужно сохранить, защитить и использовать до того, как он исчезнет навеки.
Важно, что до настоящего времени наша способность планировать так далеко оставалась неосуществимой. Нынешняя эпоха в истории человечества отличается от предыдущих как по уровню, так и по типу. Сначала поговорим об уровне. Вплоть до конца XX в. у нас отсутствовали фундаментальные инструменты, позволяющие хотя бы приступить к артикуляции плана сохранения человечества путем расселения на другие планеты. Мы едва ли осознавали, насколько велико биоразнообразие живых систем на Земле, – а это необходимо для того, чтобы обжиться в новых, непривычных экосистемах. Лишь в последние два десятилетия мы стали понимать, из чего состоят гены, не говоря уже о том, сколько их в человеческой клетке и клетках других биологических видов. Теперь нам известно, какова динамика работы тысяч генов, мы картировали их и связали с выполняемыми функциями, причем для многих видов. Эта дисциплина называется «функциональная геномика». У нас в распоряжении больше генетических данных, чем когда бы то ни было, и этот массив постоянно растет, а попутно появляются новые данные по смежным научным, культурным, технологическим и вычислительным дисциплинам.
Вторая большая перемена нынешней эпохи связана с ее типом: теперь стало возможно исследовать другие миры. Идеи пилотируемых экспедиций на Луну и Марс были чистой фантастикой еще совсем недавно, например в 1903 г., когда в воздух поднялся первый самолет. Первый человек ступил на Луну в 1969 г. Первый космический аппарат вышел за пределы Солнечной системы только в 2004 г. – это был «Вояджер-1». Когда-то авиаперелеты были редкостью, а сегодня во всем мире ежеминутно отправляются десятки тысяч авиарейсов. Аналогично раньше можно было по пальцам пересчитать космические полеты, а сегодня ширится список стран, планирующих лунные, марсианские и даже более далекие экспедиции (рис. 2.1). Сегодня даже прорабатывается запуск небольшого вертолета Dragonfly для исследования приповерхностных районов Титана (осуществить посадку аппарата на этом спутнике намечено в 2036 г., и примерно в тот же период мы планируем ступить на поверхность Марса). XXI в. – это уникальный период в истории человечества как по типу нынешнего прогресса, так и по уровню планирования.


Рис. 2.1 Ближайшие полеты для исследования космоса и создания внеземных поселений. Экспедиции сгруппированы по их локализации: низкая околоземная орбита, Луна, Марс, астероиды, внешние планеты Солнечной системы и экзопланеты.
Все это примеры того, как человек способен мыслить на 100, 1000, 100 млн лет вперед и даже на гораздо больший срок. Если мы хотим сохранить на Земле собственное разнообразие (в форме музыки, искусства, науки, литературы, техники, хореографии и т. п.), а также разнообразие жизни во всех ее проявлениях, то необходимо вывести весь комплекс земного биоразнообразия за пределы одной обитаемой планеты. Не стоит отказываться от нашего пока единственного корабля – Земли, но стоит увеличить количество кораблей, на которых мы сможем жить. В настоящее время вся известная жизнь существует на утлом суденышке, который дрейфует по обширному океану Вселенной, ежеминутно рискуя утонуть. Обязанность по сохранению жизни не ограничивается только нашим видом и требует более широкого понимания тех организмов, которые мы употребляем в пищу и используем, и того, как различные формы жизни взаимодействуют друг с другом. Такое расширенное понимание зачастую называют метавидом, пангеномом, а иногда холобионтом.
Если мы отводим человечеству роль Пастыря, то должны опираться на уникальную способность нашего вида сохранять все живое и служить заботливым стражем жизни. Чтобы жизнь могла чего-то достичь, ей для начала нужно существовать. Мечта, идея, мораль, произведение искусства, изделие, изобретение, творение, стих, синтезированная молекула, нить или волокно могут возникнуть лишь при условии, что мы сами выживем и сможем все это сохранить. Какими бы ни были приоритеты и цели, для их реализации мы должны существовать. Даже при отсутствии целей нам необходимо существовать, чтобы иметь сам сосуд для идей, хотя и пустой. Таким образом, мы ответственны перед самими собой и несем на своих руках тяжкую ношу. Лишь наши глаза могут распознать опасность на горизонте, и лишь действуя мы способны спасти окружающую нас жизнь.
Принимая ответственность за всех ныне живущих, вымерших и пока не возникших живых существ, мы должны выработать план, который выходит за пределы того срока, что отпущен нашему первому солнцу – у нас в распоряжении не более 4–5 млрд лет. Но такая оптимистичная оценка едва ли нам светит, учитывая известные исторические прецеденты. Значительно раньше могут произойти катастрофические события, которые обернутся для нас апокалипсисом. Например, Земля может столкнуться с астероидом вроде того, что положил конец эпохе динозавров. Согласно современным планетологическим оценкам, мы давно уже могли столкнуться с катастрофой планетарного масштаба – и это даже без учета того вреда, который мы собственноручно наносим нашему родному миру. Так или иначе, у нас в лучшем случае около 4 млрд лет.
Солнце, согревающее нас ныне, однажды исчерпает запасы топлива и уничтожит все внутренние планеты: Меркурий, Венеру, Землю и Марс. Они обуглятся, как спичечные головки. На этой неизбежной стадии эволюции звезды, когда Солнце станет красным гигантом, на нашей планете не останется ничего, что было нами создано, изучено или постигнуто, и от нас останутся только те радиоволны и прочее электромагнитное излучение, которое мы распространяем во все стороны с начала 1930-х гг. Если мы не найдем способа стабилизировать коллапсирующее Солнце, все наши технические, художественные, научные и культурные творения – в сущности, вообще все, что есть на Земле, – будут уничтожены. Поэтому оставаться здесь нельзя. Необходим глобальный план выхода за пределы этой планеты.
Ни один глобальный план невозможно реализовать без средств, которые обеспечивают глобальную координацию и коммуникацию. Мир стал приобретать нынешний вид благодаря интернету и суперсовременным транспортным сетям лишь совсем недавно. Постоянный и вездесущий обмен информацией между устройствами, подключенными к интернету, – это реальность, сегодня воспринимаемая большинством из нас как данность. Такая связь обеспечила расширение промышленной революции и наступление нового «информационного века», позволяющего быстро строить или разрушать целые города и страны. Мы неожиданно обрели способность влиять на атмосферу всей планеты и экологию целых регионов. Эта способность – порождение дешевой высокоуглеродной энергетики, ныне угрожающей нашей планете. Как бы тревожно ни было наблюдать за ростом уровня CO2 на Земле, это, возможно, неизбежное следствие прогресса цивилизации. Теперь, когда мы понимаем, как эти технологии вредят нашей планете, а также располагаем средствами контроля и коммуникации, у нас есть возможность не только ликвидировать ущерб, нанесенный Земле, но и сделать цивилизации чище и лучше прежних – как на нашей планете, так и на других. Это позволит нам обеспечить в долгосрочной перспективе выживание себе и другим видам.
Этот ключевой принцип – обеспечение выживания как можно более многочисленным формам жизни и сохранение разнообразных молекул – представляет собой новую этику, молекулярную и генетическую. В рамках такой этики идея «сбережения» приобретает цель и становится обязывающей. Это наивысший (деонтогенный) долг, поскольку от него зависит все остальное.
Деонтогеника – новая этика, проистекающая из деонтологии (от греческих корней «деон» – долг, обязанность и «логос» – учение) и «генетикос» (от греческого «родовой» или «порождающий»). Деонтогенная этика основана на двух простых допущениях. Во-первых, мы исходим из того, что лишь некоторые виды или существа осознают возможность собственного вымирания. Во-вторых, допустим, что существование – необходимое условие для достижения любой иной цели и воплощения любой идеи. Короче говоря, существование – залог сущности. Следовательно, для достижения какой угодно цели и для воплощения любой идеи мыслящий вид (в настоящее время известен только один такой вид – люди) должен обеспечить собственное существование, а также существование всех других видов, способствующих его выживанию. Соответственно, этичен любой сознательный акт, направленный на сохранение биомолекул (в настоящее время под ними понимаются прежде всего нуклеиновые кислоты), когда бы он ни был совершен. Любой противоположный акт неэтичен.
Деонтогенная этика перекликается с деонтологической (сформулированной Иммануилом Кантом), хотя и отличается от нее. Кант полагал, что моральность деяния зависит от того, является ли правильным или неправильным само деяние независимо от результата. Согласно «категорическому императиву» Канта, людям перед любым поступком следует задуматься: «А что, если бы так поступал каждый? Что, если бы мое действие вдруг стало максимой для каждого? Каким тогда был бы мир?» Распространено мнение, что деонтологическая этика входит в противоречие с утилитарной, такой как у Иеремии Бентама и Джона Стюарта Милля, которые стремились к «наибольшему благу для наибольшего числа людей». В утилитарной этике результат и последствия обычно считаются важнее самого действия.
Но утилитарная этика также сталкивается с проблемами количественной оценки и применения. Что есть благо и как его измерить? Что, если возникнут ситуации, которые в целом ведут к увеличению блага, но среднестатистическому индивиду идут во вред? Дерек Парфит в своей книге «Причины и личности» говорит об «отвратительных результатах» применения некоторых из этих утилитарных систем. Например, теоретически было бы лучше иметь многочисленную, но в целом более несчастную популяцию, нежели меньшую популяцию, представители которой в среднем больше довольны жизнью. Еще один этический принцип требует ответить на вопрос, что было бы «справедливым» для вас независимо от того, кем вам выпало родиться (богатым или бедным, могущественным или угнетенным). В рамках этого принципа Джон Ролз говорил о «завесе неведения». Однако прежде чем вести все эти дискуссии и выдвигать концепции, необходимо существовать. Таким образом, сохранение жизни как таковой является высшим долгом, деонтогенной этикой, предшествующей всему другому.
Деонтогенная этика основана на четырех простых тезисах: 1) чтобы сознанием можно было пользоваться, оно должно существовать; 2) наше долгосрочное выживание зависит от планов выхода за пределы Солнечной системы, где зародился наш вид; 3) долгосрочное выживание зависит от метавида, но касается не только его; 4) потребности метавида и его сохранение могут быть приоритетнее индивидуальных потребностей и желаний. Хотя такая позиция может казаться покушением на свободу – лишением разумного существа права выбора, следует отметить, что мы и так ограничиваем возможности выбора с помощью других «молекулярных вмешательств», включая обогащение пшеницы и муки фолиевой кислотой, йодирование соли, хлорирование воды и обязательные прививки. Во всех этих случаях решение принимается до того, как человек получит доступ к ресурсу, поскольку это делается ради общего блага и выживания остальных людей. Это этичный поступок.
Эта деонтогенная этическая система может принципиально изменить наши представления о многих вещах, организмах, людях и культурах на Земле. Например, в Бразилии и Эквадоре, где есть дождевые леса, по-прежнему сохранились первобытные племена, не вступавшие в контакт с современным миром. Они находятся в первобытном, сакральном состоянии, достойном изучения, сохранения и понимания, а также открывают возможность найти новые практики, языки, культуры и молекулы. Но, оставляя автохтонные культуры в затерянных уголках амазонских джунглей, мы фактически обрекаем их на гибель. Даже если племя и разовьется до идеального, бесконфликтного сообщества, не знающего войн, оно обречено. Если через несколько миллиардов лет, когда планета будет поглощена Солнцем, они все еще будут здесь, то все их знания, культура, язык и история будут навсегда стерты. Да, стремление некоторых культур остаться в изоляции от остального человечества хотя и может быть разумным в краткосрочной перспективе, в более долгосрочном плане ошибочно и, в сущности, ведет к преднамеренному групповому самоубийству.
Такая критика «общества самоубийц» применима не только к изолированным популяциям, но и ко всему остальному миру. Впереди маячит самоубийство, грозящее не отдельному обществу, а человечеству в целом. Это глобальная проблема, которая коснется всех, если рано или поздно мы не улетим с Земли. Следует отметить, что совокупные знания, накопленные нашим разумом, а также факты, известные из геологии и астрономии, подтверждают: это действительно самоубийство, а не то событие, которое можно было бы назвать вымиранием или несчастным случаем, поскольку данная опасность априори известна и предотвратима. Это равносильно тому, чтобы сидеть на рельсах, зная о приближении поезда, и просто дожидаться его. Технологические, интеллектуальные и инженерные вызовы, которые потребуют решения в случае переселения на другие планеты, конечно же, велики, но не непреодолимы. Эти проблемы могут быть решены при наличии воли и ресурсов. Отказ выполнять долг, стоящий перед нами как перед метавидом, – провал деонтогенной этики. Это невыполнение долга перед нашим собственным видом и всеми остальными. Разве может кто-то отказаться от этого?
Сопротивление идее освоения других планет чаще всего идет по следующим предсказуемым направлениям: солипсизм, расстановка приоритетов, безразличие и бессмысленность.
В первом случае доминирует эгоизм: «Я все равно умру к тому времени, так какое мне до этого дело?» Это близорукая позиция, к тому же противоречащая этике Милля, Канта, Роулза и деонтогенной этике. Кроме того, она безответственна по отношению к тем, кто будет жить после нас. Если бы все придерживались такой точки зрения, то человек, ее высказывающий, имел бы ограниченные возможности для жизни и процветания (или вообще не имел бы их), а то и просто не родился бы.
Второе направление сопротивления связано с расстановкой приоритетов и обычно формулируется так: «Мир страдает от бедности, болезней и других проблем, требующих безотлагательного решения, – давайте ими и займемся в первую очередь». Но борьба с болезнями и устранение других социальных бед вполне могут сочетаться с исследованиями и постановкой целей по освоению новых мест обитания в космосе. Принуждение к выбору «одно или другое» – это ложная дихотомия. Так, реализованная в 1960-е гг. космическая программа США позволила человеку высадиться на Луне, в то же время произошел и значительный экономический рост. Мы не стояли перед выбором «космос или достаток». Очевидно, это возможно – стремиться к нескольким целям одновременно. Но в тот период NASA направило на лунный проект 4,4 % ВВП США, а сегодня бюджет этой организации в 10 раз меньше – всего 0,47 %. Тем не менее любой согласится, что мы вполне можем совмещать разные задачи.
Третье направление – просто уклонение. Позиция здесь проста: «Эта работа меня напрямую не касается, поэтому мне и делать ничего не нужно». Данная точка зрения также ошибочна. Во всех странах, где есть космические программы, из средств налогоплательщиков финансируются и космобиология, и конструирование ракет, и организация космических полетов, и инфраструктура для подготовки астронавтов. Таким образом, все граждане этих стран уже содействуют развитию космических инициатив. Более того, необязательно напрямую участвовать в государственном или международном проекте, чтобы поддержать его или понять выгоды. Например, очевидно, зачем нужно поддерживать миротворческие силы ООН или помогать в глобальном мониторинге заболеваний, которым занимается ВОЗ.
Четвертое направление сопротивления объясняется слишком далекими перспективами. Можно сказать: «Если мы улетим от этого Солнца к другой звезде, то потом придется улетать и оттуда, снова и снова. Где же конец этому? Мы все равно погибнем, когда придет конец Вселенной». Такая точка зрения основана на втором законе термодинамики, которому подчиняется все, в том числе самая крупная из известных систем – Вселенная. Судьба Вселенной зависит от общего количества материи и энергии, но «обычная» материя составляет в ней всего около 5 %. Важнейшими факторами являются плотность и активность темной материи (27 %) и темной энергии (68 %). Тем не менее через триллионы лет план освоения все новых и новых звездных систем перестанет быть наилучшей стратегией для нас. Проведя миллионы, миллиарды и потенциально триллионы лет в межзвездных путешествиях, мы научимся перемещаться между звездными системами так же легко, как сегодня летаем из Нью-Йорка в Париж. После посещения множества звезд и раскрытия секрета их зарождения и гибели мы, возможно, решим и проблему конечности существования Вселенной, точно так же, как решили другие проблемы. Но можно ли делать это бесконечно? Есть ли здесь вообще конец?
Согласно современным представлениям, у Вселенной возможен один из двух финалов. Первый (наиболее вероятный) – так называемая тепловая смерть, которая наступит в результате бесконечного расширения. Это ситуация, когда планеты, затем клетки, далее атомы и, наконец, старые-престарые протоны (которым будет примерно по 1035 лет) разлетятся на такие расстояния, что не смогут взаимодействовать друг с другом. Другой потенциальный сценарий гибели Вселенной – «большое сжатие». В этом случае расширение Вселенной в какой-то момент прекращается – и она начинает схлопываться. Темная и видимая материя и энергия Вселенной приобретают плотность, достаточную для непрерывного сжатия и, возможно, нового Большого взрыва (подробнее об этом мы поговорим в последней главе).
Если отвлечься от технологических вызовов, возникающих при попытке выкрутиться из двух этих сценариев (в настоящее время такие проблемы нерешаемы), то остается еще этический вопрос. Должны ли мы ради сохранения жизни перестраивать Вселенную на уровне атомов и физических свойств? Что, если Вселенная уже пережила одно или несколько больших сжатий? Может быть, очередной космический цикл такого рода и предшествовал нашему Большому взрыву, а жизнь снова возникнет в новой Вселенной. Более того, в ней жизнь может получиться лучше, и если мы этому помешаем, то испортим перспективы развития жизни. Как просчитать последствия наших решений в такой долгосрочной перспективе?
Здесь нам на помощь приходит деонтогенная этика. Известно, что люди по-прежнему являются единственным видом, осознающим перспективу своего вымирания, поэтому мы несем ответственность за сохранение собственного вида и других форм жизни. Хуже Вселенной с несовершенной жизнью может быть только безжизненная Вселенная, поскольку в последнем случае некому будет защищать и поддерживать саму Вселенную, а также жизнь в ней, и такой риск слишком велик, чтобы его принять. Да, здесь есть доля высокомерия, но его масштаб не отменяет необходимости решать задачу. Если мы намереваемся сохранить такую жизнь, которая в силах уберечь остальную Вселенную, и если такой акт не вредит тому, что мы пытаемся защитить, то в конечном счете с моральной точки зрения правильнее всего пойти на сохранение этой жизни.
Более того, вполне вероятно, что конец жизни не неизбежен. Через столь значительный промежуток времени человечество (или вид, который от нас произойдет, или робобратия) будет значительно отличаться от нас нынешних и, возможно, окажется значительно совершеннее в технологическом отношении. Возможно даже, что к тому моменту (через миллиарды или триллионы лет) мы научимся совладать с темной материей и пространством–временем, измерять темную материю. Также мы можем найти средства, которые позволят изменить фундаментальную структуру самой Вселенной. В новой эре, которая наступит через триллионы лет, мы можем освоить и свертку пространства–времени для путешествий на огромные расстояния, и научиться манипулировать материей в масштабах звезд, галактик или даже межгалактических пространств.
Возможно, мы окажемся перед выбором: позволить Вселенной умереть (и надеяться, что когда-нибудь жизнь зародится снова) или деятельно воспрепятствовать ее гибели и перестроить материю так, чтобы сохранить жизнь. С точки зрения молекулярной и деонтогенной этики выбор очевиден. Если мы хотим сберечь жизнь, то для этого необходимо перестроить Вселенную. Наш долг – ее доработать.
Этот долг – совершенствовать и защищать жизнь – начинает восприниматься как абсолютный, стоит его лишь осознать. Другие обязательства, например перед детьми, родиной, семьей или конфессией, можно и отложить, поменять местами или даже отбросить. Но долг перед Вселенной и всей жизнью – это категория, которая всегда останется актуальной как для нас, так и для всех других биологических или небиологических существ (которые могут состоять из любой материи), осознающих такую ответственность. Именно этот долг впервые в истории заставляет нас как обитателей Вселенной заботиться о сохранении, защите и процветании жизни.
Какова философия гена? Весома ли она? Сколько было случаев, когда философию просто принимали, даже не задумываясь о ее истоках. При попытке разобраться, какая логика лежит в обосновании современных представлений о генах (разделяемых большинством генетиков), как раз предоставляется возможность проверить эту философию на прочность.
БАРБАРА МАККЛИНТОК,
цитогенетик, лауреат Нобелевской премии
Есть два пути выхода жизни за пределы Земли, где нет привычной защиты в виде стабильного тяготения, магнитосферы, атмосферы и давления. Примерно в такую ситуацию попадает птица, впервые покидающая гнездо. Один путь – просто позволить эволюции идти своим чередом, чтобы естественный отбор постепенно оставил признаки, необходимые для выживания на новых планетах. В принципе этот подход можно охарактеризовать как «авось выплывет» – только рядом не будет спасателя, а к ногам будут привязаны кирпичи. Действительно, отбор такого типа будет постепенно работать, но на него потребуется очень много времени. Не исключено даже, что он окажется слишком медленным, и просто никто не выживет. На наиболее суровых планетах земные организмы могут вымереть еще до того, как успеют оставить потомство.
Второй путь, позволяющий приспособить земную жизнь к обитанию на других планетах, – заблаговременно вносить генетические изменения, так, чтобы мигрирующая жизнь сразу была в состоянии закрепиться на новом месте. Да, это сложнее, но в то же время гуманнее. Однако для этого необходимо лучше понимать «функциональные» элементы всех геномов метавида, чтобы лучше модифицировать и защищать их. Для воплощения подобных планов сначала нужно составить подробную карту функциональных элементов человеческого генома, нашего метагенома, а также генома других видов, которые с нами связаны (холобионта или метавида). Иными словами, нам необходим исчерпывающий список того, что нужно защитить, что можно редактировать и какие биологические возможности в принципе реализуемы, если брать за основу современный каталог земной биосферы. Прежде чем мы сможем создавать геномы с нуля (об этом поговорим позже), необходимо определить, что вообще можно выстроить таким образом.
Хотя в настоящий момент именно геном человека является наиболее изученным, нам еще далеко до полного раскрытия всех его тайн. Сколько у нас всего генов? Что они делают? Как они регулируются? Есть ли в геноме такие области, на которые нужно повесить ярлык «не трогать», наряду с теми, что лучше поддаются модификации, изменению или манипуляциям? А как насчет геномов других биологических видов?
Ответы на эти вопросы принципиально важны, чтобы делать дальнейшие шаги в биоинженерии. Кроме того, нам необходимо лучше понимать, как жизнь реагирует на космические перелеты, адаптировав к астронавтам и представителям других биологических видов те методы, что были выработаны в рамках проведенного NASA эксперимента Twin Study (см. главу 1). На момент публикации оригинала этой книги в космосе побывали всего 570 человек (считаем, что космос начинается в 100 км над поверхностью Земли, там, где атмосфера становится разреженной настолько, что небо кажется черным). С развитием космического туризма (такими проектами занимаются SpaceX, Blue Origin и другие компании) и появлением новых национальных космических агентств (например, в Израиле и Индии) объем получаемых данных будет расти по экспоненте. В то же время будет наращиваться работа с модельными организмами (растениями и животными, как, например, в лаборатории NASA GeneLab). На Луне уже даже успели вырастить побег хлопка в рамках китайской миссии «Чанъэ-4». Заказать лунные носки, сотканные из такого хлопка, пока нельзя, но это только вопрос времени.
Хотя от этого захватывает дух, по-прежнему остается вопрос: что же нам модифицировать? Во-первых, нужно определить субстраты и подбить базовые знания, чтобы понять, что может сработать. Чтобы получить общую картину, необходимо выстроить контекст: от генома к генам, клеткам, тканям, а затем до целого тела и экосистемы. Стоит замесить молекулярный раствор и подобрать генетические кирпичики, и мы сможем создавать крупномасштабные творения, в том числе такие, которые доберутся до звезд.
Базовыми блоками генома (иными словами, генетического кода, или ДНК) являются гены. Они состоят из четырех нуклеотидов (А, Ц, Г, Т), которые можно «транскрибировать» (этот процесс аналогичен «чтению вслух») в алфавите РНК (А, Ц, Г, У). Каждый нуклеотид обычно обозначается одной буквой алфавита. Молекула ДНК передается из поколения в поколение и является основным носителем наследственной информации. Становясь активной, ДНК транскрибируется в РНК, играющую роль «матричной» молекулы, которая передает информацию о функциях ДНК. РНК можно сравнить с чертежом, который необходимо «транслировать» (или претворить сказанное в действие), и тогда на основе этого чертежа создаются белки (кодирующая, или матричная, РНК). В то же время другие РНК сами по себе являются активными молекулами (некодирующая РНК) и могут регулировать другие процессы в клетке.
Синтезируемые белки и некодирующая РНК создают основу для роста клеток, их адаптации и передачи сигналов другим частям тела. Они образуют активный компонент генетического кода, отвечающий за рост ногтей, замену вышедших из строя кровяных клеток, переваривание пищи, выброс гормонов удовольствия при оргазме, регулирование сна, а также помогают организму не просто выживать, но и процветать. Совокупность всего генетического кода отдельного организма называется «генóм». Совокупность, охватывающую несколько организмов и позволяющую рассматривать их как единое целое, называют «метагенóм».
Хотя геном человека может показаться большим – примерно 3,1 гигабаз (3,1 млрд пар нуклеотидов), есть и более крупные геномы. У большинства растений геномы гораздо больше (10–30 гигабаз), а самый большой известный геном у эвглены – 120 гигабаз. Возможно, самый поразительный аспект человеческого генома заключается не в его размере, а в объеме ДНК, кодирующей белки, относительно некодирующих областей генома (ДНК, кодирующая нематричную РНК, или некодирующие участки ДНК, расположенных между генами). Многие некодирующие РНК определяют очень специфические типы клеток, как показано в работах Ари Мельника, Манолиса Келлиса, Марка Герштейна, Джона Мэттика, Кристины Лесли и консорциума ENCODE (The Encyclopedia of DNA Elements, «Энциклопедия элементов ДНК»). Действительно, именно в этом аспекте человеческого генома могут быть представлены его наиболее уникальные черты, отличающие нас от других видов. Всего 2 % человеческого генома кодируют белки. А вот у бактерий за производство белков отвечает 99 % генома, у дрожжей – 80 %, а у большинства других организмов – порядка 20–30 %. Но… почему? Сколько всего генов и как предсказать, что именно они делают?
ДНК и РНК, присутствующие в каждой клетке, не просто несут огромный массив инструкций и врожденных адаптивных откликов на окружающий мир. Дискретные элементы ДНК действуют как функциональные рычаги. Эти рычаги и есть гены. С 1940-х и вплоть до 1970-х гг. господствовала теория, согласно которой за каждым геном закреплена одна конкретная функция («один ген – один фермент»), поскольку именно это наблюдалось в бактериальных системах. За открытие такой закономерности Джордж Бидл даже был удостоен Нобелевской премии. Его работа привела к популяризации концепции, согласно которой существует «ген интеллекта», «ген рака» или «ген роста».
Однако у человека и других многоклеточных организмов генетическая регуляция устроена сложнее. Редко бывает так, что один ген реализует единственную простую функцию, определяет какой-то признак (так называемый фенотип)[5] или является единственным фактором, от которого зависит риск заболевания. Почти все гены действуют в клетках сразу нескольких типов, в разных тканях и/или на разных этапах развития. Принцип «один ген – много функций» называют плейотропией. Поскольку она характерна для многих генов, очень сложно выделить тот единственный ген, отвечающий за конкретный фенотип. Например, белок, который действует в качестве фермента в одной химической реакции, может использоваться для другой цели. Тот же ген, который контролирует метаболизм инсулина (PI3K), также может играть решающую роль при реагировании клетки на химиотерапию и определять, станет ли рак метастатическим.
Хотя размер человеческого генома практически не менялся с тех пор, как эволюционные пути человека и его ближайших родственников, шимпанзе и бонобо, разошлись около 6 млн лет назад, наши знания о генах и их регуляции стали проясняться лишь в последние 10–20 лет. В конце 1990-х гг. шли серьезные дебаты о том, сколько же генов у человека. Высказывались оценки, что их количество может достигать 120 000 либо не превышать 20 000. Тогда была не вполне понятна разница между кодирующей и некодирующей РНК, а многие придерживались антропоцентрической точки зрения, согласно которой человек, как сложный организм, должен иметь гораздо больше генов, чем дрозофила (13 000) или нематода (20 000). Однако, когда в 2001 г. была опубликована первая черновая версия генома человека, оказалось, что у нас всего около 25 000 генов.
С 2001 г. темпы открытия новых генов в геноме человека не снижаются. Усилия многих исследователей как в отдельных лабораториях, так и в больших консорциумах вроде ENCODE позволяют быстро обнаруживать новые гены в «книге жизни», содержащей 3,1 млрд символов. В среднем каждый год удается найти около 1000 новых генов. К 2020 г. их количество превысило 60 000. Впрочем, количество генов, кодирующих белки, остается относительно постоянным и держится на уровне 20 000. Эти гены отвечают за синтез ферментов, белковых комплексов и функциональных элементов клетки, в основе которых лежат аминокислоты. В то же время удается найти и четко вычленить все больше и больше некодирующих генов (рис. 3.1). Таким образом, нам еще предстоит открыть некоторые из тех генов, что сыграют важную роль при космических полетах.

Рис. 3.1. Рост количества выявленных человеческих генов: статистика аннотаций для генов из каждой категории в каталоге GENCODE
Работа по поиску новых генов продолжается и сейчас, поскольку ДНК является лишь носителем информации о геноме человека, а вот активные формы (РНК) могут быть очень специфичными для каждой клетки, ткани или стадии развития, и поэтому поиск таких форм требует огромных усилий. Например, плодный гемоглобин (гемоглобин F) – молекула, при помощи которой человеческий эмбрион получает бóльшую часть кислорода. Но к моменту рождения этот ген отключается и обычно больше не работает. Чтобы решить такую сложную задачу, как охват работы генома во всей его пространственно-временной сложности, и найти гены, которые могут экспрессироваться очень редко или спорадически, в настоящее время реализуются несколько проектов по построению атласа для каждого типа клеток в организме человека. В их числе можно назвать проект BrainSpan под руководством Ненада Сестана и Human Cell Atlas (www.humancellatlas.org) под руководством Авива Регева. Эти проекты помогут определить, сколько генов – и в каком объеме – на самом деле функционируют в клетке с первого момента ее существования.
Генетика не ограничивается изучением человеческого генома. Базы данных хранят информацию о геномах самых разных организмов. Есть несколько крупномасштабных проектов и баз данных, в которых хранится генетическая информация, и объемы ее со временем увеличиваются. К ним относятся GenBank (подробнее поговорим о нем, когда будем обсуждать технологию CRISPR), где хранятся все данные по секвенированию, расшифровке ДНК, полученные в мире. Также нужно упомянуть Европейскую лабораторию молекулярной биологии, KBase, японский банк данных по ДНК, а еще самая молодая генетическая база данных – Китайский национальный генетический банк. Два крупнейших мировых проекта по картированию геномов – Earth BioGenome Project и Vertebrate Genomes Project. В рамках этих проектов еженедельно выявляются тысячи генов организмов, обитающих в самых разных экосистемах.
Когда бы ни удалось выяснить окончательное – «истинное» – количество генов или приблизиться к его определению, этот показатель не будет вечным. Жизнь эволюционирует, и даже старые – «мертвые» – гены, например псевдогены, могут «ожить» и вновь стать функциональными. Эти гены – реликты наследственной информации, которые все еще присутствуют в геноме и отражают изменения, произошедшие в биологии человека за миллионы лет. В сущности, наш геном похож на древний папирус, на котором миллионы надписей затирают друг друга, а мы читаем отредактированные избранные эволюционные «заметки». Правда, теперь мы в состоянии их не только читать, но и видеть, что изменилось и как. Один из процессов называется «экзонизацией», когда часть гена, который в нынешнем состоянии не транскрибируется в белок, мутирует и превращается в экзон. Экзон, в свою очередь, может использоваться как часть новой РНК или элемент белка. Кроме того, почти со всеми генами происходит сплайсинг ДНК при делении клеток – процесс, при котором внутренние элементы гена смешиваются и переупорядочиваются, приобретая таким образом новую функцию. Такой процесс может запускаться болезнью (например, при миелодиспластическом синдроме), происходить при определении пола или специфических вариантах иммунного ответа.
Помимо создания и повторного использования генетического компонента в арсенале жизни есть и более простой способ приобретения новых генетических функций: отбор. Существуют примеры стремительного эволюционного отбора в последние несколько веков. Наиболее заметное в повседневной жизни изменение такого рода – это приобретенная взрослыми людьми способность усваивать лактозу (переносимость лактазы). Как правило, млекопитающие (кроме детенышей) такой способностью не обладают. Другой пример – отбор, направленный на увеличение размеров селезенки, на островах Полинезии. Благодаря этому современные полинезийцы могут нырять глубже и оставаться под водой дольше, чем другие люди. Наконец, есть свидетельства отбора по гену EPAS1 среди гималайских шерпов, которые лучше приспособлены к жизни на большой высоте. Эти эволюционные изменения произошли всего за несколько десятков поколений.
Если геном (вся ДНК) и транскриптом (вся РНК) определяют основные строительные блоки и потенциал клетки, то за их регуляцию отвечают дополнительные молекулы, расположенные на соответствующих азотистых основаниях. Вместе эти молекулы называются эпигенóмом и эпитранскриптóмом, где приставка «эпи-» означает «над-». Есть сотни химических маркеров, определяющих, когда, как и где ДНК и РНК пойдут в ход и будут использоваться в клетках. Речь может идти о минимальных химических изменениях, например о метилировании ДНК. В таком случае группа из четырех атомов (CH3) добавляется к цитозину (нуклеотидное основание, обозначаемое буквой «Ц»), чтобы было легче управлять функцией гена. Возможны и масштабные изменения ДНК или белков, вокруг которых она обернута.
Те же принципы касаются и РНК, при этом небольшие химические модификации, такие как метилирование, модулируют функции конкретной РНК. Впервые такое явление было определено как эпитранскриптом в 2012 г. нашей лабораторией и другими исследователями. Сегодня известно 115 модификаций РНК, присутствующих во всех сферах жизни. РНК, как ДНК и эпигеном, демонстрирует замечательную пластичность при управлении состоянием, локализацией, скоростью трансляции и стабильностью. РНК, как и ДНК, невообразима вне контекста ее модификаций и вариантов свертки.
Почти все вирусы, чей генетический код записан в РНК, имеют модифицированные РНК, в том числе вирусы иммунодефицита человека (ВИЧ), Зика и гепатита C. Исследования, проведенные в лаборатории доктора Стейси Хорнер (Университет Дьюка) и у нас, показали, что именно от этих модификаций зависят скорость роста вирусов, их высвобождение и взаимодействие с клетками хозяина. Модификации РНК обнаружены почти у всех исследованных организмов, включая вирусы, растения, бактерии, грибы и животных. Сегодня уже ясно, что эпитранскриптом, как и эпигеном, служит набором скрытых «рычагов», управляющих функцией РНК. Потенциально эти рычаги могут послужить базой для будущей клеточной инженерии.
Жизнь любого многоклеточного организма начинается с одной клетки, в которой содержатся все мудреные инструкции по синтезу, организации и регуляции не только этой клетки, но и всех других, которые в итоге будут составлять организм. Все эти инструкции закодированы в ДНК первой клетки. Это подчеркивает сложность генома и то, какими специфическими способами должна управляться экспрессия генов в каждой клетке в зависимости от ее функции. Клетки каждой ткани человеческого организма (мышечной, легочной, печеночной) характеризуются уникальной эпигенетической сигнатурой, обеспечивающей поддержание специфичных функций посредством контроля регуляции генов.
Наши знания об общем количестве уникальных клеток и клеточных типов постоянно расширяются. По предыдущим оценкам, в человеческом организме насчитывалось около 300 типов клеток, но новые данные проекта «Атлас человеческих клеток» показывают, что у нас могут быть тысячи типов и подтипов клеток, каждый из которых имеет уникальную функцию, реализующую конкретное физиологическое состояние или реакцию на стимул. Но даже клетки одного и того же типа не идентичны. Сигнатура «это я» – как клетка представляет себя организму через набор молекул на своей поверхности – может радикально изменяться в зависимости от внутренних факторов, например генетических мутаций или изменения состояния эпигенома, транскриптома и протеома данной клетки, а также в зависимости от внешних стимулов. Такие стимулы могут быть обусловлены приемом лекарств и взаимодействиями с другими клетками. Данное инновационное представление особенно ярко выражено в случае с неоантигеном, когда раковая клетка создает у себя на поверхности совершенно новую молекулу. Получается уникальная сигнатура, которая не встречается у нормальных клеток, и такая сигнатура может служить отличной мишенью для щадящей противораковой терапии.
В человеческом теле насчитывается примерно 30 трлн собственных клеток плюс 30–40 трлн бактериальных клеток – всего около 70 трлн. Если бы у нас в организме была демократия, то человеческие клетки зачастую оставались бы в меньшинстве или на равных позициях с другими. Вы (человек) никогда не выиграли бы «выборы». На вашем теле, внутри него и вокруг огромное количество микробов. Их так много, что именно на них приходится основная масса клеток на Земле.
Хотя бактериальные геномы гораздо меньше по размеру (2–10 мегабаз у бактерий против 3,1 гигабазы у человека), биохимическая активность бактерий не менее, а зачастую более важна, чем соответствующий вклад человека. По оценкам Ли Худа, 36 % мелких молекул в организме человека либо синтезируются, либо перерабатываются микробиомом. Примерно 25 % всех лекарств, предназначенных для лечения человека, также могут влиять на рост и биологию бактериальных клеток, живущих в организме. Таким образом, лечение болезни никогда не ограничивается одним лишь человеком, а распространяется на клетки, относящиеся к разным царствам/сферам живой природы.
Но это лишь одна грань сложного процесса изучения заболеваний и предсказания реакции организма на лечение. Углубление понимания истинной сложности биологии позволило создать предиктивное моделирование и методы персонализированной терапии. Центры «точной медицины» и «персонализированной медицины» – новое и пока не слишком развитое направление. Их цель – подобрать правильное лечение для конкретного пациента, рассчитать правильную дозу лекарства и вводить ее в точно подобранное время. Точная медицина привела к поразительным прорывам в лечении рака (в особенности это касается лейкемии и рака легких), где можно найти ахиллесову пяту онкологической болезни и ударить прямо в нее. Например, можно убивать только раковые клетки, а незлокачественные не трогать. Кроме того, исследование инфекционных заболеваний и метагеномики, или изучения всей ДНК независимо от вида, привело к рождению точной метагеномики. Точная метагеномика позволяет подбирать антибиотики под конкретного пациента и выявлять патогены, из-за которых у человека развилась болезнь. Также работа в области метагеномики позволила совершенно случайно обнаружить микробов, живущих внутри злокачественных опухолей. Эти микроорганизмы способны обрабатывать и расщеплять химиопрепараты, в результате чего развивается резистентность к лечению. Таким образом, при некоторых опухолях пациенту сначала показан курс антибиотиков, чтобы истребить бактериальные клетки, и лишь потом можно принимать противораковые препараты. Такие схемы лечения – результат пересмотра основ медицины и зарождения новых представлений о «трансграничной биологии». Сегодня, чтобы быть хорошим специалистом по генетике человека, нужно смотреть дальше человеческой ДНК, поскольку в жизнедеятельности организма участвуют клетки, относящиеся к разным царствам, и на человека может влиять ДНК чужеродных клеток.
Действительно, если вы специализируетесь на генетике человека, но исследовали только человеческую ДНК, то это плохо. Сегодня недостаточно ограничиваться изучением всего одной дисциплины, будь то микробиология или онкология, и считать, что этого хватит. Хотя в большинстве книг по биологии три царства живых организмов изображаются как отдельные ветви с эволюционной и исторической точки зрения, такая трактовка ошибочна как в клиническом, так и в биологическом контексте. Люди – это организмы, в жизнедеятельность которых вовлечены представители разных царств (бактерии, вирусы, грибы, прочие клетки и ДНК), и между этими царствами непрекращающимся потоком течет информация. В целом человека нужно рассматривать, измерять и моделировать как динамическую живую сеть, в которой пересекается биология нескольких царств. Следовательно, правильное моделирование болезни, здоровья и биологии в целом должно идти без привязки к клетке, виду или царству происхождения. Основное внимание нужно уделять молекулам, производимым любой клеткой системы. Эти молекулы неизбежно взаимодействуют с другими молекулами. Такой подход принципиально важен при принятии решения о том, как проектировать геномы и как отправлять их носителей на другие планеты.
Каков же необходимый объем той информации для модели, которая должна включать в себя молекулы всех биологических видов? Оценки разнятся, но ученые считают, что общее количество видов на нашей планете может исчисляться триллионами, а мы только начали картировать их представителей и взаимодействия этих организмов. Существуют масштабные проекты по картированию бактериальной ДНК и вообще нуклеиновых кислот, встречающихся в природе, они ведутся во многих точках земного шара. В частности, отметим проект Earth Microbiome, в рамках которого поиск новых организмов ведется во всевозможных средах обитаниях с целью картирования их биоразнообразия и жизненных функций. Также известен проект Extreme Microbiome, нацеленный на исследование организмов-экстремофилов и анализ их ДНК с точки зрения показателей адаптивности (подробнее см. главу 5). Кроме того, интересен проект Metagenomics and Metadesign of the Subways and Urban Biomes (MetaSUB), в рамках которого секвенированы тысячи биологических образцов более чем из 100 городов мира. Первые данные по этому проекту опубликованы в 2020 г. благодаря работе Дэвида Данко, Даниэлы Бездан и консорциума, объединяющего свыше 150 городов. Хотя на момент публикации результатов в подборку входили лишь данные по городам Земли, все равно удалось выявить 4,3 млн новых генов и открыть более 10 000 новых видов вирусов. Эти результаты подчеркивают масштабы чисто биологических исследований, которые предстоит выполнить на втором и третьем этапах 500-летнего плана.
Эта система клеток и молекул, принадлежащих бактериям, вирусам, грибам, простейшим, человеку и пр., а также варианты их физиологической и биологической интеграции составляет обширный метагеном (совокупность всех геномов). Конструирование микробиома и метагенома является одним из приоритетов NASA и других космических агентств. Соответствующий проект называется «Микробиология искусственной среды» (MoBE), и одним из первопроходцев в таких исследованиях является Пола Олсевски из Фонда Альфреда Слоуна. Все объекты изучения в рамках MoBE – от домов и метро до космических станций – представляют собой в настоящее время «случайно» сложившуюся экосистему, к которой приспособились ее обитатели. Картировать и описывать ее очень сложно.
В 2018 г. был запущен проект Earth BioGenome, цель которого – секвенировать и аннотировать примерно 1,5 млн геномов сложных организмов, обитающих на Земле. В Великобритании также стартовал еще один проект – Darwin Tree of Life – в рамках подобных европейских инициатив. Группы, занятые в этом проекте, планируют вместе секвенировать и аннотировать геномы всех 66 000 эукариотических видов, обитающих на Британских островах. Институт Сенгера вместе с партнерами из различных британских организаций, музеев и университетов служит хабом для секвенирования. Это позволит впервые в истории создать карту геномов планетарного масштаба. Но она будет охватывать только те организмы, которые существуют рядом с нами, а как быть с теми, что над нами, которые от нас отделяет космос?
Многое из того, что нам известно о метагеноме МКС, – это результат работы доктора Кастхури Венкатесварана из Лаборатории реактивного движения NASA. Свидетельства быстрой адаптации организмов к космическим условиям, включая устойчивость к антибиотикам, наблюдаются с начала 2000-х гг. и имеют прямое отношение к здоровью и безопасности экипажа. Хотя другие исследования показали, что организмы адаптируются, они необязательно становятся опасными. Как и в большинстве биологических процессов, влияние зависит от ситуации и момента. Вплоть до 2015 г. мониторинг этих изменений на МКС в реальном времени был невозможен, но затем родилась идея эксперимента.
Идеально было бы прямо на МКС секвенировать ДНК или РНК любого интересующего нас живого существа, но аппаратура для выполнения таких задач была слишком громоздкой. Большинство секвенаторов ДНК, характеризующихся высокой скоростью работы и производительностью (например, Illumina) также были слишком тяжелыми, из-за чего их доставка в космос обошлась бы слишком дорого. Но в 2012 г. компания Nanopore Technologies из Оксфорда анонсировала разработку миниатюрного секвенатора под названием MinION, который вполне умещается на ладони и весит всего 0,3 кг. В 2014 г. наша лаборатория в Корнеллском университете и некоторые другие получили доступ к этому прибору. В 2015-м секвенирование генома в космосе уже было реалистичным. Оказывается, все, что для этого требуется, – реактивы, компьютер (или даже планшет), MinION и немного смелости.
Работая над организацией эксперимента Twin Study, я поинтересовался в NASA, возможно ли доставить на МКС нанопоровый секвенатор, и они посоветовали мне поговорить об этом с доктором Аароном Бертоном и Сарой Кастро-Уоллес. Оказывается, они уже начали продумывать нечто подобное, поэтому мы объединили усилия для разработки эксперимента «Секвенатор биомолекул» (BSeq) при участии Кейт Рубинс и Чарльза Чу.
Итак, мы взялись за планирование. Для начала нужно было найти ответ на простой, но важный вопрос: станет ли секвенатор вообще действовать в невесомости? Что будет, если мы доставим его на орбиту, а он там не заработает? Что, если по каким-то причинам секвенатор станет работать в невесомости иначе, чем при нормальном тяготении на Земле? К счастью, мы смогли воспользоваться авиатренажером, прозванным астронавтами «рвотная комета», на котором NASA тестирует процессы работы в невесомости.
На одной из телеконференций, доктор Энди Файнберг упомянул, что как раз собирается поработать на «Комете». Ему нужно было выяснить, станут ли функционировать в невесомости новые пипетки с положительным вытеснением. Когда он спросил, нет ли у кого идей по проведению других экспериментов, я тут же ответил «да!». Представился замечательный шанс протестировать секвенатор в невесомости. Нам оперативно доставили все принадлежности, мы погрузились в самолет и с головой ушли в космические эксперименты. Когда Энди взялся за дело, по всему самолету стали летать пробирки, но он умудрился сохранить самообладание, перенес образцы и убедился, что пипетки работают. В конце концов он сумел заправить маленький секвенатор, и в 2015 г. мы вместе впервые продемонстрировали, что секвенировать геном в невесомости действительно реально.
Далее предстояла работа на МКС. Доктор Кейт Рубинс, входившая в команду BSeq, опытный вирусолог, ранее руководившая собственной лабораторией и многократно выполнявшая секвенирование самостоятельно, стала астронавтом, отобранным для следующего полета в космос. Это оказалось как нельзя кстати. Она благополучно прибыла на МКС в августе 2016 г. NASA снаряжало грузовой корабль для пополнения запасов, необходимых экипажу станции. Мы скоординировались и привлекли к анализу специалистов из Хьюстона, Нью-Йорка и Калифорнийского университета в Сан-Франциско, чтобы контролировать в реальном времени работу на МКС. Эксперимент прошел безупречно, и ДНК человека впервые в истории была секвенирована за пределами Земли. Так на наших глазах началась эра космической геномики. По результатам исследований мы опубликовали первые геномные и эпигеномные данные, полученные с участием коллег из миссии BSeq и других ученых.
В эту новую эру космической геномики будущие астронавты будут полагаться только на себя, что принципиально важно для людей, оказавшихся на другой планете. Если они столкнутся с неизвестными или острыми медицинскими проблемами, например с микробами, невосприимчивыми к антибиотикам, то смогут секвенировать их, определить, что они собой представляют, и понять, как действовать в сложившейся ситуации. Кроме того, как уже говорилось, методы мониторинга на основе секвенирования геномов позволят на ранней стадии выявлять многие заболевания.
Все рассмотренные выше биологические уровни – от регуляции эпигенома, определяющей, какие гены транскрибируются в РНК, до регуляции эпитранскриптома, контролирующей обработку этих РНК и их трансляцию в белок, вплоть до дополнительной модификации белков и взаимодействия всех этих молекул – составляют «молекулярное тело». В совокупности эти элементы требуют фундаментального пересмотра наших представлений о человеческом организме. Так как же выявлять проблемы, возникающие в столь сложной системе? Для этого нам пригодится внеклеточная ДНК.
Множество мелких фрагментов ДНК постоянно выбрасывается из клеток (намеренно либо при гибели клетки) и циркулирует по организму в кровотоке. У здорового человека внеклеточная ДНК поступает в кровь в основном в результате гибели нормальных клеток, особенно кровяных телец. Отмечу, что всего из одного миллилитра плазмы можно выделить столько внеклеточной ДНК, что ее хватит на сборку от 1000 до 10 000 полных копий вашего генома. Он будет состоять как из хромосомной, так и из митохондриальной ДНК, а вместе с этим материалом мы подхватим фрагменты вирусных, бактериальных и грибковых геномов. С учетом, что внеклеточная ДНК – это, в сущности, «мусорный профиль» нашего организма, просеивание этого мусора помогает понять, что происходит на «молекулярном балу» у нас в теле, от чего избавляются клетки. Например, если вы нашли в мусорном контейнере кучу пивных банок или винных бутылок, это означает, что в доме неподалеку всю ночь кутили. Относительное содержание внеклеточной ДНК и те источники, из которых поступают эти фрагменты, можно отслеживать – и тогда перед нами открывается очень информативное окно для изучения физиологии человека. В 2010-е гг. практическое применение таких анализов быстро расширилось. Они пригодились в пренатальной диагностике, диагностике рака, мониторинге инфекций, отторжения тканей и иммуносуппрессии после пересадки органов. Секвенирование внеклеточной ДНК и РНК из кровотока (также именуемых внеклеточными нуклеиновыми кислотами) показало, что оно позволяет выполнить «полное молекулярное сканирование организма».
Выбор в качестве объекта исследования внеклеточной ДНК позволил разработать новые предиктивные методы, основанные на простом взятии крови. Во-первых, поскольку у раковых клеток нередко есть мутации, отличающие их от здоровых клеток, повышенное содержание таких мутаций во внеклеточной ДНК указывает на развитие рака иногда еще до появления симптомов у пациента. Эта концепция фундаментально изменила подход к раннему обнаружению рака. В частности, появились мультитесты на несколько видов рака по внеклеточной ДНК (например, по методу GRAIL), а также анализы кала по обнаружению рака толстой кишки (например, анализ Cologuard, разработанный компанией Exact Sciences). Во-вторых, пациент, которому пересаживается орган, получает очень много клеток от другого человека, и эти аллели (разновидности гена) можно отслеживать у реципиента, если орган отторгается или разрушается. В исследовании от 2014 г., проведенном Стивеном Куэйком и Ивийном де Вламинком, удачность пересадки сердца определялась по отсутствию ДНК донора в плазме крови реципиента. Кроме того, внеклеточная ДНК изменила представления о мониторинге пациентов с сепсисом, перенесших трансплантацию почек или страдающих болезнями, при которых в кровотоке в изобилии обнаруживается чужеродная (микробная) ДНК.
Как говорилось в главе 1, уровень митохондриальной ДНК (мтДНК) в крови повышается у людей, выступающих перед большой аудиторией. Похожие результаты были получены и в других тестах, когда проверялся уровень митохондриальной ДНК в крови у людей во время стресса. В исследовании, проведенном Линдквистом с коллегами, оценивались уровни митохондриальной ДНК в крови у людей, незадолго до того пытавшихся покончить жизнь самоубийством. Содержание мтДНК у них было повышенным, и этот результат не зависит от выбранного способа сведения счетов с жизнью (передозировка наркотиков, повешение, перерезание вен и даже сочетание этих вариантов). Действительно, особенности митохондриальной ДНК фиксировались даже в исследовании с участием братьев Келли. У Скотта Келли в течение первой недели, проведенной в космосе, а также вновь ближе к концу экспедиции значительно возрастало содержание мтДНК в крови. Это указывает на серьезный иммунный стресс, вызванный облучением во время космического полета, перераспределением биологических жидкостей и переменой окружающей среды. По всплескам мтДНК также можно судить о здоровье тех, кому еще предстоит лететь в космос.
Если помнить концепции метагенома и холобионта, становится ясно, что такой мониторинг должен показывать и показывает молекулярные изменения для всех видов, а не только для человека. Так, в рамках исследования, проведенного в лаборатории де Вламинка Корнеллского университета, выяснилось, что секвенирование внеклеточной ДНК из мочи пациентов, страдающих болезнями мочеполовой системы, позволяет выявить не только тип инфекции, но и ее возбудителей. Далее, обрабатывая внеклеточную ДНК бисульфитом, можно выявить эпигенез ее происхождения и определить, какой именно орган в теле инфицирован. Все дело в дифференциальной регуляции клеток в эпигеноме в зависимости от их типа, как говорилось выше. Это дает простой неинвазивный метод выявления вялотекущих инфекций, а также средство, позволяющее оценить степень поражения тканей и клеток в масштабах всего организма. У каждого фрагмента ДНК есть собственная эпигенетическая история происхождения, нужно только научиться ее читать.
Со временем точность персонализированной медицины возросла, в особенности с притоком данных о различных состояниях, связанных с разитием той или иной болезни, и об уровнях молекулярной регуляции. Поэтому мы научились лучше лечить и выявлять рак, инфекционные и наследственные заболевания. Как показано выше на примере с доктором Рубинс, сегодня эти возможности выходят за пределы Земли и делают реальным непрерывный генетический мониторинг астронавтов в космосе. Аналогичным образом алгоритмы машинного обучения, получившие разительное развитие в последние годы на Земле, сыграют в будущем важную роль и в космической диагностике. Отметим, в частности, алгоритмы сегментирования изображений, помогающие диагностировать рак молочной железы, обеспечивающие стратификацию пациентов по группам риска на основе анализа гистологических срезов и идентификацию эмбрионов, имеющих наилучшие шансы прижиться в матке (исследование доктора Имана Хаджирасулихи и Оливье Элементо), а также позволяющие прогнозировать токсичность препарата до того, как будут потрачены время и деньги на его клинические исследования. Кроме того, благодаря большим данным в медицине удалось впервые опробовать новые методы, связанные с использованием электронных медицинских карт и носимых устройств для предсказания развития состояния пациента. Репозиторий больших данных по астронавтам пока еще не создан, но он необходим для прогнозирования рисков и определения способов реагирования на них еще до того, как они покинут Землю.
Например, работа Майкла Снайдера из Стэнфордского университета (Майкл был одним из тех, кто участвовал в эксперименте Twin Study) показала, что носимые устройства для постоянного слежения за частотой сердечных сокращений и изменениями в ДНК и РНК позволяют выявить риск диабета еще до того, как он возникнет, а также болезнь Лайма, прежде чем она станет слишком серьезной. То же самое было показано для COVID-19, вызванного SARS-CoV-2. Если следить за собственной физиологией, организм вас сам обо всем предупредит. В целом эти инструменты и методы демонстрируют огромный потенциал предиктивной медицины, которая способна останавливать болезни еще до того, как они проявятся. Если все пойдет хорошо, то скоро такие исследования станут стандартными для астронавтов NASA или космонавтов, которых готовят другие космические агентства. Астронавты смогут, ориентируясь на собственные референсные данные, обнаруживать изменения в своем молекулярном теле и, если потребуется терапевтическое вмешательство, определять, как и когда его осуществлять.
Один по-настоящему удивительный факт о геноме человека заключается в том, что мы продолжаем снова и снова «завершать его», как будто это излюбленная видеоигра генетиков. Впервые геном был «готов» в 2000 г., о чем было заявлено на пресс-конференции на лужайке перед Белым домом с участием президента Клинтона. Затем его снова «завершили» в 2003 г., а затем еще и еще раз. После 2003 г. в геном периодически вносят исправления, корректировки и т. д., после чего Консорциум референсного генома официально публикует новую версию генома человека.
По сути, исследование генома по-настоящему никогда не завершалось. Даже сегодня в этом пазле из 3,1 млрд деталей еще остаются неразобранные участки. Лучшая текущая карта генома представляет собой сотни фрагментов ДНК и совсем не похожа на аккуратный набор хромосом. Однако новейшие технологические разработки и вычислительные методы открывают новую эру в истории «завершенных геномов». В частности, можно рассчитывать на получение полной сквозной сборки человеческого генома.
Итак, в чем же проблема? Почему геном человека пришлось столько раз пересматривать? Здесь можно вернуться к аналогии с пазлом: современные технологии позволяют нарезать геном на миллионы крошечных фрагментов, а потом читать каждый из них как буквенную строку (эти строки называются «чтения»). Далее при помощи вычислительных методов чтения «выравниваются» относительно друг друга путем совмещения букв в строке. Некоторые области человеческого генома и, соответственно, фрагменты из этих областей, уникальны, как уголки в пазле. Но другие области разобрать гораздо сложнее. Фактически у нас тысячи одинаковых фрагментов, но взаимозаменяемыми они не являются. На кончиках хромосом находятся последовательности «ТТАГГГ», отличающиеся очень высокой повторяемостью – они называются «теломеры». Заставив компьютер «прочитать вслух» этот фрагмент генома, вы получите не больше информации, чем от заикающегося робота. Далее в центральной части хромосом находятся центромеры – это еще один класс повторяющихся сегментов, разобрать которые невозможно, если у вас в распоряжении лишь коротенькие части последовательностей ДНК. Но по мере того, как совершенствуются секвенаторы, в частности Oxford Nanopore MinION и Pacific Biosciences Instruments, позволяющие читать все более длинные последовательности, сборка ДНК-пазла превращается в гораздо более подъемную задачу.
Пример тому – работа Адама Филиппи, Карен Миги, Эриха Джарвиса и других представителей консорциума Telomere-to-Telomere, продемонстрировавших, что сегодня уже возможно собрать с нуля целый человеческий геном. Даже X-хромосома (женская половая хромосома) впервые была целиком собрана только в 2019 г. Но теперь, когда она готова, сборка остальных хромосом – дело времени, причем ближайшего. Сейчас мы можем картировать местоположение, фазирование генов (их положение относительно других генов в той же молекуле) и состояние каждого гена. Также можно детально изучать экспрессию, модификацию и вероятное влияние функциональных элементов, например энхансеров (их можно сравнить с пультами дистанционного управления генами).
Таким образом, к 2021 г. базовую работу по картированию генома человека можно считать в целом завершенной. Она позволила выявить почти все гены, претендующие на попадание в категорию «не трогать» – их нельзя редактировать, удалять или модифицировать. Эти области были определены благодаря масштабным проектам, нацеленным на получение представления об изменчивости человека на генетическом уровне. В числе таких проектов стоит упомянуть Genome Aggregation Database и британский проект Biobank. В рамках таких проектов добываются генетические и медицинские данные, а также определяются фенотипы миллионов людей. На этом материале можно выявлять мутации, которые не оказывают негативного влияния на репродуктивную функцию или качество жизни. Например, если мы рассматриваем 10 млн геномов и в 10 % этого множества фиксируется мутация, то, скорее всего, эта мутация не слишком вредна. В противном случае большая доля людей имела бы похожее заболевание или ушла из жизни еще до того, как мы секвенировали бы их геномы. По мере накопления данных список «неприкосновенных» генов будет уточняться. В него постепенно войдут многие гены, мутации в которых вызывают смертельный исход на эмбриональной стадии развития либо «ассоциированные с патологиями» – при наличии генов из этой категории организм имеет шансы на выживание.
Как только эта карта будет составлена, мы сможем задуматься, какие генетические пути можно изменить, чтобы облегчить болезни и помочь пациентам. Но если первая карта человеческого генома была реально финализирована только в 2021 г., то исследование геномов других организмов на самом деле только началось. Перед нами встают следующие масштабные вопросы: как наш геном поведет себя, когда мы окажемся на Марсе? какие еще детали генома нужно изменить, прежде чем мы отправимся туда? сможем ли мы выжить? и что мы сможем создать в дальнейшем?
Называть мусором материал, функция которого нам непонятна, на мой взгляд, поразительно близоруко. Надеюсь, со временем выражение «мусорная ДНК» будет заменено на «функционально не изученная» ДНК. Я предпочитаю считать геном загадочным, а не мусорным.
ДОКТОР ГРЕГОРИ ПЕТСКО,американский биохимик
В идеале к середине 2030-х или 2040-х гг. мы сумеем высадиться на Марсе и увидим, как люди акклиматизируются там и насколько хорошо работают наши планы по «купированию молекулярного риска». Оказавшись на Марсе, мы сможем протестировать варианты генной модификации на разных типах клеток и на разных организмах в самом широком диапазоне новоявленных контекстов. Как уже принято (по соображениям безопасности) при работе на Земле, большая часть исследований начинается на модельных организмах (животных), а потом переносится на людей. Можно, например, менять экспрессию генов, отвечающих за репарацию ДНК, биохимические пути опухолевых супрессоров либо биохимические пути, связанные с клеточным и оксидативным стрессом. Кроме того, наши представления о «нормальном» геноме будут меняться по мере того, как мы продолжим вносить в геном изменения путем выборочного добавления или удаления его фрагментов. Мы постепенно начнем понимать, в какой степени можно изменить клетку, чтобы она при этом не утратила своих «врожденных» функциональных свойств. Современные представления о нормальности придется пересматривать сразу со многих точек зрения – от того, каким должен быть геном человека, до того, как именно человек рождается. Также начнутся пилотные эксперименты с «генетической защитой» – и у нас уже есть данные из работы с двумя видами, демонстрирующие, что она действительно возможна.
Первый урок связан с причудливой генетической особенностью слонов. Очевидно, слоны значительно массивнее людей: у одной особи слона примерно квадриллион (1000 трлн) клеток против ~70 трлн у человека. Логично предположить, что у слона гораздо больше шансов на сбой на клеточном уровне и возникновение мутаций, вызывающих рак. Но, как ни удивительно, эта гипотеза не подтверждается. На самом деле риск заболеть раком у слонов в три-пять раз ниже, чем у человека. То же справедливо и для водоплавающих гигантов – китов. Данный тренд отмечают многие исследователи, в том числе Ричард Пето, специалист по статистической эпидемиологии из Оксфордского университета. Он наткнулся на этот парадокс еще в 1975 г. Сейчас это явление заслуженно называют «парадокс Пето». Он первым сравнил людей с мышами, отметив, что человек живет примерно в 30 раз дольше мыши (75 лет против 2,5 лет), а также имеет примерно в 1000 раз больше клеток. Теоретически у нас примерно в миллион раз выше риск заболеть раком, чем у мышей. В то же время у слона в 100 раз больше клеток, чем у человека, а раком он болеет реже. Почему так?
Дальнейшие исследования показали, что отчасти этот парадокс объяснялся тем, что у разных видов разный темп роста и деления клеток, а значит, и разный риск возникновения рака. Этот принцип работает даже в пределах вида и отдельного человеческого организма, где воспроизведение клеток разных типов идет с разной скоростью. Например, рак чаще возникает в клетках, для которых характерно активное деление. Это, в частности, гемопоэтические клетки, содержащиеся в костном мозге. Но потом были отмечены и другие особенности. Так, у слонов есть ключевая особенность в гене TP53. В этом гене особенно часто возникают мутации, приводящие к развитию рака, что лишний раз подчеркивает его важность. Часто его называют «стражем генома», поскольку он обнаруживает повреждения ДНК и затем запускает самоуничтожение клетки – так называемый процесс апоптоза. Естественно, этот ген важен как для людей, так и для слонов, но в двух статьях 2016 г. Джошуа Шиффман и Винсент Линч показали, почему у слонов этот ген особенный.
Как оказалось, у слонов в организме ген TP53 содержится не в одном, а в целых 20 экземплярах. Кроме того, слоны вырабатывают избыточный запас белка, кодируемого TP53 (он называется p53). Таким образом, слоновьи клетки более активно сканируют ДНК, отыскивая в ней повреждения. Действительно, как показали исследования, слоновьи клетки более чувствительны к нарушению структуры ДНК при облучении. Темпы апоптоза у них гораздо выше, чем в человеческих клетках. У человека аналогичный ген есть всего в двух экземплярах (как и большинство других генов – по одному экземпляру от матери и от отца), поэтому возникает очевидный вопрос: можно ли добавить в человеческие клетки дополнительные копии гена TP53 и тем самым повысить их устойчивость к раку? Пока считается, что да, хотя на практике этот процесс может оказаться сложнее, чем просто подсадить в клетку еще несколько экземпляров того же самого гена. Шиффман и Линч внедряли вариант слоновьего гена в мышиные клетки и наблюдали, что у этих клеток действительно меняется реакция на облучение: активизируется апоптоз, реализуемый каспазой-3 (фермент из класса протеаз, способных разрезать молекулы белков). Так удалось показать, что при наличии дополнительного гена отклик на радиацию усиливается.
Правда, баланс биохимических ингредиентов и дозировка при управлении уровнями экспрессии человеческих генов не менее важны, чем при приготовлении коктейлей в поздний час. Действительно, если судить по современным данным, при добавлении генов в человеческие клетки или изменении экспрессии генов в обычных клетках есть риск переборщить. Всякий раз, вмешиваясь в работу генома, необходимо соблюдать меру и гарантировать, что дозировка (активность) гена останется на приемлемом уровне.
Существуют и естественные механизмы, позволяющие тщательно поддерживать в человеческих клетках такую дозировку. Например, у женщин в ядре каждой из клеток – по два экземпляра хромосомы X, а у мужчин – всего по одному. Мужская хромосома Y не компенсирует эту разницу, поскольку в ней всего около 200 генов против более 1000 генов в X-хромосоме. Следовательно, если бы у обоих полов обе хромосомы проявляли бы примерно одинаковую активность, то две X-хромосомы у женщин работали бы «с избытком». Чтобы скорректировать эту разницу, вторая X-хромосома управляется при помощи «компенсации дозы». Благодаря такому регулирующему механизму большинство генов в X-хромосомах работают с пониженной активностью, чтобы их эффект был сравним по степени выраженности с активностью одной X-хромосомы у мужчин. Правда, нельзя просто взять и удалить одну хромосому целиком, чтобы уравнять «дозу» генетической активности, – это неверный подход к достижению баланса. В самом деле, если девочки рождаются с единственной X-хромосомой, то у них развивается болезнь, называемая синдром Шерешевского–Тернера. Таким образом, дозировка экспрессии генов – это строго контролируемый процесс.
Как показали дальнейшие исследования, в случае с геном TP53 неконтролируемо высокие уровни экспрессии ускоряют старение. Как в таком случае слонам удается доживать до почтенного возраста и при этом не болеть раком? Оказывается, не все копии гена TP53 у слонов идентичны: некоторые из них представляют собой ретрогены (разновидность псевдогенов). Некоторые подстраховывают более функциональные формы p53, позволяя белку p53, в сущности, тихонечко дожидаться, пока возникнет генетическая нестабильность, а до того не провоцировать чрезмерную реакцию. У голых землекопов, также отличающихся исключительной устойчивостью к раку, обнаружен свой уникальный механизм обработки p53, пока еще не вполне понятный. Но, вероятно, он похож на аналогичный механизм у слонов. Если изучать клетки одного вида в контексте эволюционной истории другого вида и усваивать эти «уроки генетики», то можно выработать методы, позволяющие защитить клетки человека и других живых существ от неизбежного вреда, который несет межпланетное путешествие.
Совершенно иная идея по разработке внутренней генетической защиты почерпнута из изучения тихоходок (Ramazzottius varieornatus), которых часто называют «водяными медведями», поскольку они живут в воде и немного напоминают микроскопических мишек. У тихоходок есть даже собственный аккаунт в «Твиттере» (@tardigradopedia). Они выживают практически везде, даже в открытом космосе, переносят жесткое излучение и обезвоживание (высушивание). Такие экстремофильные способности тихоходок известны с начала XX в. Считается, что их устойчивость к обезвоживанию и облучению имеет одни и те же механизмы, но до сих пор остается загадкой, как эти малютки обзавелись такими потрясающими способностями. Как только в 2015 г. был секвенирован геном тихоходок, сразу несколько исследовательских групп (в том числе японские команды под руководством Ацуси Тоёды и Такекадзу Куниэды, а также группа из Северокаролинского университета во главе с Бобом Голдштейном) принялись разбираться в их суперсилах.
Считается, что высокая устойчивость тихоходок к рентгеновскому и прочему облучению – это побочный эффект адаптации к сильному обезвоживанию. Дело в том, что при высыхании организма большинство биомолекул в нем может повредиться или разрушиться. Подобно тому, как сухая кожа порой трескается, шелушится и даже кровоточит, в высыхающих клетках повреждаются молекулы. ДНК, РНК, белки и прочие компоненты внутриклеточной среды из-за быстрого обезвоживания могут разрываться и надламываться, как под действием рентгеновского излучения.
Как же в таком случае тихоходки справляются одновременно и с иссушением, и с жестким излучением? Как узнать, какие гены в наибольшей степени за это отвечают? Логичнее всего проследить, какие гены активируются при обезвоживании, и сосредоточиться именно на них. Так сначала и стал действовать Куниэда с коллегами. Но изменения экспрессии генов при обезвоживании и последующей регидратации не были сколько-нибудь значительными. Таким образом, тихоходка способна входить в состояние обезвоживания и без серьезных корректировок в работе генов. Учитывая это, исследователи предположили, что более перспективны поиски гена, характеризующегося постоянной экспрессией, – такие гены еще называют генами домашнего хозяйства. Дело в том, что они активны в клетке всегда, так как нужны для «поддержания порядка», и работают подобно неутомимым горничным.
Именно в таком ракурсе удалось выявить уникальные гены тихоходок. В большинстве своем они отличаются постоянной активной экспрессией, непрерывно производят белки. Кроме того, они активны как на этапе зародышевого развития, так и у взрослой тихоходки. Но среди десятков уникальных белков, продуцируемых этими специфичными для тихоходок генами, нашелся всего один Dsup – белок подавления ущерба (его называют радиопротекторный), который компактно расположен рядом с ядерной ДНК. Такая локализация явно указывала, что он может тесно взаимодействовать с ДНК и даже, возможно, защищать ее.
Затем были запущены два эксперимента. Первый был призван показать, в самом ли деле Dsup может повышать резистентность к облучению, а второй – сохранится ли такая защитная функция в совершенно новой среде, т. е. в человеческой клетке. Для этого сначала требовалось создать человеческие клетки, содержащие белок Dsup, а затем подвергнуть культуру воздействию рентгеновских лучей. Такие лучи могут вносить хаос в геном двумя путями. Необходимо отметить, что энергия излучения может либо напрямую поглощаться ДНК (непосредственное воздействие) и таким образом повреждать молекулу с наследственной информацией, либо действовать опосредованно, провоцируя выделение активного кислорода из молекул воды. При помощи методов генной инженерии, о которых мы поговорим ниже, японским исследователям удалось создать клеточную линию HEK293, где ген Dsup экспрессируется под контролем «конститутивного CAG-промотора». Поэтому он должен сохранять активность в человеческих клетках и делать их по свойствам похожими на клетки тихоходок.
Затем приступили к облучению. Как и ожидалось, под воздействием перекиси водорода (H2O2) в контрольной группе клеток HEK293 большая часть ДНК (71 %) претерпела сильную фрагментацию. В противоположность этому в клетках, экспрессирующих ген Dsup, фрагментация ДНК была в значительной степени подавлена: только 18 % от общего объема ДНК оказалось повреждено. Следовательно, можно заключить, что белок Dsup защищает клеточную ДНК как от активного кислорода, так и от рентгеновского излучения. В качестве эксперимента по «спасению» исследователи также попытались предварительно обрабатывать облучаемые клетки антиоксидантом N-ацетил-L-цистеином (NAC), который, как ожидалось, существенно купирует вызываемые пероксидом однонитевые разрывы ДНК. Но суперсилы этих веществ можно сочетать: при одновременном применении NAC и Dsup патологические изменения подавлялись еще эффективнее. Количество разрывов сокращалось на 40 %. Человеческие клетки, экспрессирующие Dsup, не только значительно меньше страдали от жесткого излучения, но и демонстрировали повышенную живучесть и способность к пролиферации (росту) после облучения.
Это был первый результативный опыт, когда ген тихоходок, внедренный в человеческую клетку для радиационной защиты, не ингибировал рост и не нарушал ни морфологию, ни базовые функциональные свойства клетки. Однако это было внедрение одного гена в одну клеточную линию. Трудно сказать, что могло бы произойти с целым человеческим организмом. Конечно, можно извлечь потрясающие уроки из таких экспериментов и из знаний о геномах слонов и тихоходок, но что нас ждет, если на этом не останавливаться? Как одновременно работать с большим количеством генов? Можно ли усовершенствовать этот метод?
Работа, проведенная в моей лаборатории в Корнеллском университете, показала, что полученное ранее 40 %-ное снижение ущерба для ДНК можно довести до 80 % или даже до 85 %, улучшая интеграцию и регуляцию гена Dsup, а также модифицируя другие гены в геноме человека. Именно в этом суть работ, намеченных на 2021–2040 гг., когда все человеческие гены превратятся в поле для создания новых человеческих генов и формирования новых функций в клетках.
Но для начала разберем, как это сделать.
Если сравнить организм с миской бульона, то генетическое «преобразование» – это способ переноса ингредиентов бульона из одной миски в другую. Возможны разнообразные варианты генетической интеграции и трансформации, в том числе разные способы введения инородной ДНК в новую клетку. Есть методы, позволяющие выращивать ДНК в больших количествах при помощи бактериальных «пакующих клеток» и трансфекции, в основном касающиеся интеграции ДНК в эукариотические клетки. Некоторые из этих методов были разработаны в 1950-е и 1960-е гг., когда их применяли для переноса плазмид (небольших кольцевых молекул ДНК) от одних бактерий к другим (бактериальная трансфекция). Именно в то время были разработаны и первые протоколы клонирования для создания копий этих плазмид. Но, чтобы понять, как сконструировать клетку, сначала нужно научиться измерять то, что присутствует в ее геноме.
Новые методы появились в 1970-е и 1980-е гг., когда исследователи научились клонировать плазмиды и амплифицировать эти продукты при помощи полимеразной цепной реакции (ПЦР). Это химическая реакция, при которой экземпляры участка молекулы ДНК постоянно удваиваются в количестве. Если в качестве мишени взять конкретную генетическую последовательность, а на ее «головном» и «хвостовом» кончиках использовать праймеры для затравки реакции, то копирование можно начать с единственного фрагмента ДНК. В результате из одного фрагмента получается два, из двух – четыре, из четырех – восемь и далее 2n. Этот простой метод, за который Кэри Муллис был удостоен Нобелевской премии, предвосхитил современную эру молекулярной биологии.
Действительно, ПЦР стала топливом, положившим начало эре «чтения геномов», когда ученые со всего мира вдохновились идеей и принялись амплифицировать ДНК всего, чего только хотели. Благодаря этим технологиям в 1995 г. Крейг Вентер получил первый бактериальный геном (гемофильная палочка), затем в 1999 г. Джеральд Рубин получил геном мушки дрозофилы. Затем последовали другие геномы. Когда есть возможность секвенировать ДНК организмов, можно начинать рассматривать на самом низком уровне, что происходит при операциях трансфекции и манипуляциях с геномом.
Известно, что, полежав на пляже в солнечный денек, одни получают красивый загар, а другие обгорают. Точно так же одни бактериальные клетки поддаются «трансформации» гораздо легче, чем другие. Преобразовать некоторые клетки не составляет труда: они с готовностью поглощают ДНК из окружающей среды. С другими процесс идет сложнее. Так, Deinococcus radiodurans известен тем, что очень быстро инкорпорирует генетический материал и сразу использует его. Еще один вид бактерий, впитывающих ДНК как губка, – кишечная палочка E. coli, давно зарекомендовавшая себя как столп современной молекулярной биологии.
Однако большинству организмов не нравится вторжение чужеродной ДНК. На клеточном уровне такое событие можно сравнить с инцидентом: вы едете в метро – и вдруг незнакомец засовывает вам в рот сосиску. Например, у растений есть встроенная жесткая клеточная стенка из целлюлозы, препятствующая проникновению внутрь клетки чужой ДНК. У эукариотических клеток (в частности, человеческих) имеются активные ферменты, именуемые ДНКазами[6]. Также в клетках предусмотрены механизмы защиты от пришлой ДНК или РНК (РНКазы), хотя они и несовершенны. Эти ферменты и физические структуры являются частью постоянной защиты от вирусов, бактерий и других инородных организмов. Помогает им активная иммунная система, которая устроена по общему принципу и у людей, и у плодовых мушек.
Поскольку человеческие клетки не склонны принимать инородную ДНК, ее приходится вводить искусственно. Этот процесс называют трансфекцией. При его осуществлении берут инфекционный агент и переносят его из одного организма в другой так, чтобы организм-хозяин принял чужую ДНК. Это можно сделать при помощи инфекционного агента, способного проникнуть в клетку, воспользовавшись молекулами, уже находящимися на поверхности клетки, или физическим процессом, который открывает клеточную мембрану.
При работе как с трансфекцией, так и с трансформацией, существует множество способов подготовки системы к приему новой ДНК. Для трансфекции понадобятся очищенные клетки, которые нужно сделать более восприимчивыми. Для этого применяются такие методы, как соосаждение с фосфатом кальция, использование липосом, электропорация (электризация клеток, в них начинают проскакивать разряды, напоминающие франкенштейновские молнии), использование генных пушек (устройств, в буквальном смысле обстреливающих клетки генами) или микроинъекций. Процесс трансформации гораздо проще, так как большинство бактерий с готовностью поглощают ДНК. Таким образом, чтобы подготовить клетки, достаточно лишь электропорации или химической трансформации.
В клетках человека наблюдаются два механизма трансфекции. При временной трансфекции новые фрагменты ДНК легко входят в клетку и легко покидают ее обычно вместе с фенотипом (признаком), который переносится таким образом. Такой метод позволяет протестировать, каково влияние экспрессии «трансгена» в течение короткого времени. Подобные преходящие изменения могут быть идеальными для терапевтических вмешательств, когда требуется обеспечить экспрессию гена лишь ненадолго, пока не будут достигнуты цели лечения, а длительная экспрессия может создавать повышенный риск для пациента. При стабильной трансфекции клеток, как понятно из названия, чужеродная ДНК на постоянной основе закрепляется в геноме клетки-хозяина. Если нужно проследить, как в длительной перспективе изменяются регуляторные процессы в клетке либо как фрагмент чужеродной ДНК влияет на развитие организма в течение всей жизни, то лучше всего воспользоваться стабильной трансфекцией. При этом генетическая «полезная нагрузка» входит в состав генома хозяина и передается потомкам, как и все прочие гены родителя. Такой подход позволяет впоследствии добавить в геном множество других элементов, чтобы оценить, как достраивание влияет на общий функционал клетки.
Однако при создании стабильно трансфицированной клеточной линии механизм внедрения чужеродной ДНК может быть сопряжен с разрушительным воздействием вируса. Для таких целей часто применяется лентивирусная инфекция или аденоассоциированный вирус. В обоих случаях требуется вирус, который заражает клетки, протаскивает в ядро свой генетический материал, а затем интегрируется в геном хозяина. Это как если бы в нетронутом лесу пустило корни нетипичное для него дерево. Однако вирус может учинить в клетке хаос, если встроится в область ДНК, расположенную вблизи от жизненно важных генов, например опухолевых супрессоров. Далее вирус еще сильнее разрушит регуляторные механизмы хозяина. Продолжая аналогию, представим, что чужеродное дерево выросло на пути небольшого ручейка и мешает ему течь. Более того, вирус может встроиться не в один, а сразу в несколько участков генома хозяина – причем эти участки будут разными в каждой генно-модифицированной клетке. Непредсказуемость таких событий может провоцировать дополнительные проблемы при «дозировке», где эффект внедренных генов является накопительным. Таким образом, стабильная трансфекция дает долгосрочные результаты и стабильный фенотип, но повышает вероятность того, что в процессе инженерии все пойдет вразнос.
Более того, не все человеческие клетки одинаковы, о чем явно свидетельствуют разные ткани в нашем организме. Это связано с изменением эпигенетической регуляции (действующей «поверх» генома). Все клетки запрограммированы на дифференциацию, поскольку человек, как многоклеточная особь, развивается из одной-единственной клетки. Эпигенетическая регуляция – это процесс, определяющий, какие из 3,1 млрд оснований, входящих в состав генома человека, являются «открытыми». Гены в каждой из человеческих клеток активируются и используются в зависимости от того, подготовлены ли они к работе. За это отвечает хроматин, белково-нуклеотидная структура, в которую «упакована» ДНК. Если хроматин открыт, то именно через эту брешь вирус может «проскочить» в клетку и встроиться в нее.
Хотя это звучит жутковато, данный процесс чрезвычайно распространен и в эволюции человека, и в жизни каждого из нас. За красноречивыми доказательствами встраивания вирусов в человеческую ДНК не надо далеко ходить – они найдутся в ваших же клетках. Если представить, что геном – 100-страничная книга с жизненно важными инструкциями, то 8 % ее записано на языке вирусов. В нашем геноме встречаются разнообразные эндогенные вирусные ДНК, что также характерно для геномов растений и животных. Транспозоны – это так называемые прыгающие гены, которые могут «копировать и вставлять» фрагменты ДНК в пределах одного и того же генома. Хотя транспозоны были открыты Барбарой Макклинток, пытавшейся объяснить пеструю окраску зерен кукурузы (впоследствии эта работа привела ее к Нобелевской премии), работа доктора Алекса Кентсиса и нашей группы также показала, что аберрантные транспозоны могут вызывать рак. Ретротранспозоны, подобно транспозонам, также перемещаются по принципу «копирования и вставки», но в качестве подложки для самокопирования и перепрыгивания они используют РНК, а не ДНК. Аналогично эндогенные ретровирусы человека – это вирусы в геноме человека, способные активироваться, превращаться из РНК в ДНК, а затем вновь интегрироваться в геном. Широко известный вирус, также встраивающийся в геном человека, – ВИЧ, но его можно считать лишь верхушкой айсберга, именуемого «генетическая маркировка».
Кроме ВИЧ есть и другие вирусы, способные встраиваться в геном и обживаться там, подобно плохому квартиранту, который устраивает в комнате беспорядок, ест ваши продукты и не платит за коммунальные услуги. Один из таких нахлебников – вирус папилломы человека (ВПЧ), некоторые штаммы которого вызывают > 60 % случаев рака шейки матки. Эти вирусы встраиваются в геном хозяина и нарушают экспрессию генов. Также в геном интегрируется вирус герпеса, способный надолго обосноваться в клетках. Поэтому и возникла поговорка «Любовь мимолетна, герпес вечен». Эти вирусы реплицируются в ядре, а есть и другие – они реплицируются в цитоплазме (таковы, например, вирус Зика, лихорадки Западного Нила, вирус гепатита C), но в геном не встраиваются.
Не только люди непрерывно борются с вирусами. Например, у свиней есть собственные эндогенные ретровирусы, именуемые PERV, которые стали одной из серьезнейших проблем в синтетической биологии. Компания Editas Medicine занимается генно-инженерным проектом, призванным выделить PERV из свиного генома. В результате может появиться возможность выращивать человеческие органы в организме свиньи, а затем пересаживать их людям. Если не выключить гены PERV до пересадки, то орган будет отторгнут нашей иммунной системой (подробнее об этом в главе 5).
Но вирусы могут обосноваться в человеческих клетках, даже не встраиваясь напрямую в геном. Например, большинство людей успевают переболеть ветрянкой в детстве и приобрести от нее иммунитет. Однако вирус ветрянки, подобно многим другим скрытым инфекционным агентам, может «по собственному усмотрению» остаться в человеческой клетке. Вирус не удаляется из организма, а прячется внутри нейронов в различных частях тела и может активироваться позже в виде опоясывающего лишая. Это расстройство возникает при ослаблении иммунитета и/или реактивации вируса, проявляясь в виде болезненных опоясывающих раздражений, как правило у пожилых людей.
Наконец, некоторые виды рака даже бывают заразными, как грипп. Вспомните, например, как странно выглядят тасманийские дьяволы: будто твари из ночного кошмара, порожденные в результате скрещивания бешеной собаки с летучей мышью. Действительно, при спаривании они часто кусают друг друга. Даже во время ухаживания они рычат и покусывают друг друга (не обижайтесь, если вам такое тоже нравится). Именно в результате укусов тасманийские дьяволы заражаются вызывающими рак вирусами, и это происходит десятилетиями. По имеющимся оценкам, всего одна клонированная линия инфицированных вирусом опухолевых клеток циркулирует в природе не менее 100 лет и вызывает появление злокачественных опухолей на морде тасманийских дьяволов.
В таком контексте идея использовать вирусы в качестве генетического транспортного средства может показаться жуткой, но следует признать, что в биологии такое встречается повсеместно. К счастью, понимание этих методов и разработанный профиль безопасности со времен их зарождения позволили радикально их улучшить. В настоящее время они применяются в разных сферах терапии, и, похоже, такая тенденция сохранится до 2040 г., в то время как методы доставки генетической полезной нагрузки, редактирования и мониторинга генов продолжат развитие. Пройдет время, и риски, связанные с генной инженерией, будут полностью устранены, и мы уже знаем, как это можно сделать.
С тех пор как в 1970-е гг. появились первые технологии рекомбинации ДНК, непредсказуемые последствия внедрения новой ДНК в геном организма вызывали сомнения в безопасности и применимости этих методов в клинической практике. Правда, в итоге достоинства новой технологии оказались слишком заманчивыми, поскольку она обещала открыть дорогу к замене поврежденного гена нормально работающей копией. Как только модификация ДНК стала легко осуществимой, вопрос уже состоял не в том, следует ли использовать генную терапию, а в том, как ее применять.
Один из первых больших успехов в генной терапии пришел в 1990 г., когда удалось помочь Ашанти Десилве, юной пациентке с синдромом тяжелого комбинированного иммунодефицита (SCID). Это очень серьезное заболевание, из-за которого у девочки не развивался приобретенный иммунитет и организм не мог бороться с бактериями и другими патогенами. Чтобы вылечить Ашанти, врачи и ученые взяли у нее костный мозг, выделили белые кровяные тельца (лейкоциты) и с помощью ретровируса внедрили в них нормально функционирующий ген. Затем эти лейкоциты ввели девочке, и иммунная система Ашанти заработала. В пять лет она впервые с рождения смогла без опаски выходить из дома.
Французские ученые провели в 2000 г. похожий эксперимент по лечению SCID с участием 10 детей. Они использовали гемопоэтические стволовые клетки из костного мозга пациентов, чтобы создать функциональные лейкоциты, позволяющие бороться с инфекциями. Лечение оказалось эффективным, и SCID вроде бы отступил. Но к 2007 г. у четверых детей из этой группы развился лейкоз, один из них умер. Здесь опять же всему виной была случайность процесса интеграции ретровируса в геном. Как минимум у одного из детей вирус встроился в ДНК рядом с онкогеном, провоцирующим лейкемию и другие виды рака. И это не единственные предостережения.
Самый известный провал в генной терапии – случай Джесси Гелсингера, которому при помощи аденовирусного вектора пытались вылечить синдром дефицита орнитинтранскарбамилазы. При этом заболевании в крови накапливается аммиак до смертельно опасных концентраций. Джесси был относительно здоров, и ему удавалось держать синдром под контролем с помощью строгого соблюдения диеты, позволяющей сохранять низкий уровень аммиака в крови. Хотя Джесси и был уже 18-м пациентом, получавшим такое лечение в рамках клинического испытания, у него быстро появились похожие на грипп симптомы, недомогание и признаки желтухи. У парня развилась интенсивная и болезненная воспалительная реакция, за которой последовала почечная, печеночная и легочная недостаточности. Джесси пришлось ввести в искусственную кому, но это не помогло, и через четыре дня после начала терапии он умер.
Смерть Джесси в 1999 г. вызвала страх перед генной инженерией и генной терапией. Потребовалось исчерпывающим образом исследовать все возможные причины его смерти. Как выяснилось, еще у двух пациентов, участвовавших в этом клиническом исследовании, наблюдались побочные эффекты, а ученые своевременно не проинформировали об этом соответствующие органы и не приостановили исследование, как того требовали правила. Кроме того, из анализа крови Джесси, сделанного перед началом генной терапии, следовало, что у него плохо работает печень, т. е. он не очень подходил для участия в исследовании. По данным Управления по контролю качества пищевых продуктов и лекарственных средств США (FDA) и Национальных институтов здравоохранения, за семь лет, предшествовавших смерти Джесси, более 690 добровольцев, участвовавших в экспериментах по генной терапии, либо умерли, либо заболели. Лишь о 39 таких инцидентах поступили своевременные сообщения.
Джеймс Уилсон, в ту пору возглавлявший Институт генной терапии человека при Пенсильванском университете и непосредственно руководивший экспериментом, в ходе которого умер Гелсингер, делал все возможное, чтобы разобраться в произошедшем. Он пытался найти другие методы безопасного проведения генной терапии и обнаружил несколько подходящих аденовирусов и аденоассоциированных вирусов. Но FDA обвинило Уилсона в ряде нарушений в проведении клинических исследований, и в 2005 г. он согласился на пять лет ограничить опыты на людях, а университет выплатил правительству компенсацию в размере $514 000. В итоге Институт генной терапии человека закрыли.
Изрядно напугавшая всех смерть Гелсингера и последовавшие за ней изменения в регулировании таких опытов привели в 2000–2001 гг. к сокращению новых клинических исследований, касающихся генной инженерии. В начале 2000-х гг. даже упоминание о работе в области генной терапии в некоторых научных кругах считалось неуместным. Но перспективы использования генной терапии были слишком заманчивы, чтобы от них отказываться. Область изобиловала идеями и концепциями по улучшению методов лечения, доставки и упаковки генетического материала.
Ученые и врачи-клиницисты не могли не задаваться вопросами, можно ли сделать такие терапевтические методы безопаснее? Могут ли генетические методы лечения на практике действовать так, как мы рассчитываем? Публиковались новые исследования по генной терапии животных, появлялись инновационные идеи генной инженерии, опробовались пути повышения безопасности. Продвигались даже когортные исследования с участием людей.
Пока в СМИ смерть Гелсингера по-прежнему преподносилась как вызов, брошенный всей области терапевтического редактирования генов, страх перед такими опытами не мешал начинать все новые исследования. Фактически только в 2000–2001 гг. было инициировано почти 200 новых генно-инженерных клинических исследований. Страшные газетные заголовки начала 2000-х не отражали клиническую реальность, так как на практике количество клинических исследований с применением генно-инженерных методов только росло. Особенно это касалось онкологии. С конца 1990-х и до 2020-х гг. тренды явно шли вверх.
Смысл этих работ был (и остается) совершенно ясен: нам необходимы более точные методы для осуществления подобного генетического редактирования. Произвольное введение новой генетической нагрузки всегда считалось рискованным. Требовались новые подходы к редактированию и модификации генома, и такие методы вскоре появились.
Со времен первых экспериментов с генной терапией произошли по-настоящему революционные изменения. В настоящее время существует множество методов точного редактирования конкретных генов. Они пришли на смену более ранним подходам, неизменно зависевшим от полуслучайного добавления генетического материала аденовирусов и аденоассоциированных вирусов – именно такая зависимость и вызвала проблемы в случае Гелсингера. Кроме того, появились более совершенные способы контроля качества таких методов, позволяющие проверять безопасность и эффективность генно-инженерных конструкций перед их терапевтическим применением даже в случае использования случайной интеграции.
Первые инструменты для редактирования генома появились в конце 1980-х гг. и представляли собой ферменты, называемые мегануклеазами. Они входят в более широкое семейство ферментов, именуемых эндонуклеазами. Как следует из названия («эндо» – внутри, «нукле» – ядро, «аза» – фермент), эти ферменты могут распознавать и вырезать фрагменты ДНК. Первым шагом в редактировании генома является разрыв ДНК (двухнитевый разрыв) в интересующей нас точке. Далее на место разрыва можно вставить новую последовательность и произвести репарацию ДНК, так сказать подлатать ее. После этого пусть клетки развиваются своим чередом. Это сродни перелому собственных ног, чтобы стать выше. Двухнитевые разрывы ДНК делаются в строго определенных местах (сайтах), длина которых может варьировать от 14 до 40 нуклеотидов, т. е. они очень специфичны и локализуются в конкретных областях генома. Однако мегануклеаза существует на для каждой известной последовательности ДНК, и это сильно ограничивает ее терапевтический потенциал.
Следовательно, требовались новые, более масштабируемые методы. С 1980-х гг. появились три таких генно-инженерных инструмента. Во-первых, это нуклеазы цинковых пальцев[7] (ZFN), во-вторых, транскрипционные активатор-подобные эффекторные нуклеазы (TALE-нуклеазы, TALEN), в-третьих, короткие палиндромные повторы, регулярно расположенные группами (CRISPR). Первые клинические исследования, в которых использовались такие генно-инженерные инструменты, появились в 2008 г., и с тех пор их количество и разнообразие непрерывно растет. С 2015 г. в этой области наблюдается такой серьезный прогресс, что сегодня эти методы вошли в стандартную программу школ и колледжей.
Искусственные нуклеазы с доменами цинковых пальцев. При исследованиях, касающихся ZFN, активно используются знания, полученные в ходе изучения факторов транскрипции (TF) с «цинковыми пальцами». TF – это ведущие регуляторы экспрессии генов, постоянно сканирующие геном, чтобы определить, какие гены следует включить, а какие выключить. Если сравнить ваши гены с кухонной техникой (холодильник, тостер, плита, кофемолка), то факторы транскрипции можно сравнить с руками, нажимающими кнопки «вкл.» и «выкл.». Поскольку эти ферменты сотни миллионов лет натаскивались на чтение конкретных последовательностей ДНК (их называют мотивами), они умело управляют клеточными функциями, когда находят узнаваемый мотив. Поэтому ZFN-ферменты стали очевидными кандидатами на роль инструментов для ювелирного нацеливания на последовательности ДНК.
Но даже у транскрипционных факторов есть собственные регулирующие рычаги и переключатели. Например, «заграбастав» ион цинка, транскрипционный фактор ZFN становится более стабильным, и именно это помогает ему распознавать заданный мотив и взаимодействовать с ДНК. Следовательно, если сравнить геном с патологией с открытой страницей текста, на которой вы хотите применить команду «найти и заменить», то транскрипционный фактор выполняет именно функцию «найти», а ион цинка подобен клавише «ввод». Все, что в данном случае требуется сделать, – сочленить его с другим ферментом, который сыграет роль функции «заменить».
Нуклеазы с доменами цинковых пальцев выполняют функцию «найти и заменить», сшивая фрагменты двух белков (получается так называемый гибридный белок). Большинство белков – крупные молекулы со сложной трехмерной структурой, в которой выделяется множество областей (доменов). Отдельные подсекции в этих 3D-структурах можно сшивать друг с другом, и ZFN в данном случае не исключение. Следовательно, ту часть нуклеазы, которая режет ДНК (например, мегануклеаза), можно связывать с фрагментами белка, распознающими строго конкретные сайты (то же касается мотивов транскрипционных факторов ZFN). Это позволяет разрезать геном в строго конкретных сайтах.
Правда, отдельный мотив транскрипционного фактора очень короток (состоит из всего трех-четырех пар оснований) и поэтому не слишком специфичен. Если в геноме лишь четыре основания, то множество мишеней, которые можно сгенерировать на основе трех или четырех оснований, включает всего 43 (n = 64) или 44 (n = 256) комбинаций, что слишком мало для выстраивания мишеней многих типов. Чтобы преодолеть эту преграду, исследователи из лаборатории Джордано в 2002 г. использовали от семи до восьми таких сайтов распознавания цинковых пальцев. Их собирали в единую конструкцию так, чтобы ZFN позволяли одновременно нацеливаться на 20–24 основания. Таким образом команда научилась нацеливаться на гены, отвечающие за ангиогенез в онкологической мышиной модели. Это был один из первых примеров, на которых удалось продемонстрировать специфичность и силу ZFN. В 2008 г. аналогичным методом исследователи смогли нацелиться на клетки глиобластомы (in vitro) и повысить их восприимчивость к обработке глюкокортикоидами. Но это не единственный способ редактирования генома.
TALE-нуклеазы. TALE-нуклеазы (TALEN) похожи на ZFN тем, что имеют тот же домен нуклеазы, который отвечает за разрезание ДНК. Но сила TALE-нуклеаз заключается в распознавании нужных сайтов по «маячкам», а не по факторам транскрипции, как в случае с ZFN. Их домен для распознавания сайтов ДНК гораздо длиннее и включает 34 аминокислоты, для которых характерна высокая консервативность. TALE-белки секретируются бактериями Xanthomonas (фитопатогенами) и служат для перепрограммирования растения-хозяина. Перепрограммирование происходит так: белок связывается с промоторными последовательностями растения-хозяина и управляет активацией различных генов этого растения, помогающих Xanthomonas в процессе инфицирования.
Поскольку «область распознавания» у TALEN длиннее, чем у ZFN, в начале 2010-х гг. первые быстро стали предпочтительным методом редактирования генома. У TALEN достаточно длинные сайты связывания (> 30 пар оснований), они отличаются высокой специфичностью и, работая с ними, ниже шанс «промазать» при разрезании молекулы. Это важно, например, чтобы не повредить тот сайт, который мы редактировать не собирались (допустим, онкоген). Кроме того, последовательности TALEN отличаются регулярностью, и поэтому их проще конструировать. В совокупности эти свойства привели к тому, что TALEN стали считать наиболее точным инструментом редактирования генов и поиска наиболее подходящего сайта, через который удобно бороться с болезнью. Так было до появления CRISPR.
CRISPR. Технология CRISPR напоминает как TALEN, так и ZFN в том, что в данном случае также имеется молекула, которой мы пользуемся в качестве ориентира при движении по геному. С ее помощью мы находим интересующий сайт, разрезаем ДНК и вносим в цепочку ДНК заданные изменения. Однако революционная особенность CRISPR – легкость редактирования генома при помощи этой технологии. При работе с CRISPR используется гидовая РНК (гРНК), буквально подводящая молекулярный механизм к нужной точке. Поэтому разрез ДНК выполняется прицельно. Здесь важно отметить, что в качестве «сканирующего элемента» данной технологии служит последовательность РНК, а не белковый мотив. Таким образом, можно легко и непосредственно синтезировать молекулу, нужную для нацеливания на конкретные области генома, как только станет известна искомая последовательность. С учетом сложности преобразования последовательности нуклеотидов в соответствующие им аминокислотные последовательности гораздо проще синтезировать совершенно новые мишени при помощи РНК, чем синтезировать новые белки с высокоспецифичными мотивами.
История CRISPR, а также связанных с ней инструментов, методов и базовых механизмов помогает увидеть и понять, насколько быстро случайная находка может привести к революции в медицине. Технология CRISPR, опирающаяся на накопленные за многие десятилетия инновации и разработки, теперь стала неотъемлемой частью молекулярной биологии и клинической практики. Стремительное развитие биологических методов редактирования и конструирования геномов в ближайшие 500 лет будет только ускоряться. Кроме того, нас ждет плодотворное взаимодействие сравнительной геномики, тщательно подготовленных механистических экспериментов и простых, но глубоких биологических наблюдений. Краткий обзор истории разработки CRISPR, по сути, является предварительным просмотром того, что мы можем обнаружить при исследовании других планет.
Как часто случается в науке, технология CRISPR была открыта случайно. Этот метод был найден в 1987 г. японскими исследователями (в том числе Ёсидзуми Исино). Они изучали один из генов клонированного ими фермента, этот ген называется iap. Клонируя ДНК, ученые заметили необычные повторы в полученной молекуле. Повторы – частое явление в генетике, они встречаются либо в последовательных сегментах, либо в тандемах, но эти оказались очень необычными.
В первый момент было непонятно, что означают эти повторы, но новые факты не заставили себя ждать. В 1993 г. нидерландский ученый Ян ван Эмбден и его коллеги исследовали палочку Коха (Mycobacterium tuberculosis), возбудителя туберкулеза. Они также заметили у этой бактерии одну странность. В ее геноме наблюдались кластеры повторяющихся последовательностей, которые были названы прерывистыми прямыми повторами. Оказалось, что у разных штаммов туберкулеза эти последовательности неодинаковы. Поначалу такое явление удивило команду ван Эмбдена, но затем ученые выяснили, что расхождение повторов специфично для каждого штамма. Это открывало возможность получать праймеры, обеспечивающие ювелирное нацеливание на конкретный штамм M. tuberculosis, например на более вирулентный, а не на сравнительно безвредный. Олигонуклеотиды (праймеры) для каждого вида бактерий позволяли быстро генотипировать все найденные штаммы. Соответствующий процесс называют сполиготипированием и используют по сей день. По мере того как в 1990-х гг. накапливались все данные по секвенированию геномов, стало возможно проследить подобные тенденции и у других микроорганизмов. Сегодня бактерии, археи и прочие организмы, поддающиеся анализу, изучают методом автоматического секвенирования по Сэнгеру. Этот метод дал массу данных для открытий, в том числе для выявления всего необычного.
Такое изобилие доступных данных о секвенировании ДНК привело к рождению таких научных дисциплин, как биоинформатика и сравнительная геномика, которые сочетают компьютерное моделирование, информационный анализ, анализ последовательностей и программирование с биологией. Одним из первых ученых-биоинформатиков был Франсиско Мохика, на тот момент – аспирант Университета Аликанте в Испании. В тех местах есть солончаки, где обитают удивительные микроорганизмы, выживающие в условиях крайней солености. В сущности, они не менее странные, чем инопланетные формы жизни. Например, Haloferax mediterranei – архейный организм, выдерживающий экстремальную соленость. Этих архей нашли в болотах Санта-Пола в Испании, именно их и изучал Мохика. Его научный руководитель заметил, что от концентрации соли в питательной среде зависит эффективность работы рестриктаз в геноме архей и поручил Мохике выяснить, почему так происходит.
Мохика, получив готовые данные секвенирования, также заметил странные повторы в генах рестриктаз H. mediterranei. Он наблюдал множество включений одной и той же последовательности из 30 оснований, читавшейся как палиндром (т. е. одинаково в обоих направлениях). Между этими палиндромами находились «спейсеры» (уникальные некодирующие участки ДНК между повторяющимися генами) примерно по 36 оснований в каждом. Ничего подобного Мохика ранее не видел. Результаты данного исследования он опубликовал в 1993 г. со ссылкой на работу 1987 г., проделанную группой Исино. Но природа повторов по-прежнему оставалась загадкой, и Мохика принялся анализировать новые и новые последовательности, чтобы разгадать ее.
В 1999 г. Мохика возглавил в Университете Аликанте собственную лабораторию и первым делом взялся просматривать обширные базы данных по археям в поисках повторяющихся паттернов в основном в видах Haloferax и Haloarcula. Однако он заметил регулярное проявление таких же паттернов у других видов. Это привело к всестороннему анализу новых видов по мере их появления в литературе, и к 2000 г. Мохика нашел повторяющиеся элементы в геномах 20 видов микроорганизмов. Это говорило о наличии весомой эволюционной причины для сохранения подобных повторов в ДНК организмов по всему миру. Кроме того, в 2000 г. Мохика заметил, что транскрипция прерывистых повторов (их преобразование в РНК) также происходит в клетках. Это означало, что такие повторы активируются в клетках, а не просто присутствуют в ДНК.
В 2001 г. Мохика и Рууд Янсен, также занимавшийся поиском прерывистых повторов, предложили аббревиатуру CRISPR[8] для объединения множества названий, появившихся в литературе. Это название прижилось и было быстро принято другими исследователями. Еще одной особенностью CRISPR-элементов было то, что у прокариот повторяющемуся кластеру практически всегда сопутствовала группа уникальных генов, именуемая CRISPR-ассоциированной системой, сокращенно Cas. Работа, проделанная Янсеном и Мохикой, позволила выявить и описать первые четыре Cas-гена (Cas 1–4). Затем их исследовали на уровне белков и обнаружили мотивы хеликазы и нуклеазы. Это означало, что потенциально такие ферменты могут не только разрезать, но и разматывать ДНК. Правда, если не брать в расчет эти первые гипотезы, функция CRISPR оставалась загадкой. Не было понятно, зачем именно требуются повторы.
В одном из наиболее ярких примеров того, на что способны вычислительная биология и биоинформатика, именно компьютерный алгоритм и упорный труд принесли ключевую подсказку. Почти все лето 2003 г. Мохика работал с программой BLAST (Basic Local Alignment Search Tool, помогает искать сходные аминокислотные и нуклеотидные последовательности), сравнивая наблюдаемые повторы CRISPR с другими известными последовательностями. Хотя он проделывал до этого такие операции десятки раз, повторять такой процесс стоило как можно чаще, поскольку базы данных ДНК постоянно обновляются и расширяются. Мохике повезло: он обнаружил спейсер, в точности совпадавший с фагом (вирусом, инфицирующим бактерию) P1, который может заражать кишечную палочку (E. coli). Это открытие сразу же позволило соотнести имеющуюся у бактерий адаптивную генетическую систему (массив CRISPR) с точными генетическими последовательностями у вирусов-фагов и, следовательно, открыть у бактерий новый защитный механизм. Оказалось, что у всех бактерий и архей, которые изучал Мохика, CRISPR служила в качестве первобытной иммунной системы, запоминающей вирусы, которые заражали эти микроорганизмы[9].
Эти результаты были вскоре подтверждены другими исследователями, оперировавшими иными базами данных, включая команду из Министерства обороны Франции (в том числе Жиля Верньо) и группу Александра Болотина, российского микробиолога из Французского национального института исследований в области сельского хозяйства. Дополнительная работа по оценке Yersinia pestis (чумной палочки) и других бактерий подтвердила такое соотношение между фагами и их жертвами, а также адаптивную природу всей системы. К 2003 г. сформировалась фактически совершенно новая научная дисциплина – CRISPR-исследования. В будущем такой метод сравнительного секвенирования, который помог при изучении функций CRISPR, пригодится для исследования инопланетных организмов, их биологии и адаптаций.
Довольно скоро исследовательские группы во всем мире стали раскрывать потенциал CRISPR. Первые экспериментальные доказательства (а не просто сравнения последовательностей и выводы), подтвердившие, что CRISPR являются «бактериальной иммунной системой», появились в 2006 г. благодаря Родольфу Барранжу. Затем в 2008 г. Лучано Марраффини из Чикагского университета и Эрик Зонтхаймер из Северо-Западного университета провели первые эксперименты по перепрограммированию CRISPR. Оба они работали над определением точной мишени системы CRISPR (например, РНК и ДНК) и поиском способов создания ее с нуля.
Однако на тот момент еще не было ясно, как именно этот механизм работает внутри клетки. С 2007 по 2008 г. два исследователя (Муано и Даниско) занимались изучением бактерий, у которых CRISPR не работала в полную силу и которые могли быть защищены от атаки плазмид лишь частично. Они подтвердили, что разрезание плазмид зависит от Cas-фермента (в данном случае нуклеазы Cas9). Но и здесь ученые секвенировали продукты реакций и рассматривали последовательности, стремясь выявить причину этой зависимости. Исследовав данные, они обнаружили рядом с местом разреза в плазмиде набор из трех оснований, который назвали «мотив, смежный с протоспейсером[10]» (PAM). Исследователи показали, что вирусная ДНК также разрезается в определенном месте относительно PAM, т. е. PAM отчасти служит «маячком» для бактерий, которые разрезают чужеродную ДНК в определенных местах. Еще более впечатляющим был тот факт, что чем больше спейсеров у бактерии комплиментарны участкам ДНК плазмиды, тем больше разрезов делают в ней Cas-белки. Это была прицельная, дозированная система.
Вторая ключевая механистическая часть этих исследований принадлежит Джону ван дер Осту и Евгению Кунину, которые выяснили, что можно переносить целую CRISPR-систему из одной бактерии в другую, фактически «перезагружая» функцию и перепрограммируя ее. Они обнаружили различные виды CRISPR-систем у разных бактерий (класс 1 и класс 2), которые, как было отмечено, имели разные наборы Cas-ферментов. Но у всех них присутствовал определенный набор ферментов, который обеспечивал процессинг зрелых функциональных CRISPR-РНК (crРНК) из пре-crРНК и разрезание чужеродных ДНК-молекул, работая по одной схеме, названной Cascade. Ван дер Ост и Кунин обратили внимание на то, что в зрелой crРНК за восемью последними основаниями в повторе следует спейсер, а затем начинается следующий повтор. Таким образом, crРНК свертывается в функциональную структуру в виде шпильки, которая обеспечивает точное нацеливание и последующий разрез. В рамках спроектированного таким образом эксперимента они синтезировали первый в истории искусственный массив CRISPR. Фактически это настраиваемая вакцина, которую можно собрать для любой бактерии.
Два других исследователя (Марраффини и Зонтхаймер) планировали воссоздать всю систему CRISPR in vitro, но оказалось, что с выбранной ими бактерией (S. epidermidis) это слишком сложно, поскольку у нее девять Cas-генов и для ее описания требовалось много времени. Поэтому Марраффини и Зонтхаймер поступили иначе: модифицировали ту плазмиду, на которую нацеливается CRISPR-система S. epidermidis. Они добавили в нее «самосплайсинговый» элемент[11], который никак не влиял на работу CRISPR, будь та нацелена на чужеродные РНК, если CRISPR-система S. epidermidis использовала в качестве субстрата РНК. Однако если бы мишенью для CRISPR была ДНК, то иммунная система бактерии не сработала бы, поскольку в таком случае после вставки дополнительной последовательности спейсер CRISPR уже не подходил бы к протоспейсеру. Результаты показали, что CRISPR направлена на ДНК, а не на РНК и фактически является «программируемым ферментом-рестриктазой». Марраффини и Зонтхаймер первыми объявили, что CRISPR можно переориентировать на редактирование генома в других клетках, в том числе в человеческих. В своей статье они отметили: «С практической точки зрения способность направлять специфическую адресную деструкцию молекулы ДНК, содержащей любую заданную последовательность–мишень, состоящую из 24–48 нуклеотидов, могла бы иметь значительную функциональную пользу, в особенности если такая система могла бы работать вне своей исходной бактериальной или архейной клетки».
Последний элемент этой мозаики отыскали в 2011 г. Эмманюэль Шарпентье и Йорг Фогель. Шарпентье искала бактериальные РНК, которые обладали бы нужной функцией, и на одной конференции в Висконсине повстречала Фогеля. Незадолго до того он освоил высокопроизводительное секвенирование (секвенирование следующего поколения, NGS). Этот метод помог ему лучше изучить РНК Helicobacter pylori, бактерии, которая может вызывать язву желудка. Такое секвенирование «методом дробовика» действительно соответствует своему названию. При таком подходе РНК или ДНК разрываются на фрагменты, которые затем секвенируются. Секвенированные фрагменты можно сопоставлять с последовательностями ДНК из генома хозяина, зафиксированными в базах данных. Аналогичную работу Мохика проделывал при помощи алгоритма BLAST, работая в Испании летом 2003 г. Консорциум MetaSUB исследует таким образом ДНК бактерий, обитающих в метрополитене, мы в лаборатории Мейсона также ежедневно пользуемся этим методом.
Когда Шарпентье и Фогель изучили РНК бактерии, интересовавшей Шарпентье (Streptococcus pyogenes она изучала уже много лет), они заметили нечто очень странное. У этой бактерии в изобилии встречаются очень маленькие цепочки РНК (менее 100 нуклеотидов в длину), в точности совпадающие с последовательностями CRISPR, и по частоте встречаемости в клетке ДНК именно такого типа была на третьем месте. Более многочисленными у этой бактерии оказались лишь те РНК, которые заняты синтезом белков (рибосомные РНК, рРНК), и те, что опосредуют передачу информации при синтезе белков (транспортные РНК, тРНК). Это был просто шок: как настолько многочисленная единица до сих пор могла оставаться незамеченной? Все дело заключалось в ее миниатюрности и в том, что к 2011 г. стало гораздо проще секвенировать такую молекулу. Шарпентье и Фогель назвали ее «трансактивирующая CRISPR-РНК» (tracrРНК). Они доказали, что такая tracrРНК – ключевой элемент, обеспечивающий функционирование системы CRISPR. Так сложилось представление об устройстве этого «маячка».
Благодаря трудам Дженнифер Дудны и Виргиниюса Шикшниса CRISPR превратился из любопытной особенности бактериального иммунитета в революционный инструмент. Шарпентье и Дудна познакомились в 2011 г. и начали совместно разрабатывать более простую систему генетического редактирования. Они продемонстрировали in vitro в полностью искусственной системе, что, во-первых, мультибелковая система Cascade может разрезать ДНК, во-вторых, можно использовать специально подготовленные crРНК и, в-третьих, для нормальной работы Cas9 требуется как crРНК, так и tracrРНК. Но главное, ученые показали, что эти механизмы работают, даже если объединены в направляющей молекуле РНК (sgRNA), которая комплементарна целевому участку. Таким образом, геном можно трактовать как документ, подлежащий редактированию, а эволюция приобрела новый инструментарий, созданный благодаря человеческому разуму и воображению.
Хотя удалось разгадать механизм и показать, что он должен работать в других организмах, все равно было неясно, сможет ли он функционировать в клетках млекопитающих. С 2012 по 2013 г. многочисленные эксперименты в этой сфере показали, что CRISPR действительно действует и для клеток млекопитающих. Фэн Чжан и Джордж Черч начали планировать способы тестирования этой систему в человеческих клетках. Но для этого сначала требовалось синтезировать версию фермента Cas9 с «оптимизированными кодонами» для работы в клетках человека. Это одновременно и ключевая черта генной инженерии, и важнейшая составляющая проектирования геномов как на нашей планете, так и на других.
Оптимизация кодонов – процесс, при котором белковая последовательность от одного организма (например, бактерии) подготавливается для полезного применения и экспрессии в другом организме (например, в человеческом) путем согласования частоты использования кодонов в клетках организма-реципиента. Кодоны – это промежуточный носитель информации, участвующий в центральном молекулярно-биологическом считывании (ДНК в РНК и РНК в белок), и именно из кодонов строятся многие функциональные элементы клетки. Поскольку генетический код состоит из четырех «букв», а кодон имеет три основания, общее разнообразие кодонов составляет 43 = 64. Эти 64 кодона используются почти всеми организмами на Земле, в том числе один инициаторный кодон и три кодона терминации. Таким образом, для генетического кода характерна избыточность, так как 60 кодонов используются для синтеза 20 аминокислот с участием тРНК, сопоставляющей каждую аминокислоту с тройкой кодонов в генетическом коде.
Но именно по причине такой избыточности и в силу того, что организмы развиваются и приспосабливаются в разных экосистемах, изобилие кодонов и частота их использования отличаются от вида к виду. Например, валин – это аминокислота, кодируемая четырьмя кодонами (ГУГ, ГУУ, ГУЦ и ГУА). В человеческих клеточных линиях кодон ГУГ преобладает над ГУУ и другими кодонами (в соотношении 47 % к 18 %, 24 % и 11 %), но у E. coli все иначе. В ее клетках иное предпочтение кодонов: 35 % к 28 %, 20 % и 17 % соответственно. Следовательно, если мы собираемся спроектировать белок для работы в клетках того или иного вида, то выбор кодонов в белке должен быть оптимизирован в соответствии с их нормальным использованием этих кодонов (а значит, и аминокислот) в клетках целевого вида. Сегодня использование кодонов картировано для многих видов на основе референсного генома (эти геномы записаны в базе данных GenScript). Сейчас такое картирование осуществляется без труда, однако подобное считалось почти невыполнимым, пока не накопился достаточный массив доступных для работы геномных последовательностей.
После оптимизации кодонов конструкцией нужно управлять в клетках млекопитающего. Для этого Чжан добавил в фермент Cas9 сигнал «ядерной локализации», обеспечивавший проникновение фермента в ядро человеческой клетки и разрезание ДНК. Но даже тогда функционал оставался ограниченным. Разрезание и редактирование шли не так эффективно, как надеялся Чжан. Он протестировал Cas-ферменты от разных видов и обнаружил, что вариант от S. pyogenes работает особенно хорошо. Кроме того, хотя в человеческих клетках отсутствовал набор иных бактериальных ферментов, которые могли бы обрабатывать РНК (например, бактериальная РНКаза III), они все же были в состоянии обрабатывать crРНК и функционировать. Нужную для этого последовательность трансактивирующей CRISPR-РНК также открыл Чжан. К 2012 г. он продемонстрировал, что в человеческих и мышиных клетках можно одновременно редактировать 16 сайтов, а затем ознакомился с работой Шарпентье и Дудны по направляющим РНК (sgРНК), с которыми вся система становилась еще проще. Чжан откорректировал свой вариант, показав, что с привнесенной sgРНК (решавшей часть проблем со структурированием РНК) механизм работает очень хорошо и может использоваться в биохимии млекопитающих. Действительно, Черч и Чжан продемонстрировали, что дуплекс crРНК-tracrРНК вполне работает в клетках млекопитающих. Так, наконец, биохимический арсенал бактерий оказался доступен для применения в любой клетке млекопитающих, и в частности людей.
Затем началось соревнование по усовершенствованию этой системы. В 2013 г. Дудна и Черч совместно показали, как можно прицельно отредактировать один сайт в геноме человека. Использовать и тестировать эти системы также принялись десятки других групп благодаря подспорью некоммерческого ресурса AddGene, представляющего собой репозиторий с информацией о генетических конструкциях, клетках, а также об инструментах редактирования генома и протоколах. Затем корейский ученый Чин Су Ким показал, что с помощью дуплекса crРНК-tracrРНК можно внести изменения в зародышевую линию рыбки данио-рерио. Таким образом, можно произвольно редактировать клетки млекопитающих, других позвоночных, а потенциально и вообще любые клеточные организмы. За работу по созданию этой системы, приведшей к революции в генетике, Дудна и Шарпентье были удостоены Нобелевской премии по химии в октябре 2020 г.
Но в 2018 г. обнаружилась новая проблема после того, как две независимые группы выявили, что CRISPR-редактирование приводит к непредусмотренным последствиям. Поскольку ферменты CRISPR подобны ножницам, разрезающим обе спирали ДНК, далее ДНК нуждается в репарации (восстановлении), что не ускользает от внимания клеток. Ген TP53, с которым мы познакомились в разделе о слонах, фиксировал эти повреждения и активировался, чтобы помочь при репарации ДНК и «прибрать мусор». Запускалось сканирование генома, поскольку организм фиксировал: что-то не так.
В принципе это нормальная составляющая жизненного цикла клетки. Кроме того, ген белка p53 активируется, когда клетки повреждаются в результате облучения. Именно поэтому p53 очень важен и помогает предохранять ДНК от повреждений. Чтобы клетки не становились злокачественными, он помогает запустить их самоуничтожение (этот процесс называют апоптозом), если (или когда) клетка перестает реагировать на сенсоры повреждения ДНК. Но если p53 мутирует, то этот предохранительный механизм может сломаться. Действительно, при раке – как раз когда мутирует p53 – могут внезапно появляться и быстро размножаться мутировавшие клетки. Этот эффект особенно выражен при раке яичников, когда в 95 % опухолей наблюдаются мутации в этом гене. Отсюда и задача: допустим, у вас есть набор клеток, в некоторых из них присутствует дикий (не мутантный) ген p53, а в некоторых – мутантный. После повреждения ДНК в процессе разрезания при помощи CRISPR у клеток менее предрасположенных к самоуничтожению больше шансов восстановиться и выжить, тогда как аналогичные клетки с диким типом гена p53 погибнут во благо организма.
К сожалению, именно это и происходит в CRISPR-клетках при терапии. Оказалось, что CRISPR лучше работают именно в клетках с неисправным геном p53. CRISPR тормозят один из ключевых механизмов оздоровления, из-за чего здоровые клетки вымирают, а потенциально опухолевые множатся. В принципе, это патологическая форма эволюции и давления естественного отбора. Представьте, что вам вылечили меланому, но вся кожа осталась в шрамах. Однажды Джордж Черч назвал такую практику «геномный вандализм».
Но в 2019 г. в редактировании генома появились важные нововведения: стали применять праймированное редактирование. Дэвид Лю и его коллеги из Института Броуда смогли сделать более точную версию CRISPR на основе ослабленного варианта эндонуклеазы Cas9 и удлиненной гидовой РНК для праймированного редактирования (пргРНК[12]). Лю и его группа стремились оптимизировать систему CRISPR, чтобы повысить ее точность, сократить количество непредусмотренных эффектов и избежать проблем, возникающих из-за двухнитевых разрывов ДНК. Лю изменил Cas9 так, что теперь он стал разрезать только одну цепочку в двойной спирали, а не обе, – так устранялась проблема с патологическим отбором p53. Усовершенствованный механизм CRISPR прикреплялся к сайту-мишени и не только обеспечивал желаемое редактирование, но и подводил дополнительный инструмент – обратную транскриптазу (RT). Фермент RT может преобразовывать РНК в ДНК, используя в качестве матрицы содержащуюся в пргРНК информацию о том, как должен выглядеть правильный фрагмент для восстановления интересующего нас сайта.
Эту удивительную новую систему уже протестировали на различных типах клеток. Лю исправил ошибку (так называемую трансверсию в гене HBB) в одном основании, из-за которой могла возникать серповидноклеточная анемия, изменил четыре сосуществующих аллеля (возникающих из-за делеции в гене HEXA), которые могли провоцировать болезнь Тея–Сакса, встроил «защитную» трансверсию в ген PRNP, а также вставил метки и эпитопы в локусы-мишени. Всего было внесено 175 правок в человеческих клеточных линиях и в первичных постмитотических (только что разделившихся) кортикальных мышиных нейронах.
Данный метод был воспринят с большим воодушевлением, так как праймированное редактирование отличалось повышенной или схожей результативностью по сравнению с гомологичной репарацией, но давало значительно меньше побочных эффектов. В частности, при праймированном редактировании наблюдается значительно меньше промахов мимо мишени, чем при редактировании с использованием обычной нуклеазы Cas9 (с учетом, что места таких промахов для Cas9 уже известны): доля промахов снижается с 90 до 10 %. Заголовки были на зависть: праймированный подход расширяет область применения генетического редактирования и в принципе позволяет исправить до 89 % известных аллелей, вызывающих у человека генетические заболевания.
Но и эта система неидеальна, как отмечают Джонатан Уайлд и другие исследователи, работающие в данной сфере. Методы с применением пргРНК тестировались на человеческих клеточных культурах in vitro, а не в живом организме, что, очевидно, гораздо сложнее. Кроме того, накачивание клетки рестриктазами – это метод, который работает в пробирке, но в организме иммунитет может не смириться с таким воздействием. Наконец, именно при грубом подходе к активации и обратной транскрипции (ДНК в РНК) в клетке могут начаться проблемы с ретровирусами, о чем мы уже говорили выше. Итак, хотя ажиотаж вокруг этого подхода по-прежнему растет, не прекращается и поиск новых, более качественных методов редактирования генома.
С 2003 г. не прекращается изучение известных бактериальных геномов в поисках новых видов CRISPR-массивов и новых типов редактирующих конструкций. В 2016 г. Омар Абудайе, Джонатан Гутенберг и Сильвана Конерман из группы Чжана открыли первую CRISPR-систему, позволяющую нацеливаться на РНК и редактировать ее (эту систему назвали Cas13a). В 2017 г. они показали, что предложенный ими метод можно применять с изотермической амплификацией, сформировав таким образом диагностику на основе CRISPR (эту технологию они назвали CRISPR-Dx). Данный метод обеспечивает быстрое обнаружение ДНК или РНК и отличается крайне высокой чувствительностью и специфичностью, которая позволяет зафиксировать несоответствие даже в одно основание. Они назвали свою диагностическую платформу SHERLOCK (Specific High-Sensitivity Enzymatic Reporter UnLOCKing) и уже использовали ее для выявления конкретных штаммов вируса Зика и вируса лихорадки денге, обнаружения бактерий-патогенов и даже мутаций в опухолевой ДНК. В 2020 г. этот метод был одобрен FDA для поиска вируса SARS-CoV-2 у пациентов с COVID-19. Интересно, что реактивы, используемые в процедуре SHERLOCK, можно лиофилизировать и далее использовать на салфетке в полевых условиях, например при вспышке эпидемии.
Кроме того, продолжается поиск новых CRISPR-массивов, открывающих путь к новой биологии и позволяющих заглянуть в мир бактериофагов. CRISPR-массивы различаются по размеру, но у большинства из них есть лидерная последовательность, богатая нуклеотидами А и Т, за которой следуют короткие повторы, разделяемые уникальными спейсерами. CRISPR-повторы обычно наблюдаются с интервалом 23–55 оснований, а иногда в таких последовательностях просматривается симметрия, благодаря которой в crРНК возникают самосворачивающиеся структуры и «шпильки». Размеры спейсеров в различных CRISPR-массивах обычно составляют 21–72 основания, но, как правило, в последовательности «повтор–спейсер» в любом CRISPR-массиве меньше 50 единиц.
Новаторская работа Абудайе и Гутенберга, которую можно сравнить с работой Мохики в конце 1990-х гг., свидетельствует об интересе к изучению биологии по данным секвенирования и получению как можно большего количества метагеномных данных для поиска новых элементов и массивов CRISPR. На основании данных одного лишь проекта MetaSUB Абудайе и Гутенберг смогли открыть более 800 000 новых CRISPR-массивов, соответствующих широкому спектру микроорганизмов, перемещающихся вместе с пассажирами нью-йоркской подземки и метрополитенов других городов по всему миру. Некоторые из этих новых CRISPR-массивов и предполагаемых ферментов также исследуются в Arbor Biotechnologies и других компаниях. Эти поиски продолжатся, чтобы и далее развивать и применять новую биологию по мере секвенирования геномов у все большего числа видов.
Мы только приступили к распаковке генетического инструментария, который любезно предоставила нам эволюция. Все эти инструменты нуждаются в усовершенствовании не только для повышения их безопасности, но и для обеспечения функциональности в сложном клеточном ландшафте, характерном для организма млекопитающих. Пожалуй, самое важное допущение, сделанное на третьем и четвертом этапах 500-летнего плана, заключается в том, что генная инженерия образца начала 2000-х гг. – это не последняя версия технологий, которые предстоит открыть, развить и развернуть. В будущем новые и более совершенные геномные технологии помогут нам перейти из эры редактирования геномов в эру их чистого написания. По некоторым оценкам, на Земле около одного триллиона видов, из которых мы открыли лишь несколько сотен тысяч. Кроме того, объем доступных генетических данных (например, секвенированных оснований, см. рис. 4.2) растет по экспоненте. Таким образом, с 2020 по 2040 г. нам предстоит открыть еще множество методов редактирования бактериальных и грибных геномов, работы с иммунными механизмами, способов модификации геномов. Но даже современный несовершенный инструментарий редактирования геномов позволяет излечивать некоторые заболевания.

Рис. 4.1. Рост количества генно-инженерных клинических исследований. Вверху: количество клинических исследований, инициируемых каждый год по странам. Показано только семь стран, в которых проведено наибольшее количество исследований. Больше всего исследований до 2018 г. инициировалось в США, после этого вперед вышел Китай. Внизу: типы непрерывно появлявшихся генно-инженерных исследований. Особенно заметен рост разработок терапевтических методов. В основном речь идет о терапевтических методах с применением Т-клеток с химерным антигенным рецептором (CAR-T), нацеленных на лечение рака.

Рис. 4.2. Рост данных по ДНК. Количество отсеквенированных оснований растет из года в год, начиная с 1982 г. Серым показан рост базы данных GenBank, а черным – базы данных WGS. По данным сайта https://www.ncbi.nlm.nih.gov/genbank/statistics.
Даже сейчас, когда всех беспокоят промахи при редактировании генома и пока мы ожидаем наступления эры «безошибочного» редактирования и написания геномов, очевиден чрезвычайный интерес к генной инженерии. С 2018 г. инициируется огромное количество клинических исследований, в которых задействованы методы ZFN, TALEN и CRISPR (рис. 4.3). В 2019 г. впервые удалось вылечить двух пациентов, один из которых страдал серповидноклеточной анемией, а другой – бета-талассемией (это патологии крови). До лечения оба пациента нуждались в постоянном переливании эритроцитов для компенсации недостатка гемоглобина, который отвечает за доставку кислорода ко всем органам и тканям. Компания CRISPR Therapeutics вместе с Vertex Pharmaceuticals разработала аутологическое лечение для этих болезней («ауто-» означает, что клетки берутся у самого пациента; при аллогенном подходе используются донорские клетки). Врачи взяли у пациентов стволовые клетки крови, модифицировали их с помощью CRISPR, чтобы отключить ген, препятствующий выработке фетального гемоглобина, а затем вновь ввели клетки пациентам. После получения такого аутологического трансплантата у обоих пациентов уровень фетального гемоглобина в крови оказался даже выше, чем надеялись врачи (он превысил 30 % клеток, тогда как уже 10 % можно было считать хорошим результатом). Теперь их можно считать первыми, кому удалось излечиться при помощи технологии CRISPR. Правда, такое лечение далось нелегко, поскольку пациентам пришлось перенести серьезную химиотерапию для уничтожения их собственных стволовых клеток. Тем не менее это явный прогресс, и лечить таким способом можно не только серповидноклеточную анемию.

Рис. 4.3. Клинические исследования методов генетического редактирования с сайта www.clinicaltrials.gov. В клинических исследованиях, начавшихся в 2008 г., применяются методы CRISPR, искусственные нуклеазы с доменами цинковых пальцев (ZFN), транскрипционные активатор-подобные эффекторные нуклеазы (TALE-нуклеазы, TALEN), комбинации этих инструментов, а также неспецифическое «редактирование генов». Слева: количество исследований по годам. Справа: количество исследований по странам.
Во время работы над этой книгой велось более полусотни клинических исследований с использованием методов редактирования генов (ZFN, TALEN, CRISPR) для лечения разнообразных заболеваний, в частности рака, наследственных и гематологических заболеваний. Анализ показывает, что больше всего клинических исследований с применением инструментов для редактирования генов проводится в США, но Китай активно их догоняет.
Китайские ученые быстро увлеклись идеей о том, что редактирование генов может стать спасением от болезни. Всего за четыре года (2012–2016 гг.) Китай прошел путь от полного отсутствия клинических исследований с использованием химерного антигенного рецептора (CAR) до абсолютного лидерства по количеству CAR-исследований в мире. Это разновидность генной терапии, которая обеспечивает высокоточное нацеливание на клетки, иначе недоступные для воздействия. Неудивительно, что первое исследование по редактированию человеческого эмбриона было анонсировано именно в Китае в 2015 г., а в 2018-м китайский врач Хэ Цзянькуй объявил о рождении первых детей с редактированным геномом. Цзянькуй стремился помочь молодой паре, где и мужчина, и женщина были носителями ВИЧ, завести детей, невосприимчивых к ВИЧ. Для этого он удалил ген CCR5, важного рецептора на Т-клетках. CCR5 представляет собой своего рода «входную дверь» для большинства штаммов ВИЧ. Без этого рецептора большинство штаммов не могут проникнуть в клетку.
Эффект удаления гена CCR5 впервые заметили берлинские врачи, лечившие ВИЧ-пациента с помощью пересадки костного мозга. Неожиданно через несколько месяцев его вирусная ВИЧ-нагрузка упала до необнаружимого уровня. Пациенту отменили прием антиретровирусных препаратов, однако вирусная нагрузка осталась на необнаружимых уровнях и сохранялась такой в последующие месяцы и годы. Этому человеку, которого стали называть берлинским пациентом, очень повезло. Такой невероятный результат был достигнут благодаря неожиданной мутации в донорских клетках костного мозга, а именно отсутствию гена CCR5.
Но как это всегда бывает в биологии, польза удаления CCR5 зависит и от клетки, и от времени, и от ситуации. Ген CCR5 может выполнять в клетке несколько функций, т. е. является плейотропным (как и большинство человеческих генов). Роль этого гена может меняться в зависимости от типа клетки, времени и даже от вида инфекции. Исследования Робин Кляйн и других ученых показали, что, хотя наличие полнофункционального рецептора CCR5 повышает риск заражения ВИЧ, оно же снижает вероятность заболевания лихорадкой Западного Нила. Иными словами, полнофункциональный ген CCR5 спасает жизнь в одном контексте (при угрозе заболевания лихорадкой Западного Нила), но может привести к смертельному заболеванию в другом (ВИЧ). Поэтому так важно выявление плейотропии всех человеческих генов и ситуативных последствий их редактирования за пределами контекста, для которого оно проводится (будь то обеспечение невосприимчивости к ВИЧ или подготовка человека к жизни на орбите). Исследования в этой области будут активно развиваться в 2020–2040 гг.
Некоторые уроки такого рода можно извлечь, изучая геном современного человека. В ходе масштабного проекта Resilience Project ведется непрерывный поиск людей, которые вроде бы должны были умереть, но почему-то живы. У этих генетических «супергероев» есть мутации, которые приводят к серьезным заболеваниям, но не привели к ним. Выявлением таких людей и сбором информации о них занимаются Жун Чен, Джейсон Боб, Стивен Френд и Эрик Шадт из Школы медицины Икана в Нью-Йорке. В идеале полезные мутации, защищающие людей от болезней, тоже должны вызывать интерес с точки зрения редактирования генов. Теоретически редактировать гены можно уже у эмбриона.
Боб, Френд и Шадт уже выявили новые классы «супергероев» с устойчивостью к ВИЧ. Это так называемые элитные контроллеры – пациенты, в организме которых ВИЧ держится на очень низком уровне, хотя они и инфицированы. Есть еще долгосрочные нонпрогрессоры, которые не теряют иммунитет и чувствуют себя нормально. Также существуют элитные нейтрализаторы, чей организм продуцирует исключительно мощные антитела, обезвреживающие ВИЧ, что обычно не наблюдается. Хотя мы находимся лишь в самом начале эры секвенирования и редактирования геномов, в долгосрочной перспективе все эти данные будут полезны не только для исправления генетических сбоев, но и для улучшения существующего генетического материала. Каждый геном любого пациента может стать источником знаний для людей на Земле или за ее пределами.
Вопрос о том, сможем ли мы редактировать человеческие эмбрионы и заводить генно-модифицированных детей, – праздный. Это возможно уже сейчас. Теперь стоит вопрос о том, как это делать, когда и стоит ли это делать вообще. С учетом того, что уже в 2018 г. японское правительство заявило, что узаконит генетическое редактирование человеческих эмбрионов, а также наш явный интерес к этой практике (она позволяет не только лечить, но и излечивать болезни), на повестке дня остается только вопрос «как?».
Изумительная возможность брать один и тот же генетический код и выборочно активировать или подавлять некоторые его элементы лежит в основе исключительной пластичности клеток разных типов в ходе развития организма, а также обеспечивает динамические изменения в ответ на воздействие окружающей среды. Эпигеном – электрический пульт управления клеточной биологией. Именно поэтому он также может давать жуткие эффекты, если процессы выйдут из-под контроля. Как это обычно бывает в сложнейших системах, в геноме могут возникать ошибки, а эпигенетические изменения также приводить к болезням. О силе эпигенома свидетельствует, в частности, то, что некоторые болезни изначально классифицируются именно по их эпигенетическим состояниям, а не по генетическим изменениям. Такие состояния могут характеризоваться повышенными уровнями метилирования ДНК (речь о CH3, см. выше), или изменениями упаковки ДНК (открытая или закрытая конфигурация), или просто изменениями белков, входящих в состав хроматиновой упаковки. Лейкемия, глиобластома и рак толстой кишки могут возникать при гиперметилированных фенотипах, которые провоцируют агрессивные онкологические заболевания и даже способствуют их развитию. Примечательно, что такие болезни могут возникать даже при полном отсутствии каких-либо наблюдаемых и известных генетических изменений, известных как причины подобных расстройств.
Описанные выше методы редактирования генома с тем же успехом можно применять и для работы с эпигеномом. Эпигеном можно редактировать, настраивать и проектировать. Сайты-кандидаты для таких вмешательств относятся к областям, которые, как достоверно известно, меняются при нормальном развитии, стрессе или заболевании. В самом начале эмбрионального развития почти все эпигенетические отметки «сброшены», т. е. почти все уровни метилирования установлены в ноль. Поэтому клетки могут полностью раскрыть свой потенциал. Затем сайты метилируются один за другим, некоторые гены деактивируются – и так удается получить клетку нужного типа. Если вы хотите изменить одну клетку, например нейрон, и превратить ее в другую, например в клетку сердечной мышцы, то в принципе нужно знать сайты, требующие изменения. Это обычно делается двумя путями: модифицируя типы оснований ДНК (например, на место цитозина ставится 5-метилцитозин) или регулируя состояния и типы хроматина (например, замена монометилированного лизина на триметилированный или открытой формы хроматина на закрытую).
Отличный пример такой возможности – работа Рудольфа Йениша, который в 2018 г. продемонстрировал, как при помощи редактирования эпигенома справиться с синдромом ломкой X-хромосомы. Эту болезнь даже можно излечить (по крайней мере у мышей). Синдром ломкой X-хромосомы – наиболее распространенная форма генетически обусловленной умственной отсталости у мальчиков. Синдром возникает из-за повышенного метилирования в гене FMR1, из-за чего он остается неактивным. Ген прекращает работать подобно радиоприемнику, в котором тумблер повернули в положение «выкл.». Сайт с повышенным метилированием находится в ряду повторов ЦГГ (конкретно в 5-й нетранслируемой области, или 5'-НТО). Для излечения этого заболевания команде Йениша нужно было отыскать способ переключения «тумблера», т. е. устранения метилирования и реактивирования экспрессии гена.
Для переключения эпигенетического «тумблера» требуются новые инструменты редактирования. Но, как уже говорилось, можно учиться на биологическом материале и незачем изобретать велосипед. Как правило, метилированием цитозина управляет фермент ДНК-метилтрансфераза, преобразующий цитозин (Ц) в метилцитозин (мЦ). Метилцитозин, в свою очередь, может превращаться в гидроксиметилцитозин (гмЦ), и за это преобразование отвечает фермент TET1. Его открыли, изучая мутацию под названием «10–11 транслокация». При превращении мЦ в гмЦ процессы, происходящие в ходе «внутреннего аудита клетки», в конечном итоге преобразуют это основание обратно в цитозин и убирают ту заглушку, которая добавляется в результате действия ДНК-метилтрансферазы. Это часть нормальной циркуляции оснований в эпигеноме, которая определяет, когда и как используются гены и их регулирующие области. Мутации в TET1 и других генах семейства TET (TET2, TET3) связаны с лейкемией и сердечно-сосудистыми заболеваниями. Это подчеркивает их важность в базовой эпигенетической регуляции.
При редактировании эпигенома фермент TET1 можно сочетать с модифицированной системой CRISPR для нацеливания на конкретные сайты и управление метилированием. В описываемом случае Йениш с коллегами объединил деактивированный белок Cas9 (dCas9) с ферментом TET1, а затем воспользовался одноцепочечной направляющей РНК и с ее помощью перевел ген FMR1 в активное состояние. Это позволило восстановить экспрессию гена FMR1 в индуцированных плюрипотентных стволовых клетках (iPSC). Затем из модифицированных iPSC были получены нейроны, продемонстрировавшие вполне нормальные электрофизиологические паттерны (как у дикого фенотипа), а не аберрантные, характерные для неотредактированных нейронов с ломкой X-хромосомой. Отредактированные нейроны трансплантировали в мозг мыши, чтобы проверить, сохранятся ли внесенные изменения после возвращения в типичную для них микросреду.
Клетки смогли сохранить самоуправляемость – редактирование работало! Экспрессия FMR1 поддерживалась и в отредактированных нейронах в пересаженной мозговой ткани мыши-реципиента. Однако этот процесс не удалось корректно воспроизвести у пациентов, страдающих синдромом ломкой X-хромосомы, поскольку потребовалось бы изъять, отредактировать и заменить все их нейроны. Больной вряд ли обрадовался бы такой процедуре, учитывая, что человек постоянно пользуется мозгом и, надо полагать, дорожит своими воспоминаниями. Тем не менее Йениш с коллегами показывает, что непосредственное деметилирование повторов ЦГГ в сформировавшихся (постмитотических) нейронах мозга вполне осуществимо, равно как и восстановление экспрессии FMR1. Это означает, что независимо от причин (генетических или эпигенетических) болезнь в принципе излечима.
Точно как эпигенóм управляет работой ДНК, располагаясь «поверх» генома, так и эпитранскриптóм управляет работой РНК, располагаясь «поверх» транскриптома. Разработка инструментов генетического редактирования привела к появлению нового уровня над всеми контрольными переключателями. В сущности, его можно назвать «эпи-эпиóм». Редактирование эпигенома не ограничивается метилированием цитозина. Можно редактировать даже хроматин, т. е. тот каркас, который держит ДНК. Хроматин – это гибридная структура, состоящая из белка и ДНК, которая обеспечивает сложную задачу упаковки 3 млрд оснований ДНК в небольшой пакет внутри клетки, размером всего несколько микрометров. Это удивительно – ведь если вытянуть ДНК, содержащуюся в одной клетке, то перед нами окажется двухметровая молекула. Однако такая длинная ДНК не только легко умещается в клетке, но и оставляет достаточно места для того, чтобы другие молекулы могли с ней контактировать и читать ее, как только потребуется. Все равно что взять струну, которая протянулась бы от основания до верхушки самого высокого современного небоскреба (Бурдж-Халифа, 828 м), и сложить ее в коробочку, легко умещающуюся на ладони.
Такая исключительно компактная упаковка важна не только для защиты, но и для регуляции ДНК. Регуляция осуществляется белками, составляющими хроматин, и они также, подобно ДНК, поддаются модифицированию и настройке. Один из компонентов хроматина – гистоны, как и другие белки, кодируются в ДНК в составе генома, затем транскрибируются в РНК, которую в дальнейшем рибосома транслирует в уникальный белок. Гистоны представлены в клетке как два набора димеров (H2A-H2B) и один тетрамер (H3-H4), которые затем сливаются и образуют в ядре клетки октет белков (H2A-H2A-H3-H4). Некоторые гистоны (H1 или H5) играют связующую роль, но основная часть описываемых действий разворачивается в ядре. Следовательно, в большинстве проектов, связанных с эпигенетическими исследованиями, внимание фокусируется на «гистонном коде», который регулирует работу генов и находится в H2, H3 и H4.
У клеток есть множество способов управления экспрессией генов. В частности, регулирование плотности обертывания ДНК вокруг гистонов позволяет изменять степень доступности генов. Модификация, производимая поверх гистонов, позволяет прицельно открывать и замыкать хроматин. Наряду с каталогом модификаций ДНК существует обширный массив посттрансляционных модификаций (PTM), которые могут происходить (и действительно происходят) в гистонах и других белках. Так, у гистонов H3 и H4 есть длинные вьющиеся хвостики, которые очень хорошо поддаются коррекции и модификации. Эти модификации демонстрируют, как на уровне «гистонного кода» и «эпигенетического кода» клетки управляют активностью и ролью генов и белков. Список гистонных модификаций длинный и охватывает некоторые уже знакомые нам реакции, в частности метилирование и ацетилирование, но также в этот список входят такие реакции, как фосфорилирование, цитруллинирование, сумоилирование, АДФ-рибозилирование и убиквитинирование. Как и в случае с генами, видами и многими другими биологическими модальностями, продолжают появляться все новые типы модификаций. Может наступить день, когда новые PTM или гистоны будут найдены на других планетах и мы сможем воспользоваться ими на Земле.
В принципе, гистонный код похож на колоссальный коммутатор, управляющий тем, как воздействие генов проявляется в различных типах клеток и клеточных реакциях. Возвращаясь к метафоре с коммутатором, представьте себе множество разноцветных рычажков на приборном щитке в кабине пилота, которые позволяют управлять высотой, скоростью, курсом самолета, но только в руках профессионала. Посади за такой пульт ребенка – и дело окончится катастрофой. Таким образом, работая с гистонами и эпигенетическими состояниями, необходимо очень осторожно их переключать. Ферменты, предназначенные для добавления или удаления модификаций (вспомните пилота, переключающего тумблеры), именуются соответствующим образом. Например, гистоновые метилтрансферазы переносят метиловые группы в гистоны, гистоновые ацетилтрансферазы переносят ацетиловые группы в гистоны. Кроме того, для модификаций гистонов принята собственная номенклатура, которая на самом деле довольно проста: 1) название гистона, например «H3» для гистона-3; 2) указание, где именно в концевом участке гистона производится модификация, например «K4» для 4-го лизина (это аминокислота, обозначаемая буквой «К»); 3) вид модификации, так, Me означает «метилирование», а Ac – ацетилирование и 4) количество добавляемых модификаций, например 1, 2 или 3 для моно-, ди- или триметилирования. Модифицируя конкретные сайты вдоль концевых участков гистонов, (теоретически) можно заставить клетку перейти из одного состояния или типа в другой.
Однако до 2015 г. возможность заставить ферменты работать по нашей команде оставалась фантастикой. Затем появились первые работы по модификации гистонов, выполненные Тимоти Редди и Чарльзом Гершбахом. Они представили конструкции совершенно нового вида, которые подготовили почву для работ в лаборатории Йениша – о них мы говорили выше. Редди и Гершбах сконструировали ацетилтрансферазу на основе CRISPR-Cas9, в которой опять использовался обезвреженный белок Cas9 (dCas9), но в данном случае он объединялся с активным участком человеческой ацетилтрансферазы (p300). Этот гибридный белок обеспечивает ацетилирование гистона H3 в лизине 27 (H3K27Ac) и приводит к существенной активации генов-мишеней со стороны промоторов, а также генов, расположенных далеко от сайтов-мишеней (проксимальные и дистальные энхансеры). Хотя ранее предпринимались попытки работать и с другими активаторами, основанными на dCas9, их ацетилтрансфераза могла менять экспрессию генов из энхансерных областей, используя только одну направляющую РНК для нацеливания на конкретные области-мишени.
Редди и Гершбах показали, что их система является модульной и с ее помощью можно редактировать практически любую модификацию ДНК или гистонов, как только их удается открыть путем слияния домена p300 с другими белками, которые связываются с ДНК. Экспериментируя с различными комбинациями этих модификаций, можно добиться, чтобы ген делал то, что вы хотите, когда хотите и столь долго, сколько нужно. Обладая такими инструментами, мы сами превратились в сознательный регулятор и заняли новый уровень, расположенный над геномом, транскриптомом, протеомом, эпигеномом и эпитранскриптомом. Этот уровень можно назвать «эпи-эпиом».
Идеи в сфере генной инженерии иногда приходят откуда не ждали, они рождаются даже при изучении давно вымерших видов. Хотя потенциал современных инструментов для клеточного редактирования огромен, в будущем мы, несомненно, обзаведемся еще более мощными средствами. Как обычно бывает в культуре, вдохновение дает не только изучение ныне живущих. Вполне возможно, что ответы на некоторые вопросы кроются в останках исчезнувших животных.
Каждое лето в Сибири начинается сезон охоты за так называемым белым золотом. Промысловики и копатели пускаются в тундру на поиски древних мамонтовых бивней. Такие бивни и их фрагменты продаются на рынках по всему миру, и цена иногда доходит до $1000 за килограмм. Хотя мамонты (Mammuthus primigenius) были обычными обитателями Сибири и даже пережили последнее оледенение, они не выдержали борьбы с первобытными охотниками и изменения экосистем. Последние мамонты вымерли примерно за 4000 лет до н. э.
В 2013 г. группа исследователей обнаружила почти идеально сохранившуюся тушу самки мамонта, погребенную в вечной мерзлоте в районе Якутска, Россия. Большая часть туши сохранилась в целости, в том числе три ноги, хобот и часть головы. Когда исследователи попытались извлечь ее из ледяной могилы, они впервые обнаружили сохранившуюся мамонтовую кровь – темно-красные свернувшиеся сгустки. Для генетика эта кровь ценна как золото. Радиоуглеродная датировка показала, что Лютик (так назвали находку) жила примерно 40 000 лет назад.
ДНК животного сохранилась так хорошо, что ученые, в том числе доктор Джордж Черч, наконец-то получили шанс осуществить давнюю мечту – возродить мохнатых гигантов. Что, если удастся вставить достаточное количество ДНК мамонта в современную безъядерную эмбриональную клетку индийского слона (эмбрион с удаленным ядром)? Поскольку индийский слон – ближайший современный родич мамонта, удастся ли с его помощью воскресить исчезнувший вид? А если метод сработает, то можно ли будет проделать подобное с другими видами?
Ответ утвердительный, по крайней мере если верить проекту Revive & Restore Project. На его сайте есть даже специальная страница, посвященная достижениям и планам в области воскрешения видов, в частности мамонта. Известно, что с начала XVIII в. исчезли как минимум 63 вида крупных животных, а также, надо полагать, миллионы видов микроскопических созданий, не переживших этот разрушительный период колониализма и климатических изменений. Своей целью проект ставит «сохранение био- и генетического разнообразия, восстановление оскудевших экосистем и возмещение того ущерба, который люди успели нанести природе». Уроки, извлеченные из этой работы, должны помочь нам избежать вымираний в будущем (в том числе предотвратить вымирание человека), а также изменить представления о планируемых экспедициях на Марс и другие планеты.
Одной из флагманских организаций, также ведущих такую работу, является биотехнологическая компания BGI–MGI из китайского города Шэньчжэнь. Там, среди убегающих вдаль зеленых холмов, где иногда попадаются фламинго, расположен Китайский национальный генетический банк. У входа вас встречает гигантская скульптура мамонта, а на боку этого зверя каждому посетителю видна фраза, записанная по-английски и по-китайски: «Сохранить ради нашего будущего». Этот девиз звучит как реверанс в адрес долгосрочных планов компании. Войдя в здание, вы можете прочитать подробное описание истории биотехнологии и генетики, наглядно показывающее, как мы накапливаем генетические данные и как эти знания увеличивают наше могущество.
Далее вы попадаете на выставку аппаратов для инновационного секвенирования, ознаменовавших новую эру в истории генетики, а за ней – на экспозицию скульптур и фотографий животных с табличками, как в музее. Все эти животные исчезли, а на табличках подробно рассказывается, как это произошло. Фактически перед нами «план действий по воскрешению видов», цель которого – возродить представленных животных (вроде странствующего голубя), но не как зомби, а такими же здоровыми или еще здоровее, чем их предки. Хотя эти цели сложны (а в некоторых случаях довольно деликатны), план предполагает, что нам под силу возродить большинство тех видов, которые к настоящему времени утрачены. На момент работы над этой книгой таких видов нет, но можно надеяться, что к 2040 г. у нас будет один или несколько возрожденных видов.
Хотя дело возрождения исчезнувших видов может показаться правильным и даже праведным (в контексте деонтогенной этики), легкомысленно к этому подходить не следует. Известно, что удаление вида из экосистемы может привести к непредвиденным последствиям, но то же справедливо и для реинтродукции вида, вымершего тысячи или миллионы лет назад. Возможно, возвращение мамонтов на просторы сибирской тундры поможет в борьбе с глобальным потеплением, поскольку животные будут там пастись и сокращать темпы таяния вечной мерзлоты и выбросы углекислого газа в атмосферу. Но мамонты могут нарушить экологический баланс, став, например, источником давно исчезнувших вирусов, либо отбирая территорию у более мелких млекопитающих, обитающих в тундре, либо попросту выделяя метан еще активнее, чем любые современные травоядные. Как обычно, при решении биологических задач предварительно потребуются тесты, чтобы проверить, не будет ли от таких экологических изменений больше вреда, чем пользы.
Перспектива управления эволюцией прошлого, настоящего и будущего может пугать, однако в реальности мы уже давно занимаемся модификацией видов и окружающей среды, просто раньше это делалось случайным образом и без учета возможных последствий. Теперь наконец этот процесс может стать осознанным и целенаправленным. Подобное управление эволюционным процессом – необходимый фактор развития человечества, который поможет нам выполнить наше предназначение. Поэтому нужно не уклоняться от выполнения этого долга, опасаясь «напортачить», а признать нашу этическую обязанность и взять на себя роль единственного вида, способного позаботиться обо всех остальных. В долгосрочной перспективе бездействие гарантированно приведет к вымиранию всего живого. Надо шевелиться.
Определяющим вектором 2021–2040 гг. будет создание новых инструментов клеточной инженерии, совершенствование существующих технологий и использование этих систем для лечения сложных заболеваний как in vitro, так и in vivo в доклинических и клинических условиях. Как и в случае любой революционной, но потенциально рискованной технологии, будут появляться возможности «воскрешения генома» или его «перезагрузки», когда генетические средства и функции, доступные одному виду, используются в организме другого. В конце концов эти инструменты неизбежно будут применены для редактирования самой первой клетки организма – зародышевой.
Но сам процесс адаптации технологий клеточной инженерии к работе с зародышами, скорее всего, будет медленным – так и должно быть. Оргкомитет Международного саммита по редактированию генома человека, состоявшегося в 2015 г., выступил с заявлением о надлежащем использовании таких технологий. В частности, в нем говорилось, что «было бы безответственно приступать к клиническому использованию», которое нацелено на «получение генетически модифицированных детей, пока 1) не будут разрешены актуальные проблемы, касающиеся безопасности и эффективности такой практики, и 2) общество не достигнет широкого консенсуса о приемлемости предлагаемого применения».
В 2019 г. (когда доктор Хэ Цзянькуй получил тюремный срок за создание генно-модифицированных детей) многие ученые, ставшие первопроходцами CRISPR-инженерии (Ландер, Бэйлис, Чжан, Шарпентье, Берг и другие), призвали к «глобальному мораторию на клиническое использование генетического редактирования зародышевой линии человека – изменения наследуемой ДНК (в сперматозоидах, яйцеклетках и эмбрионах) для создания генетически модифицированных детей». Они справедливо отметили проблемы, связанные с необходимостью учитывать отбор, плейотропию, а также неполноту современных знаний в области генетики и клеточной биологии. Рискованно играть в Бога на поле биологических систем, где мы не знаем всех компонентов и не располагаем полными моделями.
Даже, казалось бы, хорошая идея снизить риск заболеваний, модифицируя гены естественными аллелями, может дать труднопредсказуемые последствия. Например, некоторые аллели гена SLC39A8 потенциально снижают риск развития гипертензии и болезни Паркинсона, но одновременно повышают риск шизофрении, болезни Крона и ожирения. Вспомните упоминавшийся выше компромисс между защитой от лихорадки Западного Нила и риском заболеть ВИЧ, возникающий в случае с геном CCR5. Такие же компромиссы наблюдаются и с приобретением или утратой многих других генов и мутаций. Бесплатный сыр бывает только в мышеловке. Иногда организм получает подарки в виде транспозона, но такие случаи редки. А описываемые компромиссы, на которые требуется идти в условиях удручающе недостаточного понимания биологии, очевидны и демонстрируются на многочисленных научных и клинических конференциях.
Тем не менее это не помешало Национальной академии наук США и Национальной медицинской академии усмотреть пользу в редактировании зародышевой линии и даже поддержать такую идею. В 2017 г. было заявлено, что «при строгом надзоре можно допустить клинические исследования, в которых редактируется наследуемая зародышевая линия в случаях, связанных с лечением тяжелых заболеваний. Но клинические исследования, затрагивающие ненаследуемые генетические линии, должны ограничиваться лишь лечением или предотвращением болезни или инвалидности». Они рекомендовали четкий набор руководящих принципов для развития этих исследований, в частности: 1) отсутствие разумных альтернатив; 2) ограничение редактирования генами, для которых доказано, что они вызывают серьезное заболевание или предрасположенность к нему; 3) наличие достоверных доклинических и/или клинических данных по рискам и потенциальной пользе для здоровья; 4) строгий текущий надзор за ходом клинического исследования; 5) подробные планы по долгосрочному последующему наблюдению, охватывающему несколько поколений; 6) постоянная переоценка как пользы для здоровья и общества, так и рисков с широким участием общественности; 7) надежные механизмы надзора, препятствующие более широкому применению технологии, помимо предотвращения серьезных заболеваний.
Эти руководящие принципы позволили сформулировать иерархию тестирования, которая заключается в соблюдении безопасности при генно-инженерном вмешательстве. Дискуссии на эту тему ведутся на международных научных конференциях и в многочисленных консультационных комитетах, в частности в Национальной медицинской академии США, Национальной академии наук США, а также в Королевском научном обществе Великобритании, которым руководят доктора Кей Дэвис и Ричард Лифтон. То же касается встреч в рамках проекта Genome Project-write (GP-write), цель которого – записать геном человека с нуля. Этот проект возглавляют Джордж Черч, Джеф Боке и Эндрю Хессель. Научный исполнительный комитет этой организации (в который вхожу и я), а также члены консорциума GP-write постоянно обсуждают открывающиеся перспективы и готовятся к ним. Предложенная иерархия этапов дальнейшего развития генной инженерии включает итеративный процесс, предусматривающий проведение исследований в следующем порядке: 1) на модельных животных; 2) на человеческих клетках in vitro; 3) на собаках; 4) на приматах; 5) на человеческих клетках; 6) на людях. Но даже в рамках такой парадигмы в силу плейотропии и отличий в траекториях развития различных клеток (некоторые из них известны, но большинство – нет) подобные терапевтические методы обязательно нужно испытывать пошагово, на разных генетических материалах и этапах развития организма. В частности, подразумевается картирование эмбриогенеза от первой клетки в пробирке или в матке, внутри организма или вне его.
Большая часть работы по редактированию и генетической модификации человеческих эмбрионов была проделана врачами и исследователями при помощи методов экстракорпорального оплодотворения (ЭКО). Первый ребенок, появившийся на свет при помощи этой технологии, (Луиза Браун) был зачат в 1977 г. и родился в июле 1978 г. Это был результат сочетания передовой науки и медицинской необходимости: Лесли Браун, мама Луизы, страдала непроходимостью маточных труб. Сама Луиза родила ребенка в 1999 г., тем самым доказав, что дети, полученные методом ЭКО, вполне здоровы и могут размножаться так же, как и обычные люди. Демонстрация того, что вспомогательные репродуктивные технологии приводят к рождению здоровых людей, способных иметь собственное потомство, помогла рассеять опасения, что ЭКО-дети могут оказаться «дефективными» в том или ином отношении. Это особенно важно, так как в 2021 г. уже около 2 % всех младенцев в США родились благодаря методу ЭКО.
Однако безопасность вспомогательных репродуктивных технологий и связанные с ними риски для здоровья все еще изучаются. Например, в процессе ЭКО используются препараты, стимулирующие овуляцию, эмбрионы выращиваются вне тела, замораживаются и размораживаются, а в качестве вспомогательного средства для поддержания беременности обычно применяются большие дозы прогестерона. Эмбрион, полученный естественным оплодотворением, обычно не сталкивается с такими вещами. Кроме того, при интрацитоплазматической инъекции сперматозоидов (ИКСИ) сперматозоид внедряется непосредственно в ооплазму. Это устраняет процесс отбора, обычно происходящий на мембране яйцеклетки и снижающий шансы на оплодотворение слабыми и потенциально нездоровыми сперматозоидами. Поэтому был проведен ряд исследований с целью проверки, нет ли у детей, зачатых методом ЭКО или ИКСИ, риска повышенного давления или инсулинорезистентности. Пока не зафиксировано явных сигналов, указывающих на то, что от таких методов зачатия следует отказаться.
На эмбрион могут разрушительно повлиять дефектные митохондрии («энергетические станции» клетки). Неполноценные митохондрии могут приводить к мертворождению или судорогам, болям и снижению ожидаемой продолжительности жизни, если ребенок все-таки родится живым. Примерно один из 4300 американцев страдает митохондриальными расстройствами (например, синдромом Лея). Почти все митохондрии ребенок наследует от яйцеклетки, поэтому вырисовываются два способа борьбы с этими проблемами: либо «отремонтировать» яйцеклетку до оплодотворения, либо «поправить» уже эмбрион (после оплодотворения). Во втором варианте как донорские яйцеклетки, так и яйцеклетки потенциальной матери оплодотворяют сперматозоидами потенциального отца и получают два жизнеспособных эмбриона. Из обоих эмбрионов извлекают пронуклеусы (гаплоидные ядра зиготы), после чего пронуклеусы донора уничтожаются, а на их место в эмбрион внедряются пронуклеусы будущей матери. После этого развитие эмбриона может идти обычным путем. При «починке яйцеклетки» донорскую яйцеклетку со здоровыми митохондриями и материнскую яйцеклетку с дефектными митохондриями помещают в чашку Петри. Сначала изолируют ядро из клетки будущей матери – именно там содержится ее генетический материал. Затем ядро донорской клетки уничтожают, а на его место помещают ядро из клетки будущей матери, но в донорской клетке при этом сохраняется комплект здоровых митохондрий. Яйцеклетку, которая содержит ядро будущей матери, можно оплодотворять отцовскими сперматозоидами.
При помощи обеих этих стратегий можно давать жизнь здоровым младенцам, у которых фактически по три родителя. В 2015 г. в Великобритании было законодательно закреплено право на рождение таких детей. Первая медицинская лицензия на такую процедуру была выдана в 2017-м, а первые две пациентки были отобраны в 2018 г. – обе страдали от миоклонической эпилепсии с рваными мышечными волокнами (MERRF-синдрома). До процедуры рождение здорового ребенка было делом случая, но сегодня такая медицинская практика считается общепринятой.
Следующий большой технологический прорыв в дизайне, редактировании и отборе эмбрионов – «искусственная матка», аппарат, в котором плод может расти и развиваться до полного срока. Подобные аппараты, также именуемые экзоматками, впервые были разработаны для повышения выживаемости недоношенных детей. Первая модель такого рода появилась в 1996 г. Ёсинори Кувабара и его коллеги взяли 14 эмбрионов коз, извлеченных путем кесарева сечения у животных после четырех месяцев нормальной беременности, поместили их в камеру экзоматки и соединили с пуповиной и синтетической плацентой. Команда воспроизвела жидкостный обмен, обмен питательных веществ и температуру козьей утробы в искусственной амниотической среде. Хотя большинство нерожденных козлят умерло, некоторые просуществовали в таком режиме до трех недель, т. е. фактически их можно было считать доношенными. Правда, у всех детенышей были уродства и проблемы с легкими.
В 2003 г. мышиный эмбрион был почти полностью выращен в экзоматке, сконструированной Хелен Хун-Чин Лю, возглавляющей Лабораторию эндокринологии и репродукции Центра репродуктивной медицины и лечения бесплодия в Корнеллском университете, Нью-Йорк. Она первой использовала «лоскуты» человеческой ткани, сложенные клетками эндометрия – слизистой оболочки, выстилающей внутреннюю поверхность матки, но этот слой получился слишком тонким. Поэтому она вырастила более качественные объемные тканевые стенки, в функциональном отношении более подобные настоящей матке. Мышиные эмбрионы там закрепились, у них начали формироваться кровеносные сосуды, и мышата стали расти. Экзоматка млекопитающего превратилась из научной фантастики в реальность.
В 2017 г. исследователи из Детской больницы Филадельфии, развивая идеи Хун-Чин Лю, решили поработать не с мышатами, а с ягнятами (так как ягнята крупнее). Они разработали экзоматку для вынашивания овец. В сущности, она представляла собой пластиковый пакет, наполненный искусственной амниотической жидкостью. Пуповина ягнят подсоединялась к аппарату, который служил плацентой, снабжавшей плод кислородом и питательными веществами, а также отводившей отходы. Исследовали держали установку в «теплом темном помещении, где нерожденные ягнята могли слышать биение овечьего сердца». Как и в японском опыте с козами, проведенном в 1990-е гг., данная система позволила нерожденным ягнятам «нормально развиваться в течение месяца». Хотя процесс находится на очень ранней стадии реализации, он подтверждает реальность подобных методов при работе с недоношенными младенцами и является первым шагом к полноценному внеутробному выращиванию человека, начиная с единственной зародышевой клетки in vitro.
Сильнее всего к созданию переносной матки нас приблизило не создание синтетического органа, а донорство. В октябре 2014 г. шведка, перенесшая трансплантацию матки, родила ребенка, зачатого методом ЭКО. Эта пациентка родилась без матки, а перед описываемыми событиями попросила подругу, которой было уже за 60, пожертвовать ей свою матку, поскольку после менопаузы у женщины-донора прошло уже семь лет. В британском медицинском журнале Lancet был описан успех этой операции. Опыт показал, что женщине, родившейся без матки (например, в случае синдрома Майера–Рокитанского– Кюстера–Хаузера), либо онкологической пациентке, у которой матка удалена, вполне можно пересадить новую матку, позволяющую выносить ребенка. Хорошая подруга может поделиться нарядами, а отличная – подарить матку.
Еще одно очевидное применение экзоматок – помощь парам, неспособным к естественному зачатию. Эта процедура представляется не менее или даже более безопасной, чем услуги суррогатных матерей или использование донорских маток. Хотя некоторые матери нервозно относятся к тому, что их ребенка будет вынашивать другая женщина, пока суррогатное материнство является самым безопасным способом. Однако экзоматки создают сложности для суррогатных матерей, которые привыкли к жизни и заработку в качестве ходячих инкубаторов (вознаграждение за такую услугу начинается от нескольких тысяч долларов, но может достигать $50 000 и более). Уже существует рынок суррогатного материнства, и искусственные матки его подорвут.
Если наступит время, когда искусственные матки станут обыденностью, возникнут другие социальные сложности. Наиболее острой проблемой в США является то, что закон, закрепляющий право женщины на аборт, основан на знаковом решении Верховного суда в 1973 г. по делу «Роу против Уэйда». Этот закон опирается в основном на тот факт, что плод не может выжить вне материнского организма до 28 недель. К 2021 г. в порядке вещей стало выхаживание в инкубаторах младенцев, родившихся на 24-недельном сроке. Время, которое ребенку необходимо провести в утробе, продолжает сокращаться. При применении экзоматок такой период внутриутробного вынашивания будет уменьшаться и дальше, пока не дойдет до нуля. Любой зародыш можно будет искусственно выдерживать в экзоматке до полного созревания. Потенциально такая технология может подорвать аргументацию, действовавшую в деле «Роу против Уэйда», и передать контроль над эмбрионом от матери к государству, примерно как в антиутопическом романе «Рассказ служанки». Или если взглянуть на эту ситуацию оптимистично, то любая женщина сможет выбирать, когда, как и насколько долго продлится ее беременность. Дородовая смертность будет практически сведена к нулю.
Еще одна проблема касается тонкостей развития плода и ребенка. Работа Джанет Дипьетро из Университета Джонса Хопкинса показала, что беременность – это постоянное взаимовлияние матери и плода. В экзоматке такая взаимность, по всей видимости, будет утеряна. Дипьетро показала, что плод может реагировать на настроение матери и чувствовать, когда она изменяет позу. Кроме того, плод постоянно подсказывает матери, что ему требуется, потчуя ее гормонами и другими веществами. Можно сказать, что это биологическая магистраль, соединяющая мать и ребенка. Воспроизвести такой механизм сложно, и он, скорее всего, будет отсутствовать – как минимум в экзоматках первого поколения.
Таким образом, нас может ожидать ностальгия, если мы «потеряем» эту связь после массового перехода к использованию экзоматок. Однако текущие данные о родах и материнском здоровье свидетельствуют, что в нынешнем виде этот процесс не идеален. Даже при нынешнем уровне медицины сотни женщин в США ежегодно умирают при родах, а по всему миру фиксируются тысячи таких случаев. Голова ребенка слишком крупная и едва проходит через родовые пути, именно поэтому все больше детей сегодня рождается методом кесарева сечения. Кроме того, учащаются случаи токсикоза и пренатальных осложнений, беременность может приводить к гестационному диабету, который не всегда проходит после родов. В целом беременность и роды – то еще приключение с биологической точки зрения. Эти процессы можно улучшить и получить новую степень свободы.
Некоторые до сих пор отмахиваются от идеи экзоматки и считают, что ребенка нужно вынашивать в животе, поскольку в беременности и родах есть некая магия. Что ж, мы не в первый раз сталкиваемся с подобной аргументацией. В XVI в. в науке существовало движение под названием «витализм», согласно которому жизнь – явление настолько уникальное, что его нельзя разложить на элементарные составляющие. Считалось, что живые организмы фундаментально отличаются от неодушевленных предметов, а потому ими управляют иные законы и они должны иметь нефизический элемент, своего рода душу, приобретаемую при зачатии. Согласно этим идеям, никакие органические вещества в принципе не могут возникнуть из неорганического источника.
Но оказалось, что эти убеждения неверны. В 1828 г. немецкий химик Фридрих Вёлер взял изоцианат серебра и хлорид аммония и синтезировал из них мочевину, ранее считавшуюся веществом животного происхождения. Так органическое вещество было получено из неорганических компонентов. С тех пор клонирование, работа с эмбриональными стволовыми клетками и ЭКО поразительно расширили наши представления об онтогенезе, и до сих пор не обнаружено никакой «жизненной силы», которая опосредовала бы этот процесс. Множатся только новые открытия, постоянно помогающие нам лучше понять эти процессы. Исследования Али Бриванлу и Эрика Сигги из Рокфеллерского университета продемонстрировали, что человеческие эмбрионы продолжают нормально развиваться в чашке Петри без какой-либо помощи на протяжении 14 дней. Системная биология показывает, что можно прогнозировать и моделировать даже сложные динамические состояния многих организмов. Как человеческая матка, так и синтетическая экзоматка – это системы, работа которых зависит от химических, биологических и физических факторов, а не от магии. В обеих этих средах может зарождаться и сохраняться жизнь.
Человеческая матка – шедевр естественной эволюции, которая привела нас к нынешнему этапу развития. Но, как и любые биологические механизмы, система для вынашивания детенышей поддается доработке благодаря целенаправленной инженерии. При помощи экзоматок можно снизить риски, связанные с беременностью (в том числе возрастающий риск инсульта и инфаркта), а также облегчить или устранить серьезный физиологический стресс. Например, у женщин, рожающих после 30 лет, возрастает риск онкологических заболеваний, в том числе рака молочной железы. В основном это объясняется колебаниями уровней эстрогена и прогестерона, которые стимулируют дифференциацию клеток, их рост и потенциально онкогенез. Фактически чем старше женщина, переживающая первую полноценную беременность, тем выше риск развития рака груди. Проще говоря, женщины, впервые рожающие после 30, рискуют заболеть раком больше, чем вообще не рожавшие женщины. Кроме того, после родов у женщин вообще повышается риск заболеть раком молочной железы, но примерно через 10 лет этот риск снижается, что, похоже, также связано с гормональными всплесками.
В то же время беременность в определенной мере защищает женщину от онкологии. Например, исследования Бернстейна и др. показали, что у женщин, впервые родивших до 20 лет, риск рака примерно вдвое ниже, чем у женщин, впервые забеременевших и родивших после 30. Кроме того, у многодетных матерей (в особенности родивших пятерых и более детей, причем первого – в молодом возрасте) риск рака молочной железы примерно вдвое ниже, чем у нерожавших женщин. В свою очередь, женщины, страдавшие от токсикоза или подолгу (не менее года) практиковавшие грудное вскармливание, также в меньшей степени рискуют заболеть раком груди.
Теперь мы значительно лучше понимаем биохимию беременности и путем разумного вмешательства можем помочь женщинам и детям оказаться в двойном выигрыше. Можно разработать комбинированные процедуры, которые позволят пользоваться гормональными и противораковыми плюсами беременности, а также исключить лишние онкологические риски. Теоретически, придерживаясь такой парадигмы, можно было бы сконструировать аппарат, который воспроизводит биохимический ответ женского организма на беременность, и подключить его к экзоматке, в которой развивается ребенок. Нося это устройство, женщина сразу почувствует, что ребенок в экзоматке пошевелился, – таким образом между ними установится тесная беспроводная связь. Подобное чудо техники может появиться, если удастся воссоздать весь процесс развития человеческого эмбриона in vivo и даже улучшить его. Тогда «дистанционная беременность» станет реальностью. В такой конфигурации потенциальная мать может испытать на себе все положительные стороны беременности, даже не заводя ребенка. Конечно, этот план зиждется на амбициозной технической составляющей и медицинском мониторинге, но уже имеющиеся данные, полученные на животных, в целом оптимистичны. Возможно, нас ждет будущее, где беременность и весь репродуктивный процесс будут улучшены как для матери, так и для ребенка.
Через несколько десятилетий значительно снизится количество болезней и уродств, которые сейчас считаются неизлечимыми либо требуют пожизненной медицинской поддержки. В конечном итоге мы научимся получать из любых клеток другие клетки человеческого организма (генетическими и эпигенетическими методами). Синтез ДНК настолько удешевится, что можно будет писáть (а не только редактировать) геномы, а выращивание плода в искусственной матке станет безопаснее естественной беременности как для матери, так и для ребенка. В совокупности эти технологические и биологические чудеса приведут человечество в новую эру здоровья, безопасности и долголетия.
В этом идеальном мире мы будем накапливать генетические «инструменты», подсмотренные у организмов, которые живут сейчас, жили когда-то и только будут жить. Таким образом удастся снизить риски и повысить качество жизни других организмов. Подобно тому как ребенок может дарить игрушки другим детям, которым симпатизирует, живые существа могут и должны делиться своими уникальными способностями и вариантами эволюционной адаптации в направленном и полезном процессе. Обучение и обмен в таком ключе только продолжатся, когда мы отправимся в долгосрочные космические экспедиции и спланируем, как оценивать успешность и риски биологической инженерии во время путешествий людей на другие планеты.
Процесс, в результате которого вслед за амебой в конечном итоге появился человек, с точки зрения философов, является прогрессом, хотя неизвестно, согласилась бы амеба с этим мнением.
БЕРТРАН РАССЕЛ
К 2040 г. редактирование геномов и эпигеномов станет обычным, безопасным, точным и доступным. Кроме того, мы сможем избирательно направлять дифференциацию конкретных типов клеток in vivo по мере необходимости для терапевтических и клинических целей. Благодаря такому расширению возможностей мы сможем создавать «защищенные геномы». Как только такая практика устоится, мы начнем применять ее для заблаговременной защиты астронавтов, в том числе разрабатывать стратегии защиты в зависимости от потребностей долговременных космических экспедиций. Эти технологии, скорее всего, будут востребованы и вплетены в ткань нашего общества. Кое-что из этого заметно уже в начале XXI в.
С тех пор как был открыт геном, ученые разных специальностей твердо решили сделать редактирование генов безопасной, обыденной и простой работой. В начале XXI в. Национальные институты здравоохранения США внесли значительный вклад в достижение этой цели. Финансовые и научные ресурсы этих институтов, объединенные в общий фонд, выделяются на те проекты, которые способствуют быстрому прогрессу всей отрасли, в том числе на «высокорискованные, высокоперспективные» гранты и программы для ученых и врачей. Один из ключевых проектов, финансируемых из общего фонда, – программа Somatic Cell Genome Editing, направленная на редактирование генома в соматических клетках. Программа была запущена в январе 2018 г., ее цель – повысить эффективность и специфичность генно-инженерных подходов, чтобы тем самым облегчить бремя распространенных и редких генетических заболеваний. Финансы программы используются для разработки клеточно- и тканево-специфичных средств доставки и, соответственно, для создания более точных инструментов редактирования генома.
Если требуется отредактировать или модифицировать всего один тип клеток (например, клетки сердечной мышцы), то специфичность имеет первостепенное значение. Геномный редактор, призванный починить сердце, может повредить нейроны мозга или нефроны в почках, если пользоваться им неправильно. Как говорилось в предыдущей главе, пока существуют принципиальные технические препятствия для применения технологий редактирования генома, в особенности это касается средств доставки. У большинства ферментов для редактирования нуклеотидных последовательностей, в частности у CRISPR, слишком большие молекулы. Они не помещаются в аденоассоциированные вирусные векторы, а значит, для адресной доставки этих инструментов в клетки требуются другие методы, пока не столь распространенные в клинической практике. Другая проблема – управление редактированием и обеспечение точности процесса. Если требуется обширное временное изменение экспрессии гена, которое потенциально можно компенсировать через эпигенетическое редактирование, то, возможно, все, что потребуется, это ненадолго включить механизмы редактирования генов. Но если терапия требует добавления определенного гена в заданную клетку и может недопустимым образом повлиять на функцию других клеток, то нужно либо затрагивать только интересующий нас тип клеток, либо как минимум допускать экспрессию гена только в клетках этого типа.
Отличным примером клеточно-специфичной генной инженерии in vivo является лечение заболеваний глаз. В декабре 2018 г. FDA одобрило первое CRISPR-лекарство, позволяющее бороться с одной из форм слепоты, амаврозом Лебера. На рынок были допущены препараты двух компаний, Editas Medicine и Allergan. Амавроз Лебера – это наиболее распространенная форма наследственной детской слепоты, встречается примерно в трех случаях на 100 000 рождений. Исторически это заболевание считалось неизлечимым. Те, кто страдает такой слепотой, обычно способны улавливать лишь чрезвычайно яркие вспышки света как мутные пятна и в большинстве случаев со временем теряют зрение полностью. Существуют различные подвиды амавроза Лебера, возникающие из-за различных мутаций в подмножестве генов, среди которых CEP290, CRB1, GUCY2D и RPE65. Для каждой из этих мутаций, по всей видимости, необходимо разрабатывать отдельный курс лечения, рассчитанный на конкретного пациента. В качестве доказательства осуществимости лечения на основе CRISPR была разработана терапия для одной из мутаций. Потенциально существует возможность найти и полноценное лечение этой болезни.
Новая CRISPR-терапия основывается на уже наработанных генетических технологиях. Первое лекарство от амавроза Лебера доставлялось при помощи аденоассоциированного вирусного вектора и называлось Luxturna. FDA одобрило этот препарат в 2017 г. для лечения LCA2, одного из вариантов амавроза Лебера. В данном случае вирус доставлял полезную нагрузку в клетки сетчатки, заменяя в них дефектный ген на рабочий. Казалось, Luxturna работала нормально и не оказывала побочных эффектов, а при аналогичном клиническом исследовании, проводившемся в Нидерландах, удалось улучшить зрение у 60 % участников исследования. Теперь, располагая как вирусным вектором, так и средствами редактирования по методу CRISPR, стало возможно модифицировать гены конкретных клеток in vivo.
Наступившая удивительная эпоха, когда стало возможным соматическое и терапевтическое редактирование геномов, – это только начало. После того как удастся убедиться в эффективности и безопасности этих процедур, мы сможем напрямую еще до рождения редактировать у эмбриона мутации, которые иначе оказались бы калечащими или даже смертельными. Мутации можно тщательно отслеживать в процессе развития и при необходимости исправлять, чтобы повысить шансы ребенка на выживание, а также улучшить качество жизни этого человека. Действительно, варианты лечения не только нацеленные на конкретный тип клеток, но и применяемые на нужном этапе развития – это максимально точный подбор препарата для пациента, какой только можно представить.
Но что, если человек страдает от заболевания негенетического характера? Или если генетическая аномалия слишком сложна, а в долгосрочной перспективе приводит к потере определенного типа клеток? Допустим, человек устойчиво слепнет и при этом известно, из-за потери каких клеток это происходит. В таких случаях также можно разработать высокоспецифичные виды лечения для конкретного пациента. В идеале хотелось бы перепрограммировать те или иные клетки, чтобы они брали на себя новую роль и восстанавливали утраченные функции.
Действительно, это рабочая идея. В сетчатке человеческого глаза около 200 млн клеток-палочек – это нейроны, позволяющие отличать свет от тьмы. Гораздо меньше (примерно 5 млн) в сетчатке клеток другого типа – колбочек. Эти нейроны отвечают за цветное зрение и распознавание узоров. Исследование Джеффри Мамма в 2018 г. показало, что в модельном организме (рыбки данио-рерио) при слепоте, вызванной повреждением колбочек, зрение можно воссоздать, модифицировав нейроны-палочки и превратив их в колбочки. Этого удалось добиться при помощи CRISPR-вмешательства с одновременным редактированием нескольких участков генома. В сетчатке часть нейронов-палочек превращается в нейроны-колбочки. Для человеческого глаза это было бы простым решением: если перепрограммировать 5 млн палочек, превратив их в колбочки, то незатронутых палочек останется еще очень много (195 млн). Такая процедура подразумевает именно перепрограммирование, а не редактирование и позволяет использовать имеющиеся клетки для борьбы с макулодистрофией и слепотой.
Но почему бы не совместить эти вещи? Можно ли сохранить все 200 млн палочек, но добавить к ним колбочки? Достаточно поднаторев в перепрограммировании клеток, можно повторно дифференцировать клетки, причем асимметрично (например, разделить на два заранее заданных типа). Такая парадигма позволила бы использовать существующие в ткани клетки и создать условия для развития нужного нам типа клеток.
После того как удастся обеспечить эффективность и безопасность таких исключительно сложных видов терапии на Земле, их можно будет опробовать в смоделированных марсианских условиях, на космических станциях и на самом Марсе. Технологии такого рода критически важны для решения проблем, с которыми нам придется столкнуться далеко от Земли. С учетом огромного разнообразия условий хотелось бы иметь возможность просто менять целевую последовательность или систему доставки. Чтобы не везти с собой целую аптеку, где у каждого препарата свое назначение и порядок применения, лучше обзавестись цельной системой с одним модульным компонентом (который можно синтезировать) и адаптировать ее к конкретным потребностям.
Так, планируется развернуть на орбите Марса обитаемую станцию, которая будет называться «Марсианский базовый лагерь». Компания Lockheed Martin намерена реализовать этот проект к 2040 г. Там нас ждут по-настоящему интересные исследования, касающиеся пределов выживаемости человека на других планетах и средств, которые потребуются для такой жизни. Можно было бы перепрограммировать человека на клеточном уровне, подстраивая организм к параметрам новой окружающей среды. Но сначала нужно выяснить, что нас ждет.
Отправившись к Марсу, мы выйдем за пределы радиационных поясов и земной магнитосферы. Эти пояса обеспечивают Земле и всем ее обитателям превосходную защиту от потоков жесткого солнечного и галактического излучения[13]. Этот электромагнитный щит создает непрерывно вращающееся земное ядро, состоящее из расплавленного железа. Магнитосфера отклоняет жесткое излучение, во многом благодаря ей Земля остается обитаемой.
Если прогуляться голышом по поверхности Марса, то вас ждут проблемы, и совсем не юридического характера. Беда в том, что вы обморозитесь и одновременно схватите дозу радиации из-за того, что в настоящее время магнитосфера на Марсе отсутствует[14]. Когда-то у Марса было расплавленное металлическое ядро и магнитный щит (кроме того, в тот период поверхность Марса была весьма многоводной), поэтому и климат там был гораздо мягче. Так что астронавты будут испытывать воздействие жесткого излучения не только во время полета, но и на поверхности Марса. Уровни облучения будут несопоставимыми с теми, которые мы получаем на Земле или во время уже состоявшихся космических полетов (рис. 5.1).

Рис. 5.1. Уровни облучения и радиационные риски. Примерные дозы радиации, получаемые при экспедициях и процедурах различной длительности. Учитываются медицинские процедуры, пребывание на поверхности разных небесных тел, участие в космических полетах, рекомендуемые предельные дозы для астронавтов, рассчитанные в NASA, а также общие рекомендации, касающиеся естественного земного радиационного фона.
Комиссия по ядерному регулированию США считает, что любая ненулевая доза радиации повышает риск возникновения рака, а это означает, что «безопасного» порога облучения не существует. По мере того как астронавт облучается, разрушения на клеточном уровне накапливаются, поскольку организм не успевает чинить разрывы двойной спирали, перестановки нуклеотидов или мутации. Конечно, сильно поврежденные клетки могут самоуничтожаться ради блага остального организма, однако механизм апоптоза несовершенен и с возрастом все чаще сбоит. Все эти «молекулярные отказы» – клеточные, эпигенетические и генетические изменения и повреждения – в долгосрочной перспективе повышают риск развития сердечно-сосудистых и других заболеваний, в том числе онкологических.
Биологическое воздействие радиации на человека измеряют в зивертах (Зв). Один зиверт (или 1000 мЗв) – это доза, после получения которой на 5,5 % возрастает вероятность онкологического заболевания. Канцерогенность – один из основных рисков, присущих радиации. Воздействие 1 миллигрея (мГр) ионизирующего излучения на организм оказывает биологический эффект, равный 1 мЗв (0,001 Зв). Изучение радиации называется «дозиметрия», и иногда в ней используются другие единицы, в частности рентген (Р, 1 Р = 10 мГр) и рад (поглощенная доза радиации). Прямо скажем, радиологи не страдают от недостатка единиц измерения.
Скотт Келли, находившийся на околоземной орбите высотой 400 км, получал дозу радиации, эквивалентную четырем рентгеновским просвечиваниям грудной клетки в день (во время этой процедуры вы получаете примерно 0,1 мЗв). Соответственно, ежедневно он хватал по 0,43 мЗв. Такая дневная доза облучения гораздо ниже той, что досталась астронавтам «Аполлона» (13–16 мЗв)[15] на пути к Луне и обратно, а также ниже, чем облучение при некоторых рентгеновских исследованиях (например, велоэргометрия с радионуклидной визуализацией дает 49 мЗв). Однако к моменту возвращения на Землю дозиметр Скотта суммарно показывал 146 мЗв, это довольно серьезное облучение. Также важно отметить различие между разовой дозой (рис. 5.2) и радиационным облучением, полученным за долгий срок. Большая доза «залпом» опаснее, чем та же доза, накопленная за долгий срок, поскольку организм успевает восстанавливаться.

Рис. 5.2. Риски от разных разовых доз облучения: вероятные последствия для здоровья
Как показывают эпидемиологические исследования, вероятность смерти из-за рака, вызванного облучением, также зависит от места жительства человека. Чем выше в горах вы живете, тем тоньше атмосфера над головой и, следовательно, слабее защита от космического излучения. Но радиация также может поступать снизу, из грунта и пород, где содержатся уран, радон, торий и другие естественные радиоактивные вещества. Например, средняя естественная доза облучения жителя США составляет около 2,4 мЗв в год, что в четыре раза выше среднемирового уровня (0,6 мЗв). В Скалистых горах радиационный фон втрое выше, чем в среднем по США. Эти дозы невелики по сравнению с облучением в космосе, что видно на примере капитана Скотта Келли. Согласно расчетам Комиссии по ядерному регулированию, в результате продолжавшегося год полета риск онкологического заболевания для Скотта увеличился на 0,58 %.
К счастью, все астронавты NASA получают превосходное медицинское обслуживание, а большинство из них участвует в долгосрочном исследовании здоровья, проводимом для выявления и отслеживания рисков и физиологических изменений. Наши возможности по картированию мутаций и способность понимать, как они могут повлиять на организм, значительно выросли благодаря развитию секвенирования и разнообразных методов, применявшихся, в частности, в рамках Twin Study. Эти соматические мутации могут повлиять на медленно делящиеся клетки, например на гемопоэтические стволовые клетки (ГСК) и на их клетки-потомки, которые делятся быстрее. Иногда мутации в ГСК дают эволюционное преимущество, и тогда мутантные клетки умножаются в результате «клональной экспансии». Первые свидетельства активности этих мутантных клонов в организме в остальном здоровых людей обнаружил доктор Росс Левин из Мемориального онкологического центра Слоуна–Кеттеринга также работавший в лаборатории Мейсона в 2012 г.
Развивая эту работу в 2018 г., доктора Дуэйн Хассан, Гейл Робоз, Моника Гузман и их коллеги показали, что по таким мутациям можно спрогнозировать развитие рака и сердечно-сосудистых заболеваний примерно за 15 лет до их проявления. Фактически мутантные клетки подобны часовой бомбе: они служат первым из двух факторов, необходимых для развития рака (если придерживаться так называемой двухфакторной гипотезы). Действительно, это новая дисциплина, изучающая медленное накопление клональных мутаций и сопряженные с ними риски. Данный процесс называется «клональный гемопоэз», и он помогает лучше понять механизмы, обусловливающие риски для крови. Такое отслеживание мутационной нагрузки, выявление связанной с ней рисков и проектирование терапевтических вмешательств для применения в случае необходимости – это важнейшие предпосылки для безопасного исследования Марса и других планет. Все мы в той или иной степени мутанты. Вопрос лишь в том, какими мутантными признаками мы обладаем и на какой планете живем.
Такое медленное и неотвратимое движение к молекулярному разладу и бесконечному накоплению мутаций может казаться приговором, но все не так безнадежно. Рано или поздно мы научимся не только отслеживать этот процесс, но и вмешиваться в него по мере необходимости. Более того, накапливается все больше доказательств, что данный процесс можно замедлить или даже остановить. Яннис Айфантис из Нью-Йоркского университета и Омар Абдель-Вахаб из Мемориального онкологического центра Слоуна–Кеттеринга изучали этот процесс на мышах и показали, что витамин C позволяет снизить долю мутантных клеток в крови (этот показатель называют частотой вариантных аллелей, или VAF). Согласно их данным, профилактическая терапия позволяет снизить, а потенциально даже исключить риск лейкемии и сердечно-сосудистых заболеваний.
Интересно, что при анализе очищенных клеточных фракций Скотта Келли во время его космической экспедиции в них удалось обнаружить клоны с мутациями в гене TET2. Общий показатель VAF для мутантных клонов снизился, поэтому после годичного космического полета кровь Келли словно «помолодела». Это неудивительно, учитывая стабильность его «эпигенетического возраста» и удлинение теломер, о чем мы говорили ранее. Правда, когда мы вновь проанализировали его кровь в 2020 г., оказалось, что показатели VAF не только вернулись к дополетным значениям, но и превысили их. Кроме того, у Марка Келли были обнаружены иные мутации, менявшиеся с другой скоростью. Иными словами, векторы развития мутаций в крови у близнецов отличались. Когда в 2020 г. я представил эти мутации обоим астронавтам, последовал вопрос: «А можно их просто вырезать с помощью CRISPR?» На что мне пришлось ответить: «У мышей да, но у людей… пока нет».
Вот лишнее подтверждение, почему так важен глубокий и непрерывный мониторинг астронавтов для создания основы сравнения результатов новых исследований, а также тщательного тестирования методов редактирования генома. Создание геномной защиты для космоса в первую очередь требует выяснения, что может пойти не так (например, клональная селекция мутаций, вызванных облучением), как это обнаружить (постоянный мониторинг VAF), как вмешиваться в процесс (генетическое редактирование для устранения мутаций или клеток, которые успели мутировать) и когда вмешиваться (если мутация повышает риск онкологии и т. п.). В идеале эти механизмы защиты должны быть профилактическими, а не реактивными и осуществляться при помощи лекарств и пищевых добавок, например витамина C, о котором мы упоминали. Также может применяться высокоспецифичное генетическое или эпигенетическое редактирование в контексте конкретной миссии.
Описанные параметры клонального гемопоэза и даже реакция организма Скотта Келли на годичное пребывание на МКС зафиксированы в условиях действия земной магнитосферы. Когда мы двинемся в отдаленные части Солнечной системы и за ее пределы, риски возрастут. Если астронавт проведет год на Марсе, то получит дозу около 250 мЗв, а за 30-месячный путь к Марсу и обратно экипаж получит дозу примерно 1200 мЗв[16]. Конкретная доза радиации рассчитывается исходя из общей мощности галактических космических лучей, приходящих к нам от давно погасших далеких звезд, а также от протуберанцев нашего Солнца, активность которых во многом определяется 11-летним циклом. Эта активность хорошо заметна на поверхности светила по количеству солнечных пятен.
Ожидаемая доза облучения, которая будет получена всего за одну марсианскую экспедицию, приближается к совокупной дозе, которая по стандартам NASA считается допустимой для астронавта (сегодня она рассчитывается с учетом возраста и пола). Кстати, эти ограничения основаны на результатах исследования выживаемости тех, кто пережил атомные бомбардировки в Японии. На момент формирования описанных оценок данное исследование было наиболее полным анализом долгосрочных последствий сильного радиационного облучения, перенесенного человеческим организмом. Считается, что женщины сильнее мужчин рискуют заболеть раком в результате облучения. Такие выводы были сделаны не только на основе сравнительного анализа онкологий, возникающих в типично женских и мужских тканях (например, при сравнении рака молочной железы и яичников и рака простаты), но и изучения рака легких, риск которого у женщин в два-три раза выше, чем у мужчин. Правда, это исследование далеко не идеально с точки зрения оценки рисков облучения в космическом полете.
Приведу пример: совокупный предел для 25-летней женщины (1000 мЗв) ниже, чем для ее ровесника-мужчины (1500 мЗв) (рис. 5.1). Максимальное совокупное облучение с возрастом увеличивается, так как организму требуется больше времени для восстановления, а остаток жизни, естественно, сокращается. Например, совокупная доза облучения для 55-летних женщины (3000 мЗв) и мужчины (4000 мЗв) гораздо выше, чем для молодых астронавтов, и это опять же указывает на разницу эффектов в зависимости от продолжительности облучения при одной и той же дозе радиации. В настоящее время проводятся дополнительные исследования для уточнения этих моделей. Так, в Национальных институтах здравоохранения реализуется программа Million Person Study. Благодаря этим инициативам мы сможем лучше понять долгосрочные последствия для здоровья в условиях длительного облучения низкими дозами радиации. Естественно, наилучшими субъектами для сравнения являются сами астронавты, более подробную информацию о которых мы получим на этапе 3 (2041–2100 гг.), особенно в процессе расширения орбитального туризма и все более длительных экспедиций под эгидой NASA и других космических агентств.
Но дозы радиации, полученные жителями Хиросимы, Нагасаки и астронавтами, работающими на низкой околоземной орбите, меркнут в сравнении с дозами, которые будут получены в более далеких экспедициях, например к Европе, спутнику Юпитера. Юпитер обладает таким мощным гравитационным полем, что его магнитосфера может поспорить с солнечной. Юпитер захватывает частицы, которые концентрируются у полюсов, ускоряются и обрушиваются на ближние спутники. Всего за один день на льдистой поверхности Европы астронавт получит 5500 мЗв. Для сравнения: гемопоэз (процесс кроветворения в костном мозге) практически останавливается при 500 мЗв, а доза в 5000 мЗв вызывает катаракту. Таким образом, проведя всего сутки на поверхности Европы, человек рискует с 50 %-ной вероятностью умереть в ближайшие 30 дней. Конечно же, нам нужна защита.
Мы не спроста интересуемся планетами (и спутниками). Небесные тела хороши прежде всего тем, что накрывают нас своим «зонтиком», обеспечивая защиту от космического излучения практически даром. Планета, на которой вы стоите, закрывает вас от облучения снизу, так как радиация сначала должна преодолеть ее толщу[17]. Кроме того, планета укрывает вас атмосферой и позволяет спрятаться под поверхностью, в туннеле. Если же внешние средства защиты недоступны или неидеальны, то остается полагаться на защиту внутри организма – в глубине клеток, на уровне генов.
Как было показано в главе 4, уже известные нам факты о механизмах генетической защиты (и субстратах для них) подсказывают: генетическую защиту можно заимствовать у любого организма, будь то избыточные копии гена p53 у слона или ген Dsup у тихоходок. Также мы продолжаем учиться у экстремофилов и перенимать их уникальные адаптивные стратегии, которые, несомненно, вдохновят нас на прямую адаптацию к жестким экосистемам (в том числе инопланетным), порой немыслимым сегодня. Уроки, усвоенные в ходе прежних, нынешних и будущих космических экспедиций, помогут нам лучше понять, как человеческий организм реагирует на космические полеты, а в дальнейшем укрепить уже известные сегодня механизмы защиты от радиации.
Первый идеальный контур генетической радиационной защиты будет возводиться на основе инженерии генов TP53 и Dsup. Как уже говорилось, для этого потребуются специфичные исследования генной инженерии и компенсации дозы. Так мы сможем обеспечить радиационную устойчивость, избежав негативных последствий, которые могут возникнуть из-за чрезмерной экспрессии TP53 в клетке. Как только будет получена идеальная регулирующая структура, которая позволяет управлять общим уровнем и временем экспрессии, появится возможность добавлять один за другим новые гены – по одному за итерацию – и проверять, как на это реагирует клетка. Устойчивость к радиации могут обеспечивать и многие другие гены, часть из которых еще только предстоит открыть в природе, а какие-то удастся выявить, отслеживая активность клеточных механизмов у астронавтов во время полета. У Скотта Келли, например, в период годичной экспедиции серьезные изменения наблюдались почти в 8600 генах. Любые из этих генов, равно как и любые метаморфозы из этого списка, потенциально могут обеспечить радиационную устойчивость, начиная с репарации ДНК, удаления свободных радикалов и заканчивая оптимизацией механизмов и путей упаковки ДНК.
Однако, как показал Twin Study, в период космического полета активировались многие биохимические пути, связанные с теломерами, включая их длину, упаковку и поддержание. Хотя укорачивание теломер – характерный признак старения, это свойство сильно варьирует у разных людей, и пока неясно, к чему приведет модификация этих генов: к дополнительной защите или к опасным последствиям, например к раку. В период с 2021 по 2040 г. (этап 2) должно пройти масштабное тестирование этих генов и выбор наиболее перспективных кандидатов на роль «геномных протекторов» на этапе 3 (с 2041 по 2100 г.).
Дэвид Синклер в ходе исследований выявил новые гены, способствующие долголетию. Один из таких генов – SIRT1, кодирующий белок сиртуин-1. Скорее всего, если просто повысить экспрессию SIRT1 во всех клетках организма, это даст негативный эффект, особенно в подгруппах Т-хелперов, где ухудшается дифференциация клеток. Таким образом, если этот ген будет выбран в качестве мишени для модифицирования, его экспрессия должна быть контролируемой, специфичной в определенных клетках. Для гена SIRT1, как и для рассмотренного ранее CCR5, характерна плейотропия. Этот ген в принципе требует высокоспецифичного «тропизма» при нацеливании на работу в конкретных тканях, чтобы обеспечить варьирование уровня экспрессии в зависимости от типа клеток. Тропизм – это направление или наведение биоматериала в ответ на внешние стимулы. На клеточном уровне такой механизм подобен GPS. Например, определенные способы лечения заболеваний глаз (см. выше) применимы только в клетках сетчатки. В то же время есть вирусы, инфицирующие лишь определенные ткани. Так, вирус папилломы человека приживается только на коже или в шейке матки. Также упомяну исследования доктора Минь Ю, работавшей с циркулирующими опухолевыми клетками. Это раковые клетки, попадающие в кровоток и способные проявлять метастатический тропизм. В результате метастазы концентрируются в определенных частях тела, и их «адрес» зависит от профиля генетической экспрессии конкретных опухолевых клеток. Исторически было сложно бороться с таким тропизмом генно-инженерными методами, но мы полагаем, что к началу этапа 3 (2040 г.) этот механизм станет более понятным и даст начало инновационным терапевтическим методам.
В новых клинических подходах будут использоваться более точные карты тропизма и факторы транскрипции, специфичные для клеток определенных типов. Поэтому нужные генетические конструкции можно будет инкорпорировать во все клетки, но их экспрессию организовать только в тех клетках, где она желательна. Такие работы уже ведутся в рамках составления Клеточного атласа человека.
Следовательно, клетки сетчатки, меланоциты и теоретически любые другие типы клеток в организме космонавта можно будет модифицировать и перенастраивать, обеспечивая им совершенно новый уровень защиты. Например, можно дополнительно увеличить экспрессию гена MC1R в меланоцитах, чтобы помочь контролировать возникающие при облучении свободные радикалы, способные нанести серьезный ущерб клетке. Это, в свою очередь, может изменить экспрессию генов TP53 и Dsup, обеспечивая правильную клеточную реакцию. В такой искусственной системе, затрагивающей всего три гена, имеется несколько уровней защиты. Если пользоваться футбольной терминологией, то MC1R играет в защите, нейтрализуя свободные радикалы в клетках кожи. Dsup – это вратарь, защищающий ДНК от излучения. Наконец, TP53 – это арбитр, принимающий окончательное решение, как клетка должна реагировать на ситуацию, например запускать репарацию ДНК или апоптоз. Иными словами, MC1R и Dsup стремятся не допустить разрывов двойной спирали ДНК, а TP53 помогает определить, должна ли клетка погибнуть, в зависимости от количества разрывов двойной спирали.
Как же нацеливаться на конкретный тип клеток, например на меланоциты? Стремясь ответить на этот вопрос, Шаоцинь Гун и Кришану Саха из Висконсинского университета в Мэдисоне в 2019 г. разработали новый вид доставки CRISPR-системы с использованием нанокапсул. Эти крошечные синтетические контейнеры играют роль клеточной «экспресс-почты», доставляющей «посылки» к конкретным клеткам и тканям. На поверхности этих «курьеров» можно закреплять специфичные пептиды, помогающие капсуле не ошибиться с «адресом» и подводящие ее к клеткам нужного типа для последующего прикрепления при обнаружении нужных лигандов. Хотя нанокапсулы очень малы – всего по 25 нм в диаметре, в них свободно помещается крошечная молекулярная посылка. Гун и Саха продемонстрировали, что в капсулу можно поместить фермент CRISPR-Cas9, а также гидовую РНК.
Далее Гун и Саха протестировали ряд молекул для сшивки полимеров, пока те находятся в кровотоке, а в клетке такая сшивка быстро распадается, и полезный груз для редактирования генов попадает во внутриклеточную среду. При испытаниях in vitro человеческие клетки с готовностью поглощали подобные нанокапсулы, благодаря чему удавалось прицельно отредактировать до 80 % клеток при минимальных признаках токсичности. Внедряя такие нанокапсулы подопытным мышам, ученые смогли показать нормальный тропизм, позволяющий нацеливаться как на клетки сетчатки, так и на клетки поперечно-полосатых мышц и успешно их редактировать. Более того, нанокапсулы для редактирования генов сохраняли функциональность и после лиофилизации и восстановления. Это важно для масштабирования и адаптации такого метода. Данные результаты свидетельствуют об осуществимости высокоспецифичной персонализированной генной инженерии in vivo для конкретных типов клеток.

Рис. 5.3. Генетическая картина радиационной защиты. Пользуясь известными в настоящее время биохимическими способами противодействия радиации (обозначены черными), а также биохимическими способами, которые меняются во время космического полета, можно выстроить совершенно новые биологические сети, повышающие устойчивость организма к радиации и позволяющие людям выжить в более суровых условиях.
Но даже если удастся сконструировать человеческую клетку, которая (по нашим нынешним представлениям) идеально защищена от радиации благодаря конкретным сетям генов, проблемы на этом вряд ли закончатся. Во-первых, доработанные гены могут «отключаться» из-за бесчисленных эпигенетических механизмов, часть из которых упоминалась выше, например из-за модификации хроматина/гистонов. Во-вторых, гены могут «дрейфовать», так что со временем генетическая защита может перестать работать. Чтобы справиться с этими проблемами, можно просто не прекращать редактировать гены и модулировать их регуляцию.
Некоторые ученые, в частности Джонатан Вайсман и Федор Урнов, уже экспериментируют с этой идеей. В 2018 г. Управление перспективных исследовательских проектов Министерства обороны США (DARPA) инициировало проработку проекта под названием «Превентивная экспрессия защитных аллелей и элементов отклика» (PREPARE). Суть инициативы заключается в том, что предположительно можно избежать острой лучевой болезни, пользуясь методами эпигенетического редактирования и активируя нужные гены еще до того, как организм подвергнется облучению. Такой метод пригодится космонавтам в длительных экспедициях, а также военным в зоне радиоактивного заражения (например, после обмена ядерными ударами) и онкобольным, проходящим лучевую терапию. В 2019 г. Калифорнийский университет в Сан-Франциско, Калифорнийский университет в Беркли и Институт инновационной геномики получили от DARPA грант в размере $10 млн на реализацию этого проекта.
Вайсман и Урнов решили начать разработку с исследования кишечных органоидов – в сущности, это скопления клеток, достоверно имитирующие естественную трехмерную структуру такой ткани, которая в чашке Петри могла бы существовать только в виде клеточного монослоя. Затем они выполнили скрининг генов, способствующих защите от радиации, включая и выключая их при помощи механизма CRISPR-Cas9. Такой итеративный процесс избирательного включения и выключения генов позволяет быстро и напрямую проводить скрининг целевых функциональных элементов, которые далее можно отбирать и улучшать по принципу направленной эволюции.
Когда люди будут подолгу жить на Марсе, появится уникальная возможность взглянуть на эволюцию в совершенно новом свете. Все, что нам известно о естественном отборе, дрейфе генов и распространении аллелей, основано на наблюдениях всего за одной биосферой. Когда Марс будет обжит и на нем появятся новые поколения людей, возможно, станут заметны физиологические, органические или клеточные изменения, указывающие, как организм приспосабливается к новым гравитационным, радиационным и физическим условиям.
Если мы сможем обустроить вторую планету, где человечество и весь метавид будут жить независимо от земной популяции, то удвоим наши шансы уцелеть в случае экзистенциальных угроз. Но так мы только продлим срок нашего существования в Солнечной системе. После выхода за пределы Солнечной системы наши шансы на выживание в долгосрочной перспективе тем более возрастут. Мы давно подвергаемся рискам, которые угрожают не только нам, но и вообще жизни на Земле (например, столкновение планеты с астероидом). Нам определенно необходимо покинуть эту звездную систему в течение ближайших 5 млрд лет, иначе все живое сгорит в разросшемся великом светиле, благодаря которому мы получили шанс на жизнь. Поэтому следует выявить, протестировать и внедрить в организм генетические механизмы защиты. Но первым делом нужно обеспечить защиту астронавтам.
В ряду рисков, определенных NASA в контексте планируемых экспедиций, зеленым цветом можно обозначить решенные проблемы, желтым – связанные с незначительным риском, оранжевым – связанные с высоким риском, а красным – пока не решенные проблемы. Для астронавтов будущего самым серьезным фактором риска остается радиация (рис. 5.4). В качестве первой цели Марс подходит идеально, так как расположен относительно недалеко, его суточные циклы похожи на земные, там есть вода и вообще он обладает значительным потенциалом для терраформирования. Первой ступенью на лестнице сохранения нашего вида является конструирование организмов, способных выживать в марсианской экосистеме. Первые очаги марсианской эволюции и отбора могут появиться к 2100 г. и стать новой базой для направленной эволюции. После завершения этого этапа во второй половине «века биологии» и далее мы сможем внедрять человеку любые гены, клетки и даже органы других живых существ. К началу XXII в. мы сможем пользоваться всеми усвоенными на Земле уроками эволюции, чтобы выжить за пределами нашей планеты.


Рис. 5.4. Актуальные риски подразделяются на три категории: высокие, средние с частичным сглаживанием и без него и низкие, зависящие от характера экспедиции – куда придется отправиться экипажу и на какое время. По оси x откладываются определенные экспедиции (1–6), по оси y откладываются относительные риски в виде долгосрочных последствий для здоровья. Светлым показана вероятность, темным – последствия.
Модели нужны не для того, чтобы согласовываться с данными, а чтобы заострять вопросы.
СЭМЮЭЛ КАРЛИН,
американский математик
На этапе 4 мы начнем расширять границы возможностей человеческого генома, чтобы было не так опасно осваиваться в новых экосистемах, и постепенно обретать новый уровень свободы на клеточном уровне. В этот период генетика перестанет быть приговором. Врожденный набор клеток и генетический код человека больше не будут ограничивать его способности, регламентировать, кем ему быть или где жить. Первый шаг на этом пути – определение «защищенной» части генома человека, таких его регионов, которые должны функционировать и оставаться жизнеспособными независимо от условий и окружающей среды. Это позволит обеспечить эффективность и безопасность усовершенствования и модификации наших клеток, в особенности перед отправкой людей в дальние космические путешествия. Этот процесс будет включать добавление в клетку новых органелл (например, модифицированных митохондрий и хлоропластов для получения энергии), создание искусственных микробиомов на космических станциях и разработку химерных типов клеток. Инновации будут ускоряться благодаря международной конкуренции, а также соперничеству частных компаний.
К 2150 г. на Луне будет функционировать постоянная база, а на Марсе должно начаться строительство такой базы. В ту эпоху человеческие клетки станут более сложными, модифицированными и межвидовыми. Появятся не только гибридные клетки, но и гибридные организмы. В некотором смысле это неудивительно, учитывая, что в начале XXI в. такие технологии уже используются в терапевтических целях.
В китайском городе Ханчжоу есть большое, ничем не примечательное здание, где ведутся исследования в области регенеративной медицины и иммуноонкологии. При помощи новых иммуноонкологических методов с использованием генной инженерии создают странные химерные клетки, которые вводят пациентам. В этих клетках есть так называемые химерные рецепторы антигенов (CAR), которые представляют собой модифицированные белки-рецепторы, предназначенные для экспрессии на поверхности клеток (обычно Т-клеток) с целью их обогащения новыми функциями. Если представить, что T-клетка – это оружие для стрельбы в светлое время суток, то CAR действуют как прибор ночного видения и позволяют находить и уничтожать ранее невидимые цели.
Область иммуноонкологии и использование «живых препаратов», в частности CAR-T (иммунных Т-клеток с химерными рецептором антигена), стремительно меняют подход к лечению на фоне сдвига в сторону точной медицины и ускоренного развертывания новых методов в здравоохранении. Например, США запустили в 2016 г. программу Precision Medicine Initiative с целью перехода к персонализированному лечению максимально широкого спектра болезней. В 2017 г. Государственный совет Китая выпустил новые нормы, нацеленные на расширение использования больших данных в сфере здравоохранения, а конкретнее – на создание унифицированной платформы для медицинского обслуживания в масштабах всей страны. Особое внимание уделялось методам лечения с применением CAR-T.
Однако Т-клетки – не единственные игроки в иммунной системе, и не только они пригодны для модифицирования. Иммунная система состоит из многих типов клеток, которые можно подразделить на несколько групп. Во-первых, это миелоидные клетки, превращающиеся в эритроциты, гранулоциты, моноциты, тромбоциты и фагоциты, в том числе в дендритные клетки, макрофаги и нейтрофилы. Во-вторых, это лимфоциты, которые могут превращаться в B-лимфоциты (B-клетки), Т-лимфоциты (Т-клетки) и естественные киллеры (NK). Если миелоидная фракция плюс естественные киллеры составляют врожденную иммунную систему, то B- и T-клетки образуют адаптивную часть иммунной системы человека.
B-клетки созревают подобно виски в бочках, причем роль «бочек» в организме играют герминативные центры лимфоузлов. Там они настаиваются и производят специализированные антитела для борьбы с инфекцией, обнаруженной в организме (или готовятся противостоять другой инфекции в будущем). Когда-то T-клетки сравнивали со священным граалем иммунологии. Их отличительным признаком является наличие Т-клеточных рецепторов (TCR) на поверхности. Эти рецепторы открыл в 1984 г. Так Ва Мак. Эти клетки зарождаются в костном мозге, а затем дифференцируются на несколько типов Т-клеток (цитотоксические Т-лимфоциты и Т-хелперы) после того, как прибудут в вилочковую железу. Там Т-клетки «тренируются» обнаруживать при помощи своего TCR конкретные молекулы, которые обычно представлены главным комплексом гистосовместимости на поверхности других клеток. Адаптивные T- и B-клетки работают совместно друг с другом и врожденными естественными киллерами, помогая выявлять и устранять потенциальные угрозы. Вместе они образуют в организме мощную оборонительную систему.
Что касается генетически измененных Т-лимфоцитов, оснащенных комплексом CAR, они должны работать так: CAR сопоставляется с антигеном, который, как ожидается, должен находиться на поверхности клеток искомого типа. Например, это может быть антиген CD19[18] (здесь CD означает кластер дифференцировки, механизм, при помощи которого определяется тип клетки). Таким образом, терапия с применением CAR-T опирается на совокупные возможности естественного иммунитета и целенаправленной генной инженерии. Такая терапия ориентирована прежде всего на лечение рака. Известно, что T-клетки естественного происхождения нацеливаются почти исключительно на пептиды, представленные главным комплексом гистосовместимости, поэтому могут взаимодействовать только с такими клетками, у которых нормально работает презентация пептидов через этот комплекс. В свою очередь, CAR-T могут нацеливаться как на пептиды, представляемые комплексом, так и практически на любые другие молекулы, которые находятся на поверхности клетки.
Но создать их непросто. Персонализированные и генно-модифицированные иммунные клетки получают в лаборатории в очень специфических и строго контролируемых условиях. Небольшие изменения влажности, температуры, факторов роста и тонких молекулярных отличий могут привести либо к катастрофической гибели клеток, либо к формированию чистой активной популяции генетически измененных клеток. Эти клетки необходимо взять либо у пациента (аутологический способ), либо у донора (аллогенный способ), генетически изменить, размножить и отобрать, сопровождая этот процесс постоянным контролем качества, чтобы исключить загрязнение. Готовый продукт должен пройти дополнительный контроль качества, чтобы подтвердить отсутствие патогенов в биоматериале, подтвердить его функциональность и общую жизнеспособность.
Первые CAR-T, использованные в клинической практике, характеризовались как «первое поколение» и содержали всего одну внутриклеточную сигнальную молекулу CD3ζ. Есть два основных варианта модификации клеток. Прежде всего можно менять белки, входящие в состав мембраны Т-клетки (внутриклеточный подход) и/или за пределами клеточной мембраны (внеклеточная). Клетки первого поколения CD19-CAR-T и CD20-CAR-T в 2010 г. применялись для лечения рецидивирующей лимфомы и, как оказалось, были очень неустойчивы: уже через семь дней после терапии CAR-T не фиксировались в биохимических анализах. Явная токсичность у такой терапии обнаружена не была, но в целом это было связано с общей неустойчивостью препаратов и тем, что они не дают противоопухолевого эффекта. Далее появились CAR второго поколения, где в рецептор вшивались костимуляторные домены (например, CD28 или CD137), благодаря чему модифицированные клетки активировались подобно нативным. CAR второго поколения, впервые опробованные при лечении B-клеточной лимфомы, отличались резко повышенной устойчивостью, давали противоопухолевый эффект и синтезировали интерлейкин-2. Затем появились CAR третьего поколения, в которых достоинства предыдущей версии рецепторов попытались удвоить, включив в них две костимулирующие молекулы с целью улучшить контроль над такими клетками in vivo[19].
К 2016 г. были разработаны CAR четвертого поколения, модулирующие производство цитокинов и антител. Предполагалось, что с их помощью удастся еще активнее привлечь к делу эндогенные иммунные ресурсы пациента. В ходе работы, которой я занимался в течение 2020 г. в лаборатории Вейля при Корнеллском университете, удалось показать, что иммунный ответ, устойчивость и даже метаболизм клеток CAR-T зависят от их стимулирующих доменов и дизайна. Кроме того, определенную роль в терапевтическом потенциале и при производстве цитокинов может сыграть соотношение подтипов тех Т-клеток, на основе которых были получены искусственные Т-клетки. Чем выше соотношение CD8/CD4[20], тем устойчивее новые T-клетки. CAR-T-терапия – это сильнодействующий метод, и он дает различные осложнения, включая смерть, неврологические расстройства, полиорганную токсичность, цитокиновые штормы и синдром высвобождения цитокинов.
Но трудности не охладили энтузиазм в отношении подобных терапевтических методов. К 2020 г. в мире проводилось уже более 500 клинических исследований с применением CAR. В 2016–2018 гг. – преимущественно в Китае – было инициировано больше клинических исследований, затрагивающих CAR, чем за все предыдущие годы. Примечательно, что в совокупности США и Китай инициировали > 80 % клинических исследований CAR, которые указаны на сайте https://clinicaltrials.gov.
Но идеи для клинических исследований – это только начало. Даже при использовании клеток донора, совместимого с реципиентом по показателю HLA (лейкоцитарный антиген человека), подготовка терапии остается деликатным, крайне длительным и трудоемким процессом. Разрабатываются различные модификации CAR-клеток, в частности генерируются «универсальные» CAR-клетки, создаваемые из клеток здоровых доноров. Если бы можно было создавать CAR-клетки, «готовые к использованию», подобные существующим препаратам на основе антител, то CAR-терапию удалось бы быстро и широко приспособить для лечения многих болезней.
Компания Cellectis уже показала, что это осуществимо. Крайне привлекательна идея создания стабильного банка готовых клеточных препаратов, произведенных от несовместимых доноров. Но если HLA-антигены у донора и реципиента отличаются, то может развиваться воспаление, синдром высвобождения цитокинов, отторжение тканей и болезненные осложнения, обусловленные патологической реакцией «трансплантат против хозяина». Чтобы обойти эти проблемы, компания Cellectis изготовила Т-клетки с отредактированными компонентами CD52 и TCR, которые снижают вероятность такой реакции. Эти клетки были дополнительно модифицированы для нацеливания на CD19. Для этого подбирались донорские клетки, совместимые с клетками реципиента по антигену HLA. Такой метод дал положительный эффект и зарекомендовал себя как безопасный в 2020 г. при лечении двух пациентов с рецидивирующей рефрактерной формой B-клеточного острого лимфобластного лейкоза.
Сейчас применяются и другие подходы к клеточной инженерии, в частности производство клеток CAR-T внутри организма при помощи нанотехнологий и разработка «логических» CAR-T-клеток, которые могут находиться в состоянии «вкл.» и «выкл.», а также «и/или» и «и/не». Это позволяет предотвратить или ограничить побочные эффекты и одновременно обеспечить возможность специфичного нацеливания на еще более разнообразные типы клеток. CRISPR-Cas9 и вариации этих методов редактирования генов также используются для более точной инженерии Т-клеток и расширения их применения при лечении разных видов рака. Такие клетки могут работать и в микросредах, где они в противном случае просто не могли бы сориентироваться. В 2015 г. варианты CAR-T-терапии были испытаны при лечении буквально нескольких типов рака. В конце 2020 г. насчитывались уже десятки видов онкопатологий (солидных и жидкостных), которые активно тестировались с применением такого подхода в рамках клинических исследований.
Кроме CAR есть еще два вида адоптивной клеточной терапии (ACT), при которых собственные иммунные клетки пациента используются для лечения поразившей его болезни. Речь идет об опухоль-инфильтрирующих лимфоцитах (TIL) и генетически измененных клетках с новыми TCR. TIL – это активные лимфоциты, проникающие в опухоль или ее ближнее окружение. Их можно модифицировать для повышения активности, и они дают многообещающие результаты при лечении меланомы и рака шейки матки. Другой вариант ACT-терапии заключается в модификации Т-клеток с помощью TCR из других клеток. TCR, имеющие сильный противоопухолевый эффект в организме одного пациента, можно адаптировать для лечения других пациентов, типизированных по общему HLA. Это достигается путем интеграции таких последовательностей в собственные клетки пациента. Правда, учитывая, что большинство Т-клеточных рецепторов участвуют в презентации главного комплекса гистосовместимости, они не очень применимы в универсальной среде. Терапевтические методы на основе TCR дают определенный эффект, так как токсикологический профиль у них в целом безопаснее, чем у клеток CAR-19. Правда, среди всех видов адоптивной клеточной терапии, применявшихся в клинической практике к концу 2020 г., наибольших успехов удалось достичь именно с CAR.
К 2021 г. в мире десятки тысяч людей носили в себе генетически модифицированные гибридные клетки. Описанные виды терапии привели к фундаментальному изменению подходов к лечению заболеваний и представлений о пределах пластичности живой материи. Биология – это не пассивная и не замкнутая наука. На современном уровне развития биологии мы способны сознательно работать над созданием новой жизни. Такие операции совершаются за минуты и такими способами, на разработку которых у эволюции могло не хватить времени. Это касается не только иммунных, а любых клеток любых существующих и будущих видов. На Земле уже существуют гибриды, на которых мы можем практиковаться, проверяя, как подготовить жизнь к освоению новых планет.
В водах близ Бостона и Нью-Йорка встречаются странные мелкие зеленоватые гибридные морские слизни вида Elysia chlorotica. Эти уникальные животные способны приобретать свойства растений, заимствуя полнофункциональные фотосинтезирующие хлоропласты прямо из тех водорослей, которыми питаются. Этот процесс называется «клептопластия» и буквально означает «кражу» плазмид (хлоропластов) или органелл. Хотя поглощение ДНК и обмен мобильными генетическими плазмидами обычное явление у бактерий, у более крупных организмов такое заимствование целых систем встречается редко.
E. chlorotica, которых называют «морские слизни на солнечных батареях», используют хлоропласты в качестве камуфляжа для защиты от хищников. Как правило, клетки водорослей имеют толстую и жесткую стенку, предохраняющую их от разрыва и проникновения каких-либо микроорганизмов извне. Как же в таком случае слизни перетаскивают хлоропласты к себе в организм? Естественно, через «соломинку»! В организме слизня есть встроенная молекулярная «соломинка», позволяющая протыкать клеточную стенку водоросли и высасывать хлоропластовое содержимое. От этого слизень сочно зеленеет. Если он не будет в достаточном количестве употреблять такие «овощи» (хлоропласты), то станет бурым с красными пигментными пятнами.
Как ни удивительно, хлоропласты могут месяцами, а то и годами сохраняться в крупной и ветвистой пищеварительной системе (позеленевшего) морского слизня. Его фагоциты функционально во многом подобны человеческим, поэтому они легко поглощают водоросли, а затем интегрируют их хлоропласты в собственные биосистемы. Хлоропласты, став частью другого организма, остаются работоспособными: улавливают солнечный свет, синтезируют сахара, выделяют кислород. Поначалу считалось, что хлоропласты нужны этим жутковатым брюхоногим для выживания, но оказалось, что животные прекрасно чувствуют себя и без фотосинтеза. Исследователь Свен Гулд показал, что и в темноте слизни не теряют вес и остаются здоровы. Поэтому для них фотосинтез – в известной степени роскошь. Можно сказать, что «воровство» зеленого добра и использование хлоропластов в качестве внутреннего украшения доставляет им удовольствие.
Однако возникает вопрос: как же хлоропласты не просто выживают внутри этих маленьких зеленых воришек, но и продолжают функционировать? В обычном растении на содержание хлоропластов уходит 90 % жизненно важных белков, вырабатываемых в ядре растения-хозяина. В сущности, хлоропласты ведут себя как ненасытные прихлебатели. Очевидно, морские слизни научились удовлетворять потребности поселившихся в них хлоропластов, но как? В поисках генов, которые могли бы способствовать фотосинтезу и выживанию хлоропластов, Джеймс Манхарт и другие исследователи заметили в ДНК морских слизней ключевой водорослевый ген psbO. Ген psbO жизненно важен, так как кодирует стабилизирующий марганец белок, входящий во вторую фотосистему хлоропласта.
Самое главное, что последовательность оснований ДНК в гене морских слизней и гене водорослей почти идентичны. Похоже, моллюск давным-давно позаимствовал этот ген у водорослей и оставил себе. Возможно, здесь мы имеем дело с удивительным случаем «горизонтального» переноса генов – не по наследству, а от одного организма к другому, неродственному. Этот механизм отличается от «вертикального» переноса, где гены передаются от родителей потомкам.
Но как ученые убедились, что это именно горизонтальный перенос генов? Первые исследования показали, что этот ген уже присутствует в половых клетках E. chlorotica. Однако, когда была исследована их РНК, выяснилось, что эти гены неактивны. Следующий анализ, проведенный в 2017 г., показал, что в пользу присутствия искомого гена в зародышевой линии ДНК у слизня существует не так уж много доказательств. Поэтому завеса тайны вокруг выживания хлоропластов, захваченных E. chlorotica, сохраняется до сих пор. Как бы то ни было, их выживаемость не вызывает сомнений, и свою роль в этом может играть горизонтальный перенос генов.
Еще один пример горизонтального переноса генов – тихоходки, которых сравнивают с водяными мишками и которые могут выжить даже в открытом космосе (о них мы говорили в главе 4). Тихоходки могли приобрести десятки генов путем горизонтального переноса. Процесс межвидового обмена «мобильными генами», который является ключевым фактором эволюции, вполне можно перенести в совершенно новый контекст и использовать для дальнейшего пополнения генетических функций и возможностей.
А могли бы люди последовать примеру E. chlorotica, этих вороватых созданий, и заняться фотосинтезом вместо потребления традиционной пищи? Если мы хотим, чтобы хлоропласты функционировали в человеческом организме, то нужно выполнить ряд серьезных условий. Прежде всего хлоропласты должны находиться в клетках кожи. Для этого наш иммунитет не должен отторгать их, а меланин (пигмент, придающий коже цвет) не должен мешать работе хлоропластов. Кроме того, сами хлоропласты должны выжить и остаться функциональными, что, как показывает E. chlorotica, вполне возможно.
Далее хлоропласты должны эффективно захватывать фотоны, обосновавшись в новом хозяине (человеке). Ни одна химическая реакция не протекает со 100 %-ной отдачей в силу второго закона термодинамики, биофизических пределов эффективности и прочих огрехов. Итак, какой же процент солнечной энергии смогут усваивать новые «растительные люди»? Согласно имеющимся оценкам, у растений эффективность этого процесса составляет примерно 5 %. Поэтому можно предположить, что новые «хлорокожные» клетки будут действовать аналогично.
Следующий вопрос: сколько энергии можно получить от такой «хлорокожи»? В среднем площадь кожи у человека составляет 1,7 м2, но даже если полностью обнажиться, подставить солнцу удастся максимум половину этой площади (например, лежа на животе). В ясный день уровень солнечной энергии достигает 300 Вт/м2 – этого достаточно, чтобы запитать обычную электрическую лампочку примерно на три часа. По консервативной оценке, фотосинтез в хлоропласте протекает с 75 %-ной эффективностью. При таких входных данных хлорокожа будет генерировать всего 34 кДж/ч. Человеку средней комплекции для выживания требуется примерно 10 млн джоулей энергии ежедневно.
Следовательно, для нормального функционирования организма человеку потребовалось бы провести 290 часов под ярким полуденным солнцем, чтобы получить достаточно энергии для существования в течение суток. Однако процесс можно ускорить, увеличив поверхность кожи. Если увеличить площадь эпидермиса в 300 раз (1,7 м2 × 300), примерно до пары теннисных кортов, то тогда растительному человеку хватит всего лишь часа для полной подзарядки. Он сможет в обеденный перерыв раскинуть свою кожу где-нибудь на пустом поле, вздремнуть часок и подзарядиться, а потом свернуть кожу и отправиться по делам.
Если в животном мире существуют любители похищать даже хлоропласты, то что уж говорить о более мелких и подвижных молекулах. В 2010 г. Ален Робишон обнаружил повышенные уровни каротиноидов у тлей. Само по себе это не странно, учитывая, что каротиноиды обеспечивают у животных различные клеточные функции, в частности зрение, пигментацию и переработку витаминов. Любопытный момент заключается в более ранних исследованиях Нэнси Моран и Тайлера Джарвика, показавших, что в рационе тлей каротиноиды отсутствуют. Считалось, что оранжевые и красные органические пигменты, придающие характерную осеннюю гамму тыквам и помидорам, синтезируются только высшими растениями, водорослями, бактериями и грибами. И вдруг появляется насекомое, которое, похоже, способно производить их самостоятельно.
Робишон с коллегами решил выяснить, для чего маленькие тли накапливают столь высокие уровни каротиноидов, синтезированных или украденных. Они заметили, что клетки с высоким содержанием каротиноидов также характеризуются повышенным уровнем аденозинтрифосфата (АТФ) – в сущности, клеточного топлива. Затем было установлено, что уровень АТФ меняется в зависимости от того, как долго насекомое пробудет на свету. Если посадить тлей в хорошо освещенное место, то уровень АТФ пойдет вверх, а в темноте уровень АТФ снижается. Решив тщательнее исследовать реакцию тлей на свет, команда разделила насекомых на две группы: с высоким и с низким уровнем каротиноидов. Как и ожидалось, группа с более высоким содержанием каротиноидов оказалась способна поглощать больше света. В дальнейшем исследователи показали, что каротиноиды расположены близко к поверхности тли (на глубине 0–40 нм). Именно так и должно быть, если эти молекулы используются для улавливания солнечного света.
В 2012 г. Моран и Джарвик провели филогенетический анализ, в ходе которого обнаружили у насекомых гены, практически аналогичные генам грибов, отвечающим за биосинтез каротиноидов. Энтомологи исследовали 34 вида тлей из разных регионов мира и заметили, что у всех них есть как минимум по одной копии этого гена (ликопенциклазы/фитоинсинтазы), а у некоторых видов – до семи. Во всех грибных геномах – по одной копии этого гена. Ближайшие живущие родичи тлей – это хермесы, и у них также прослеживается наличие такого биохимического пути. Следовательно, если время позволяет, гены могут перекочевать из одного царства живых организмов в другое и наделять их обладателей совершенно новыми функциями.
Важно, что это не единственные примеры перехода генов от одного организма к другому. Известен горизонтальный перенос генов от бактерий к грибам (Saccharomyces cerevisiae, пекарские дрожжи), от бактерий к растениям (Agrobacterium), от бактерий к насекомым (жукам и постельным клопам), из органеллы в органеллу (у паразитов раффлезиевых), между растениями (от роголистника к папоротникам), от грибов к насекомым (как в вышеописанном примере с тлей гороховой), от человека к паразиту (Plasmodium vivax, возбудителю трехдневной малярии), от вируса к растению (вирус табачной мозаики), а также, возможно, от растений к животным (вышеприведенный пример с морскими слизнями). Наиболее масштабный горизонтальный перенос генов, известный науке, происходит от бактерий к животным, а именно к мелким первичнополостным животным, обитающим в пресной воде, влажном мхе или в почве, – бделлоидным коловраткам. Примерно 8 % генов коловраток заимствованы у бактерий.
Наиболее впечатляют такие случаи горизонтального переноса генов, в которых это явление становится массовым. Согласно теории эндосимбиоза, объясняющей происхождение митохондрий и хлоропластов, когда-то эти «минибактерии» были поглощены эукариотическими клетками или поселились в них. Но там они не погибли и не распались, а вступили в союз с клетками и с тех пор живут в симбиозе. Так происходило перемещение не просто одиночных генов, но и целых сетей, мембран. Например, за синтез АТФ в человеческих клетках отвечает не «человеческий» компонент генома, а именно митохондрии.
Примечательно, что перенос генов из митохондрий в геном человека и наоборот до сих пор продолжается. Ядерные митохондриальные сегменты в ДНК (NUMT) являются результатом этого взаимодействия. Они формируются именно в тех участках ДНК, куда перекочевали митохондриальные гены. ДНК в наших клетках работает независимо от происхождения. Таким образом, наши генетические сети, прокладываемые в клетке, не зависят от ее исторического развития. Их местоположение определяется только потребностями клетки. Этот принцип, справедливый для земной жизни, вполне может действовать и во внеземной.
Учитывая такие распространенные примеры межвидового обмена ДНК, вполне естественно попробовать осуществить такие операции в человеческих клетках. Поскольку наша эволюционная линия несет в себе эволюционные уроки только за несколько последних миллионов лет, нам есть что почерпнуть из материала, наработанного за миллиарды лет общей биологической эволюции, особенно если речь идет о выживании на далеких планетах.
Какими бы увлекательными ни были возможности переноса генов от одних видов к другим, еще более удивительным является акт превращения одной клетки в любую другую. Учитывая, что в каждую клетку уже заложена информация, необходимая для ее функционирования в любой части организма, должна существовать возможность превращения одних клеток в другие при наличии подходящего генетического и эпигенетического инструментария и рычагов воздействия. Речь идет о любых клетках, от крови до эпидермиса, и даже о тотипотентном клеточном состоянии, которое может дать начало зарождению детеныша.
Существует большой массив работ, посвященных стволовым клеткам, индуцированным плюрипотентным стволовым клеткам (iPSC) и перепрограммированию клеток. iPSC, как правило, синтезируются из взрослых соматических клеток (например, клеток крови или кожи), а затем помещаются в специальную смесь из транскрипционных факторов и питательных веществ. Поскольку iPSC очень похожи на эмбриональные стволовые клетки (ESC), они вдохновили целые сообщества врачей и исследователей на смелые мечты. Калифорнийские законодатели так заинтересовались перспективами ESC, что даже в противовес федеральному запрету запустили в 2005 г. собственную программу финансирования исследований, связанных со стволовыми клетками («Программа-71»).
Правда, невозможно просто уговорить клетку сделать все, что вы от нее хотите, – для этого требуются специальные молекулярные приманки. В 2006 г. Синъя Яманака и Джон Гердон впервые продемонстрировали, что можно перевести (завершившую развитие) дифференцированную клетку в плюрипотентное состояние. Они использовали мышиные фибробласты и четыре специально подобранных фактора транскрипции – Sox2, Oct4, Klf4 и c-Myc, которые теперь называют «факторы Яманаки». В 2007 г. были получены человеческие индуцированные плюрипотентные клетки из кожных фибробластов. Это было великое открытие не только потому, что оно пролило свет на основы клеточной дифференциации, но и потому, что отпадала нужда умерщвлять эмбрионы, а такая практика, естественно, имела большой общественный резонанс. Как ESC, так и iPSC демонстрировали плюрипотентность, быстрое самообновление и другие подобные паттерны экспрессии генов.
Через шесть лет после того, как в США был введен федеральный запрет на исследования с использованием ESC-клеток, появился новый способ его обхода. Правда, iPSC не идентичны ESC, исследования индуцированных плюрипотентных клеток только начинаются. Одно из основных опасений – возможность образования опухолей. Если напрямую ввести пациенту ESC или iPSC, возникает риск возникновения тератомы. В изучении опухолей тератома подобна злокачественному плоду. Как и у эмбриона, в ней прослеживается три слоя: эктодерм, эндодерм и мезодерм. Некоторые приобретают особенно уродливые формы: так, у тератомы могут вырасти зубы и волосы. В случае iPSC риск образования опухолей особенно велик, поскольку в них принудительно запускается чрезмерная экспрессия некоторых онкогенов, а при создании таких новообразований действует давление искусственного отбора. Кроме того, учитывая, что такие клетки получают из тканей взрослого организма, всегда есть вероятность наличия в них дополнительных мутаций (как при клональном гемопоэзе), которые могут быть онкогенными. К тому же экспериментально установлены явные отличия как в эпигенетических, так и в транскрипционных картинах этих клеток. Даже после многолетних экспериментов iPSC не заменили ESC ни в исследовательской, ни в терапевтической сфере.
Тем не менее у iPSC есть много преимуществ, которые недостижимы при работе с ESC. Учитывая, что ESC получают из эмбрионов после прерванной беременности, а iPSC производятся из соматических клеток человека, iPSC, в сущности, могут использоваться в качестве суррогатного близнеца этого человека. Для создания таких реплик у пациента берут кровь, клетки крови преобразуют в iPSC, а затем дифференцируют на разнообразные типы клеток, которые могут использоваться для моделирования конкретных тканей пациента. Например, человек с семейным боковым амиотрофическим склерозом (примерно 5–10 % случаев) получает шанс превратить собственные фибробласты в двигательные нейроны (которые как раз поражает болезнь). Затем их можно использовать в качестве скринингового препарата, при помощи которого можно подыскивать подходящую терапию для пациента. В больших когортных исследованиях такой метод помогает прояснить механизм болезни и опробовать новые варианты лечения. В сущности, любое генетическое заболевание, затрагивающее строго один тип клеток или ткань, может быть излечено таким способом.
Как ESC-, так и iPSC-клетки человека плюрипотентны, но не тотипотентны. Строго говоря, тотипотентной считается такая клетка, которую можно поместить в вителлиновый слой (это первичная защитная оболочка ооцита, богатая питательными веществами), а потом перенести в естественную или искусственную матку и дождаться развития полноценного потомства. Плюрипотентные клетки могут породить все ткани, слагающие взрослый организм, но не могут сформировать все ранние онтогенетические слои, из которых затем развивается зародыш, например слой трофобластов, превращающихся в плаценту.
По ряду причин нам еще только предстоит выяснить детали этих процессов, например когда ESC-клетки следует брать у эмбриона, каким способом, в какой культуре они должны выращиваться. Есть даже философский вопрос «субъектности». Примерно в течение двух первых недель эмбрионального развития из любой клетки эмбриона можно «вырастить» его идеальный клон. Можно взять у эмбриона любую клетку, часть или половину клеток – и создать близнеца. Именно так в природе зачастую формируются двойняшки (такие как Марк и Скотт Келли) или тройняшки. Но примерно на 14-й день беременности у эмбриона образуется первичная полоска, задающая для него своеобразные «оси координат»: у него появляется верх и низ, левая и правая, передняя и задняя стороны. С возникновением этой полоски (она хорошо просматривается как дифференцированная линия чуть ниже середины зародыша) он становится индивидуальным эмбрионом, больше не может размножиться на сотни людей, а станет конкретной личностью. Вот почему большинство ESC не культивируют дольше 14 дней.
Более того, работать с ESC бывает очень сложно и с чисто научной точки зрения, так как зачастую они спонтанно дифференцируются, если окажутся в изоляции. Словом, в клеточной культуре они ведут себя очень своенравно. В настоящее время активно разрабатываются новые способы получения тотипотентных клеток, в том числе с применением все более сложной инженерии. Так, пытаются заглушать сигналы, провоцирующие дифференциацию, менять условия культуры (см. выше об исследованиях Али Бриванлу). В самом деле, наша способность превратить любую клетку (претерпевшую нуклеацию) в любую другую клетку сводится к умению оперировать нужными рычагами. Если бы мы знали полный эпигенетический код человека и умели модифицировать любой локус ДНК, молекулу РНК и состояние гистона, то теоретически могли бы преобразовать любую клетку в какую угодно другую, причем в любой момент. Единственной реальной проблемой тогда было бы поддержание этого клеточного состояния. Данная научная дисциплина еще очень молода, но со временем на все вопросы найдутся ответы.
Идея полной клеточной гибкости не так уж нова. Давно известна концепция партеногенеза – способа неполового размножения, при котором эмбрион может сформироваться без оплодотворения, однако она так и остается нереализованной до наших дней, по крайней мере у млекопитающих. Но партеногенез, как и любую генетическую функцию, можно реализовать методом генной инженерии, поскольку нам уже есть на что опираться. В принципе, кроме ребенка от двух или от одного родителя можно перейти к получению детей от трех и более родителей либо даже позволить двум мужчинам или двум женщинам завести собственного генетического потомка. Все эти возможности – вопрос генной инженерии.
В 2004 г. две самки мыши стали первыми млекопитающими, от которых было получено потомство с использованием исключительно материнского генетического и клеточного материала в эксперименте, проведенном Томохиро Коно. Исторически это считалось невозможным, поскольку плод получает от каждого из родителей специфичные генетические модификации (именуемые импринтигом), которые закладываются на этапе формирования яйцеклетки и сперматозоида. Процесс импринтинга обеспечивает экспрессию генов, специфичных для конкретного пола, в зависимости от того, от кого получен ген – от матери или отца. Работы Одеда Рехави и других специалистов показали, что импринтинг сохраняется даже через поколение. Но до выхода статьи Коно в 2004 г. было неизвестно, не окажется ли геномный импринт непреодолимым барьером для партеногенеза.
Коно и его группа создали ооцит с гаплоидным набором (содержащим всего один набор хромосом, а не два, как обычно) из двух материнских мышиных геномов. Получение потомства из такой клетки – это партеногенез. Однако для этого требовалась определенная сборка и доработка. Ученые изменили экспрессию двух ключевых регулирующих генов (lgf2 и H19), а также некоторых других импринтированных генов, вырезав в H19 большой участок (13 килооснований). В итоге две матери стали бабушками, когда их дети сами обзавелись потомством. Эта новаторская работа показала, что жизнеспособных особей можно получить и без участия самцов (по крайней мере у мышей).
Но могут ли и самцы размножаться без участия самок? Оказывается, могут. В 2018 г. Ли Вэй, Чжоу Ци и Ху Баоян продемонстрировали, что два самца также могут иметь генетическое потомство, однако для его вынашивания и рождения все равно требуются самки (вот вам еще одно применение экзоматок). Ли и его коллеги получили необходимую культуру из гаплоидных эмбриональных стволовых клеток (haESC), которые, в свою очередь, были синтезированы из очищенных яйцеклеток или сперматозоидов – в данном случае именно сперматозоидов. Проблемы, обусловленные импринтингом, сохранялись и здесь, поэтому ученые удалили при помощи технологии CRISPR-Cas9 те участки генома, которые участвуют в импринтинге. Они воспроизвели операции, проделанные в 2004 г., и отметили, что для получения детенышей только от самок требовалось удалить всего три фрагмента, а с самцами процесс оказался более сложным и потребовал удаления семи фрагментов. Кроме того, для запуска однополого мужского эмбриогенеза все равно нужна донорская яйцеклетка (строго говоря, получается потомок от трех родителей, так как у него есть еще и митохондриальная ДНК). После этого Ли с коллегами раздельно ввел haESC в сперматозоиды и в незрелые яйцеклетки, из которых были удалены ядра. Потомство вновь получилось жизнеспособным.
Таким образом, когда-нибудь два человека любого пола (мужского или женского) смогут заводить детей. Кроме того, несложно представить процесс, при котором генетическая модификация позволит получать из женских iPSC-клеток сперматозоиды, а из мужских – яйцеклетки. Оба этих вида клеток смогут полноценно развиваться в экзоматках.
С этической точки зрения это почти полная свобода родительства и «клеточная свобода». Отделение биологического пола от репродуктивной функции означает дополнительную автономию и вписывается в деонтогенную этику. При использовании экзоматок детей можно будет заводить без участия полового партнера или при разных комбинациях родителей. К 2150 г. можно будет стать матерью, даже не рожая, заводить детей от однополых, разнополых и более чем от двух родителей. Так биологическая инженерия открывает путь в новую эру полной клеточной, репродуктивной и родительской свободы.
К 2150 г. благодаря прогрессу в области клеточной и генной инженерии границы между зародышевыми и соматическими клеточными линиями во многом сотрутся. К тому времени модификация тканей взрослого человека будет осуществляться так же легко, как и редактирование зиготной зародышевой линии. Скорее всего, существенная часть населения США пройдет зиготное редактирование или будет потомством тех, кто прошел его. Благодаря возможности устранять генетические заболевания еще до рождения ребенка (а следовательно, удалять болезнь из всей генетической линии) потребность в соматических модификациях для лечения таких заболеваний уменьшится. Практическое применение генной инженерии в медицине будет ограничиваться коррекцией расстройств, вызванных вредным воздействием окружающей среды (включая рак и инфекции) или возрастными изменениями. Общее использование соматической инженерии в этот период скорее сместится в сторону более избирательных процедур вроде эстетического вмешательства или временных эпигенетических изменений. Например, редактирование генома астронавтов, направленное на повышение радиационной устойчивости, можно проводить как у взрослого человека, так и на зиготной стадии развития.
Большая часть биологических исследований будет сосредоточена на улучшении геномов путем комбинирования генетических элементов от разных видов или от синтезированных химер в противовес исправлению генов, т. е. подходу, типичному для XX в. Разница между временными и постоянными изменениями постепенно будет стираться, поскольку появится возможность отменить любое генетическое изменение при помощи дополнительной соматической инженерии. Единственный вопрос заключается в том, сохранится ли конкретная модификация без дополнительных вмешательств (в таком случае она генетическая) или нет (тогда она эпигенетическая).
Клеточная и генная инженерия станет такой обыденностью, что даже ученики старших классов будут получать в качестве домашнего задания проекты по генетической модификации. Такой проект можно будет обдумать, глядя из окна на Луну, на которой светятся огоньками размещенные там базы. Инженерия жизни на Земле будет касаться не только людей, но и животных. Генная инженерия позволит землянам жить так, как они захотят. Следующий рубеж – позволить людям жить везде, где они захотят за пределами Земли. Все биологические виды (воссозданные, сохранившиеся и заново созданные) будут использоваться, чтобы понять, как адаптировать людей и других живых существ к космическим полетам и жизни в космосе.
В сущности, все модели неточны, но некоторые из них полезны.
ДЖОРДЖ БОКС,британский статистик
К 2151 г. генетическое редактирование, надо полагать, распространится повсеместно и станет безопасной практикой. Орбитальные станции появятся не только у Земли, но и у Луны и Марса. Тяжелые наследственные заболевания будут в большинстве своем изучены и исключены из генома человека. Дальнейшее технологическое развитие на основе наработок XXI в., таких как CAR-T, будет связано с модификацией, а впоследствии и с созданием совершенно новых клеточных и иммунных функций. При этом будут использоваться новые типы клеток (позаимствованные у других видов или полученные в результате комбинирования человеческого и нечеловеческого материала). Далее мы сможем постоянно отслеживать в организме такую биотерапию, клеточные усовершенствования и усваивание новых типов клеток. Возможные проблемы мы будем обнаруживать еще до того, как они проявятся. Благодаря постоянному исследованию таких модификаций и интеграции генетических элементов путем переноса их из одних организмов в другие – такая практика будет освоена на этапах 3 и 4 – мы научимся приспосабливать естественные генетические элементы к выполнению новых ролей. Также мы начнем создавать новые синтетические гены и генетические сети.
Этот клеточно-инженерный базис позволит осуществлять «профессиональные» улучшения генов для повышения безопасности определенных специальностей. Например, перед отправлением с Земли астронавты могут пройти соматическую генную инженерию, которая снизит риски для здоровья: повысит радиационную устойчивость, улучшит отклик на инсулин, поможет отслеживать и предотвращать рак. Можно представить даже модификацию генов, обеспечивающую энергосбережение. Например, можно сократить дозу кислорода, требуемую для функционирования клеток или для поддержания метаболомического профиля. Астронавт будет на клеточном уровне подготовлен к условиям космической экспедиции. Даже тем, кто захочет просто жить в уже обустроенных безопасных районах за пределами Земли, скорее всего, придется перед переселением пройти минимальное генно-инженерное вмешательство. Так начнется колонизация новых планет и появление новых, полностью синтетических геномов. Конечно, такая практика сопряжена с рисками: мы можем истребить жизнь, уже существующую на других планетах, либо уничтожить их палеонтологическую летопись.
Так возникает вопрос о двунаправленной «планетарной защите». Первый аспект планетарной защиты – избежать прямого загрязнения, когда мы (случайно или преднамеренно) заносим земные организмы на другую планету. Этого важно избежать, чтобы обезопасить и сберечь потенциально существующую инопланетную жизнь, такую, об истории которой человечеству практически ничего не известно. Вспомните эпидемию оспы, распространявшуюся среди североамериканских индейцев через зараженные одеяла, или SARS-CoV-2, охватившую мир в 2020 г. Потом необходимо обеспечить подлинное открытие внеземной жизни, а не ложную идентификацию инопланетного вида, который на самом деле был занесен с Земли. Вместе с нами на Марс могут отправиться земные микробы (которые переживут даже стерилизацию и радиационное облучение) и измениться настолько, чтобы сойти за внеземную жизнь. Если впоследствии такие бактерии будут обнаружены в марсианском песке, то могут возникнуть ошибочные идеи «универсальности жизни». Вторая составляющая «межпланетной гигиены» – избежать обратного загрязнения, т. е. занесения на Землю организмов, которые могут представлять опасность для коренных обитателей Земли. На эту тему снято много фантастических фильмов, в которых агрессивный «чужой» угрожает всей жизни на Земле.
Ни один из этих сценариев не идеален. Но первый (с прямым загрязнением), в сущности, неизбежен, так как все живое, существующее во внутренней части Солнечной системы, когда-нибудь будет уничтожено Солнцем. В соответствии с деонтогенной этикой нам придется пойти на прямое загрязнение других планет, чтобы не только спасти земную жизнь, но и в максимальной степени сберечь экосистемы других миров (или хотя бы знания о том, что они когда-то существовали). Чтобы спланировать высадку в этих суровых мирах к 2201 г., сначала нужно понять, как в 2021 г. создаются космические корабли.
Поблизости от знойной Пасадены, штат Калифорния, на территории Лаборатории реактивного движения есть комплекс зданий, где разрабатываются программы по запуску космических ракет, зондов и роботов в пределах Солнечной системы. Здесь есть «Цех сборки космических аппаратов», «Лаборатория моделирования внеземных материалов» и «Испытательный полигон для марсоходов». Именно здесь проектируют, собирают и испытывают марсоходы, спутники и блоки для космических кораблей NASA перед их отправкой для исследования областей, куда люди доберутся еще не скоро. Первые космические зонды уже вышли за пределы Солнечной системы. В 2012 г. это был «Вояджер-1», а в 2018-м – «Вояджер-2». Когда-нибудь они пришлют нам данные из соседних звездных систем. Однако в случае и зондов «Вояджер», и всех других космических аппаратов остается актуальным вопрос: «Не оказались ли у них на борту незапланированные пассажиры?»
Чтобы это проверить, в различных участках лаборатории, особенно в «чистой зоне», где идет сборка космических кораблей, ведется постоянный мониторинг наличия спор, бактерий, вирусов и других организмов. Мы постоянно пытаемся количественно оценить и максимально ограничить прямое загрязнение. Чаще всего этой работой занимаются Кастхури Венкатешваран, микробиолог, на счету которого немало научных работ о микроорганизмах в космическом пространстве, и Дэвид Смит, специалист по экстремофилам. Они стараются помочь нам понять, какие организмы могут не только перенести космический полет, но и процветать на новом месте. Это непростая задача, поскольку приходится иметь дело с проблемой «сбора следовой биомассы». Достаточно буквально единичных бактерий или вирусов, чтобы зародилась обширная популяция. Как же удостовериться в наличии того, чего практически нет? А если мы не заметим какие-то организмы и они попадут в космос, что тогда произойдет?
На некоторые из этих вопросов уже удалось ответить в ходе предварительного изучения космических кораблей, астронавтов и микробиомов, сложившихся на МКС. Такими исследованиями занимается наша группа и другие ученые. Проводились многочисленные лонгитюдные исследования, в том числе вышеупомянутое исследование близнецов, а также работы Эрнана Лоренци, Дуэйна Пирсона, Александра Ворхиса и Марка Отта с коллегами. Они показали, что бактерии в космосе не «сидят без дела». В частности, Лоренци показал, что бактерии, обитающие на коже астронавтов, со временем приобретают все больше сходства. Это логично, поскольку им никуда не деться из одного и того же алюминиевого контейнера. Такое «смешивание» микробиомов отчасти стимулируется резким сокращением окружающего биоразнообразия. Так, во время космического полета впятеро уменьшаются популяции Akkermansia и Ruminococcus, втрое – Pseudobutyrivibrio и Fusicatenibacter. Как демонстрирует Twins Study, большинство подобных изменений откатываются к дополетным значениям после возвращения астронавтов на Землю. Более того, из-за таких изменений микробиома учащаются случаи зуда и в целом гиперчувствительности кожи у астронавтов при длительных орбитальных полетах.
Более серьезной, чем изменение соотношения разных бактерий, является проблема так называемых космических зомби – оживших вирусов, ранее пребывавших в латентном состоянии. Сатиш Мехта из Космического центра Джонсона ранее показал, что в космосе чаще наблюдаются рецидивы герпеса и, возможно, по всей МКС плавают вирусы, высвободившиеся из клеток-хозяев. По состоянию на 2019 г. у 47 из 89 астронавтов (53 %), совершавших краткие космические полеты (в течение недель), а также у 14 из 23 астронавтов (61 %), участвовавших в более длительных экспедициях на МКС (от трех месяцев до полугода), в образцах мочи и слюны наблюдались признаки герпеса. У этих астронавтов также наблюдался активный инфекционный процесс, о котором сигнализировал подъем уровня цитокинов и иммунных маркеров.
Итак, как долго сохраняется в космосе то, что выделяется из организма вашего товарища по экипажу на МКС? Кроме того, какой именно вирусный материал высвобождается из клеток? Чтобы ответить на эти вопросы, ранее было принято решение выращивать культуры микроорганизмов и оценивать, что может вырасти и выжить на космической станции. Но такие методы зачастую приводят к систематическим ошибкам отбора: одни бактерии просто не хотят расти в искусственно созданных условиях, а другим такая среда очень нравится и они легко берут верх над конкурентами. Но начиная с 2015 г. проводится все больше исследований «без привязки к культуре», направленных на подробное изучение орбитальной живности. В рамках этих методов используется секвенирование следующего поколения, описанное в главе 4: берется образец, из него извлекается вся ДНК, которая затем секвенируется «методом дробовика». Как понятно из названия, мы словно расстреливаем клетки образца в упор, разрывая их ДНК на миллиарды фрагментов, а затем секвенируем каждый кусочек. Каждый такой фрагмент (называемый прочтением последовательности) затем можно сопоставить (наложить) с участками известных геномов других видов, уже присутствующих в базах данных по ранее секвенированным геномам. Это позволяет количественно оценить, насколько много организмов того или иного типа попало в образец. Также можно осуществить сборку коротких прочтений de novo (с нуля) и составить из них более длинные прочтения. Принцип во многом напоминает сборку пазла. Именно так удобнее всего исследовать организм, который не выращивается в нормальной бактериальной среде. Можно даже найти организмы, ранее не попадавшие ни в какие реестры.
Секвенирование нового поколения уже показало, что у бактерий, развивающихся на орбите, повышена вирулентность, резистентность к антибиотикам, они лучше образуют биопленки и даже толстеют. В 2016 г. благодаря работе Луиса Зеа, Шона Леви и их коллег удалось показать, как меняются (а именно становятся разнообразнее) типы маркеров резистентности к антимикробным препаратам и пути экспрессии генов у бактерий в результате космического полета. Это явление охватывало целый спектр биохимических путей, в том числе синтез белков, связывание нуклеиновых кислот и обмен веществ. Как и ожидалось, МКС является экстремальной средой для микроорганизмов, поэтому они испытывают сильное давление отбора.
Изучив микроорганизмы, обитающие на МКС, доктор Венкатесваран обнаружил у них высокую изменчивость: некоторые особи могли показаться представителями совершенно нового вида, так как фрагменты их ДНК не совпадали ни с какими известными геномами. Но само по себе это нельзя назвать необычным. Когда в 2015 г. наша группа проанализировала генетическую информацию микроорганизмов, собранных в нью-йоркском метро, а потом в 2021-м повторила анализ в глобальном масштабе, оказалось, что ~50 % отсеквенированной ДНК выглядело как совершенно новая и ранее не встречалась. Примерно такие же цифры получил и генетик Крейг Вентер, секвенировавший методом дробовика микрофлору Саргассова моря. Таким образом, главной причиной загадочной изменчивости ДНК на борту МКС следует считать вовсе не пришельцев, а неполноту существующих справочных баз данных. Учитывая, что, по оценкам, на Земле в 2020 г. обитал примерно триллион видов живых существ, а мы располагаем 100 000 справочных геномов (на которые можно ориентироваться), остается лишь удивляться тому, что нам вообще удается идентифицировать те организмы, которые обнаружили.
По мере того как мы секвенируем все больше и больше геномов из разных экосистем по всему миру, «неизвестных» фрагментов ДНК становится меньше. В 2020 г. один новый вид бактерий с МКС даже был назван в честь Кейт Рубинс (Kineococcus rubinsiae). Тем не менее доля неизвестных последовательностей никогда не сократится до нуля – всегда найдется последовательность, которая ранее не попадалась. Дело в том, что жизнь не стоит на месте, и особенно это касается бактерий и вирусов, поколения которых сменяются за считаные минуты. Следовательно, стоит только создать каталог всех видов живых существ, обитающих на Земле, и через несколько минут он будет неполным.
Однако это не означает, что нужно прекратить поиск новых неизвестных. Чтобы подступиться к нашей инициативе по защите планет, необходимо проанализировать все фрагменты ДНК, которые мы сможем найти на космических аппаратах (кстати, именно этим мы и занимаемся). Благодаря работе Венкатесварана, Смита и других сотрудников Лаборатории реактивного движения секвенирование методом дробовика и выискивание микроорганизмов на космических кораблях превратились в стандартную практику оценки прямого загрязнения. Затем эти данные сравниваются с общим списком всех секвенированных последовательностей ДНК на Земле. Это позволяет определить, какой биоматериал вообще существует и что может быть случайно занесено в космос при следующей экспедиции.
Пока результаты однозначны. Мы вне всяких сомнений загрязнили Марс, а возможно, и другие планеты. Хотя «бионагрузка» межпланетных миссий была низкой, она никогда не снижалась до нуля. Это касается и спускаемых аппаратов «Викинг», достигших Марса в 1970-х гг. Для Марса данная проблема стоит особенно остро, поскольку там бушуют глобальные пыльные бури, которые уже могли подхватить и разнести инородную биомассу по всей планете. В целом не приходится надеяться, что мы сможем сохранить девственно чистыми какие-либо регионы Марса. Если мы и найдем там местную жизнь, то она должна будет кардинально отличаться от всего существующего на Земле, чтобы уверенно считать эти организмы исконно марсианскими.
В других случаях мерам планетарной защиты уделялось гораздо больше внимания. В 2003 г. мы намеренно пожертвовали спускаемым аппаратом «Галилео», позволив ему сгореть в атмосфере Юпитера ради полной стерилизации. Точно так же исследовательский зонд «Кассини» был намеренно сожжен в атмосфере Сатурна во избежание прямого загрязнения. Иногда сгорание зонда – наилучшее решение таких проблем.
Допустим, мы обнаружили на другой планете живой организм и уверены, что он не с Земли. Как он будет выглядеть? На самом деле мы не знаем этого, поскольку в своих представлениях о жизни опираемся на информацию о всего одной – земной – биосфере. К тому же наши представления об определяющих свойствах жизни продолжают меняться по мере того, как мы открываем на Земле все новых экстремофилов и делаем успехи в развитии синтетической биологии.
Синтетическая биология – относительно новая научная дисциплина. Даже (казалось бы, очевидная) идея о том, что работа клеток регулируется на уровне модульных молекулярных сетей, была сформулирована только в 1961 г. Франсуа Жакобом и Жаком Моно, изучавшими кишечную палочку (E. coli). Способность E. coli извлекать энергию из лактозы (например, содержащейся в молоке) обусловлена лактозным опероном, группой генов с общим промотором[21].
Такой генетически управляемый переключатель «вкл./выкл.» позволил Жакобу и Моно предположить, что все генетические функции работают по тому же принципу, что и программируемые схемы в компьютере. В 1970-е и 1980-е гг. синтетическая биология развивалась благодаря молекулярному клонированию. Как только появилась возможность вырезать и составлять фрагменты ДНК при помощи ферментов-рестриктаз, мы стали модифицировать генетический код различных организмов и даже комбинировать генетический материал, взятый от разных видов. В начале 1990-х гг. были секвенированы геномы многих живых существ, в том числе Haemophilus influenzae, Saccharomyces cerevisiae и, наконец, E. coli. Это открыло путь к сравнительной геномике, которая занимается поиском и сравнением фрагментов геномов, а также их аннотированием и анализом.
В 2000 г. началось создание синтетических генетических схем и их «пересадка» в другую живую систему. В 2002 и 2003 гг. такие схемы удалось внедрить в E. coli, благодаря чему впервые были получены бактерии для производства лекарственного препарата (артемизинина). Эти эксперименты открыли совершенно новый путь к синтезу буквально любых терапевтических малых молекул. Тем не менее процесс был нетривиальным, медленным и трудоемким. Чтобы препарат мог использоваться клетками человека, почти все молекулы необходимо синтезировать и достраивать в несколько этапов. Как и многие другие биотехнологии, о которых шла речь выше (например, оптимизация кодонов), данная технология также требовала доработки через инновации.
Чтобы стимулировать развитие, с 2004 г. стали проводиться международные конкурсы по генной инженерии и биотехнологиям iGEM, в которых участвовали старшеклассники, студенты и аспиранты. Участники iGEM стали пионерами в разработке стандартов, технологий и программных пакетов для синтетической биологии. В частности, был создан стандарт передачи данных по синтетической биологии SBOL. Даже концепция этой книги (10-этапный план на 500 лет) появилась в 2011 г. как пост в «Википедии» для iGEM-команды генетической лаборатории Мейсона в медицинском колледже Вейля при Корнеллском университете.
Еще одна инициатива, запущенная в 2004 г. для стимулирования сотрудничества, – Международная конференция по синтетической биологии (SynBio 1.0), объединяющая множество дисциплин, относящихся к инженерным наукам, генетике, химии, физике, электротехнике и проектированию. Истинным испытанием для синтетической биологии стал вопрос, сможем ли мы модифицировать элементы клеточного генома или вставить в него фрагменты чужеродного генома, а затем точно предсказать, как это скажется на геноме хозяина. Дрю Энди, биолог, работавший сначала в Массачусетском технологическом институте, а затем в Стэнфорде, назвал эти интегрированные участки «биокирпичики». Так появился реестр стандартных биологических частей, активно поддерживаемый до сих пор и позволивший сформулировать множество гипотез о том, какой генетический материал можно передавать от вида к виду.
Многие идеи, зародившиеся на этих первых встречах, очень скоро воплотились в реальность. В 2006 г. появилась первая бактерия, которую методом генной инженерии заставили вторгаться в раковые клетки. В 2007-м был получен первый бактериофаг, который мог контролировать образование биопленок. В 2008 г. появились многообещающие образцы биотоплива, полученные с использованием E. coli.
В 2010 г. мы достигли еще одной вехи в истории синтетической биологии. Впервые с нуля был химически синтезирован полноценный геном. В статье с многозначительным названием «Создание бактериальной клетки, контролируемой химически синтезированным геномом» было показано, что можно собрать полностью синтетический геном из простых нуклеотидов, поместить его в клетку и активировать новую жизнь. Как и в случае с экзоматками, это был один из последних гвоздей в крышку гроба «витализма» и даже «неовитализма». К 2012 г. Джеф Боке смог синтезировать целые плечи дрожжевых хромосом, а в 2013-м была создана генетически модифицированная E. coli, предназначенная для коммерческого производства артемизинина. К 2020 г. компании, в том числе Ginkgo Bioworks (под руководством докторов Джейсона Келли и Тома Найта), научились под заказ производить программируемые клетки. В 2020 г. с применением синтетических дрожжей было сварено пиво, которое оказалось довольно неплохим на вкус.
Такое стремление к конструированию жизни помогло полнее оценить фундаментальные составляющие жизни как таковой. Например, какой минимальный набор генов требуется клетке для выживания? Работа, проведенная в Институте Крейга Вентера, положила начало поиску ответа на этот вопрос. Исследователи (в том числе сам Крейг Вентер) постепенно удаляли гены из клеток Mycoplasm mycoides (JCV-syn1.0), пытаясь получить минимальный жизнеспособный генетический код. Кстати, у M. mycoides вообще один из самых маленьких геномов (~600 генов), а проведенные исследования показывают, что жизнь возможна при очень скромном наборе генов.
В 2016 г. вышла эпохальная статья Хатчинсона и др., в которой команда из Института Вентера показала, что M. mycoides нужно всего 473 гена для выживания в минимальной питательной среде. Хотя трудно сказать, какую жизнь мы встретим на других планетах, похоже, что эта величина близка к земному минимуму, необходимому живому организму для независимого функционирования. Однако эти оценки сделаны на основе современного генетического кода. В настоящее время члены биотехнологического сообщества, в том числе занятые в проекте GP-write, выдвигают идеи по конструированию разных типов генов, геномов и даже фундаментальных биохимических блоков. Они вполне могут напоминать жизнь, которая встретится нам в естественных экосистемах при исследовании других планет.
Биология Земли основана преимущественно на четырех нуклеотидах, которые транскрибируются в рибонуклеотиды (РНК) для передачи информации внутри клетки. Эти субстраты жизни функционально подобны макаронным изделиям «алфавит», выплеснутым на пол из миски с супом. На полу каждая такая макарошка случайным образом слипается с другими, образуя слоги и слова. Потом к этой лужице подбирается малыш (в данном случае орудие естественного отбора) и выбирает те буквы, которые кажутся ему интересными и пригодными для игры (приспособленность). Хотя комбинаторика в такой фундаментальной структуре может быть огромной, потенциал развития генетического разнообразия ограничен такими факторами, как срок горения Солнца.
«Эволюция случая», на основе которой до сих пор развивается жизнь, также отчасти объясняет те ограничения, в которые упирается биология. Жизнь ограничена четырьмя основными буквами (нуклеотидами), слагающими алфавит земной жизни, а также биологической грамматикой, позволяющей собрать из этих оснований 64 трехбуквенных кодона (43 = 64 комбинации кодонов). Если бы в кодоне было не по три, а по четыре основания, то получилось бы 44 (256) комбинаций кодонов тРНК. Хотя 256 очевидно больше 64, благотворно ли это скажется на жизни? При таком резком росте потребуется дополнительная тРНК для расшифровки кода и построения белков. Снизится вероятность нахождения молекулой правильного участка, и в целом ресурсы клетки будут расходоваться гораздо расточительнее. Всю тРНК придется дополнительно «подгонять» для корректного связывания. При современных ограничениях и возможностях комбинаторики на самом деле наблюдается разная степень избыточности, которая заключается в использовании трех «стоп»-кодонов (семантически аналогичных точке в конце предложения). Также известна избыточность при соотнесении тРНК с аминокислотами (60 кодонов на 20 аминокислот).
В сущности, такую избыточность, фиксируемую во всех доменах земной жизни, можно использовать при перекодировании геномов. Так, в геномах у вирусов избыточные кодоны совсем не лишние (вирус может частично или даже полностью утратить функции, если в перекодированной клетке окажется всего по одному кодону на каждую аминокислоту). В 2016 г. Джордж Черч, вооружившись такой стратегией перекодирования, взялся за разработку «вирусоустойчивых» клеток. Сейчас такой же цели пытаются достичь в рамках проекта GP-write: создать человеческие клетки, которые не инфицируются вирусами. Впоследствии из таких культур можно будет выращивать фармацевтические препараты и биодобавки для массового использования. Сужение генетического кода позволяет сфокусировать ресурсы организма и сделать его невосприимчивым к инфекции.
Если устранение избыточных кодонов у отдельных организмов, по сути, создает «секретный код», неизвестный микроинтервентам, то при расширении генетического алфавита «лексикон» жизни серьезно пополнится новыми «словами», и его «словарный запас» будет гораздо больше, чем в обычном организме. Можно ли дополнить генетический алфавит и другими парами оснований, которые не встречаются в естественной ДНК? Да.
Изучение искусственных пар оснований (UBP) началось в 1989 г. Тогда Стивен Беннер модифицировал цитозин и гуанин и in vitro встроил их в молекулы ДНК, а затем добился надежной репликации. В 2002 г. команда японских ученых под руководством Итиро Хирао получила UBP, в составе которых были пурин (А, Г) и пиридин (Ц, Т). Эти комбинации могут транскрибироваться и далее инкорпорировать в белки нестандартные аминокислоты (NAA). Полностью эти вещества называются 7-(2-тиенил)имидазо[4,5-b]пиримидин (Ds) и пиррол-2-карбальдегид (Pa). По понятным причинам эту пару обычно называют кратко Ds–Pa.
Если мы планируем на долгосрочной основе использовать любую новую систему, в составе которой есть искусственные основания и нестандартные аминокислоты, то она должна быть стабильной (не откатываться к использованию обычных нуклеотидов), а также предполагать высокоточную репликацию, чтобы новый генетический код передавался из поколения в поколение. Некоторые из этих целей были достигнуты в 2006 г., когда Беннер разработал шестибуквенный генетический алфавит под названием «Искусственно расширенная генетическая информационная система» (AEGIS). Наряду с четырьмя базовыми «традиционными» нуклеотидами (А, Ц, Г, Т) в него входят еще два «модифицированных» нуклеотида (З и П). Такая новая последовательность ДНК, состоящая из оснований АЦГТЗП значительно расширяет набор потенциальных комбинаций аминокислот при сохранении стандартной разбивки «три пары оснований на кодон» – 216 (63) против наших 64 (43).
В 2012 и 2014 гг. Флойд Ромесберг и его группа из Исследовательского института Скриппса реализовали эту идею, организовав доставку модифицированных нуклеотидов в клетку-хозяина. Они собрали плазмиду, в которой натуральные пары оснований содержатся наряду с новой UBP (под названием d5SICS–dNaM). Эту плазмиду интегрировали в клетки E. coli и позволили ей распространиться на несколько поколений. Это был первый случай, когда живой организм унаследовал от предков расширенный генетический код. Успех дался нелегко, однако он неудивителен, поскольку прежде было протестировано более 300 нефункциональных вариантов UBP, и лишь тогда удалось наладить репликацию клеток с новыми функциональными основаниями (d5SICS–dNaM), не встречавшимися в природе. Кроме того, команде пришлось добавить «чужеродный ген», экспрессирующий транспортеры нуклеотидных трифосфатов (NTT), ферменты, которые импортируют трифосфаты d5SICSTP и dNaMTP.
В 2019 г. Беннер, Суити Хосика и Николь Лил достигли еще большего: синтезировали восьмибуквенный генетический код, потенциал которого был расширен до 512 комбинаций (83). Такую молекулу назвали «хатимодзи-ДНК», и неслучайно, так как «хатимодзи» в переводе с японского означает «восемь». Четыре новых основания (П, Б, З и С) были получены на основе азотистых структур, подобных пуринам и пиримидинам. Благодаря такому строению получились полноценные нуклеотиды (искусственные пары оснований), и между ними образуются водородные связи (а именно С–Б и П–З). Однако для функционального генома важно не только образование водородных связей. Возникают определенные проблемы. Из-за того, что в генетическом коде появились дополнительные детали, меняется заряд, структура и стабильность двойной спирали. Все это также расширяет возможности размыкания, смыкания ДНК и управления ею, а также результирующую экспрессию. Для конструирования и оптимизации ферментов с целью управления этим новым кодом необходимы дополнительные исследования.
Эти варианты ДНК не только показывают, что человеку под силу создать на Земле совершенно новые формы жизни, но и помогают понять, как может выглядеть иная жизнь на других планетах. На Земле такие модификации можно использовать при создании улучшенных клеток, невосприимчивых к инфекциям, а также для синтеза инновационных биополимеров и лекарств. По всей видимости, эти изменения будут постепенно вноситься и в человеческий организм, как и иные достижения генной инженерии. Первым и потенциально ближайшим применением перекодированных клеток будет гемопоэтическая терапия. Например, можно перекодировать гемоцитобласты или прекурсоры Т-клеток, а далее использовать их в терапевтических целях (скажем, для борьбы с раком или улучшения формирования гемоглобина). Это снижает вероятность загрязнения генно-модифицированного продукта и предотвращает посттрансфузионные инфекции у пациента. В результате удалось бы справиться с одним из серьезнейших рисков современной трансфузиологии (инфекциями). После отработки этой практики появится возможность перестраивать целые зародышевые линии и выращивать их в экзоматках.
Работа по картированию земных геномов ведется всего несколько десятилетий. За несколько сотен лет можно развернуть на других планетах совершенно новые адаптируемые системы. У земной жизни есть ограничения, и речь о том, в какой степени мы способны их раздвинуть (будь то путем выявления минимального набора генов, необходимого для процветания организма, или путем усложнения генетического алфавита, из которого можно будет составлять более сложные последовательности, не утрачивая репродуктивных качеств). Жизнь на других планетах может радикально отличаться от земной, учитывая, что она возникла, развивалась и менялась по совершенно другим планетарным законам. В принципе она может основываться и ровно на тех же фундаментальных правилах, что и земная жизнь: всего на четырех нуклеотидах и 64 кодонах. Возможно, в таком случае нам удастся сформулировать универсальный закон возникновения жизни. Пока мы не найдем иные формы жизни, существующие на других небесных телах, уверенно ответить на эти вопросы нельзя, но время покажет.
Целенаправленное перекодирование геномов некоторых организмов может открыть путь к «защите планет на уровне нуклеиновых кислот». В рамках такой парадигмы можно создавать организмы, способные выжить именно на той планете, на которую они отправляются. Это позволит предотвратить случайное занесение жизни с одной планеты на другую. Через тысячи или миллионы лет мы сможем узнать, какие конфигурации нуклеиновых кислот и какие биологические системы наиболее стабильны и адаптивны в конкретных экосистемах. Затем, опираясь на эти конфигурации, можно эмпирически подбирать стратегии перекодирования генов, которые максимально увеличивают шансы на выживание организмов, направляемых на новые планеты с неизвестными условиями далеко за пределами Солнечной системы.
Но для нормальной жизни требуется не просто выживание, а процветание. Мы уже знаем из опыта работы с лабораторными животными (в лаборатории Мейсона она ведется под руководством Крейга Уэстовера), что выявленные в одном организме генетические элементы можно функционально встроить в другой. Кроме того, мы исследовали случаи формирования новых генов на основе комбинаций имеющихся, получая таким образом новые клеточные функции. Но что насчет более крупных изменений такого рода на уровне органов или тканей? Можно ли взять орган у одного организма и встроить его в другой? Позволило бы это синтетическим организмам не только выживать, но и активно размножаться? Что нужно для воплощения этого в реальность?
Заглядывать в далекое будущее в поисках примеров такого рода необязательно, достаточно оглянуться назад, в 2017 г. Чтобы справиться с дефицитом человеческих органов для трансплантации, ученые из компании eGenesis воспользовались методом CRISPR и удалили 25 опасных вирусов из свиного генома. Сейчас для пересадки пытаются использовать свиные органы, но содержащиеся в свином геноме обыкновенные эндогенные ретровирусы (PERV) могут провоцировать отторжение трансплантата. Дальнейшее встраивание PERV в геном человека может приводить к иммунодефициту и даже раку, поэтому необходимо удалить или выключить PERV. Правда, это не единственная преграда, осложняющая использование органов млекопитающих в качестве трансплантатов для человека. Существует риск зоонозного переноса опасных патогенов (заражения от животных), включая коровье бешенство, лихорадку Эбола, некоторые коронавирусы (SARS-CoV-2) и, возможно, даже ВИЧ. Кроме того, даже если удалить все потенциальные вирусы у донорских животных, могут наблюдаться дополнительные осложнения, в том числе патологическая свертываемость крови и иммунное отторжение.
В 2020 г. Лухан Ян, директор по научно-исследовательской работе в компании eGenesis, скооперировалась с китайской компанией Qihan Bio, также занимающейся выращиванием органов для ксенотрансплантации (межвидовой трансплантации). Вместе они вырастили поросят, в геном которых были внесены 42 изменения, помогающих справиться с отторжением трансплантата. Они назвали эту группу Pig 3.0, поскольку это была уже третья версия генетически модифицированных свиней. Были отредактированы или инактивированы 30 PERV, а также три свиных гена, которые могли спровоцировать у человека иммунную реакцию отторжения (GGTA1, CMAH и B4GALNT2). Затем свиньям внедрили девять человеческих генов, которые должны улучшить совместимость свиных органов с организмом реципиента (hCD46, hCD55, hCD59, hB2M, hHLA-E, hCD47, hTHBD, hTFPI и hCD39)[22].
Обследование показало, что животные из популяции Pig 3.0 чувствуют себя вполне нормально. Они не только не потеряли фертильность, но и давали потомство обычного размера, наследовавшее генетические изменения в соответствии с законами Менделя. Потомки Pig 3.0 справлялись с человеческими антителами (IgG и IgM), на 90 % гася связывание с ними. Более того, свиньи 3.0 демонстрировали повышенную резистентность к гибели клеток, вызванной воздействием естественных киллеров. Немного (на 10 %) удалось подавить фагоцитоз со стороны макрофагов и улучшить свертываемость крови. В целом данные свидетельствовали, что редактирование (пусть и межвидовое) прошло как было задумано. Надо полагать, что такие генно-инженерные вмешательства будут доведены до идеала на протяжении десятков или сотен лет практики и обеспечат универсальную межвидовую трансплантацию органов.
Но каким будет этот новый мир, где один вид целенаправленно редактируется для приема органов другого организма? Здесь возникают проблемы этического характера. Философ Питер Сингер считает недопустимым давать одному виду моральное превосходство над другими (называя это видовой дискриминацией). Это нарушение прав живого существа и межвидовая нетерпимость подобны расизму – внутривидовой иррациональной и неэтичной враждебности.
Но что, если выращивание донорских органов удастся наладить, не подвергая свиней страданиям, а сам этот процесс позволит в глобальном масштабе сократить человеческие мучения или даже болезни животных? Если страдания исключены и соблюдаются деонтогенная, кантианская и утилитарная этики, то такие меры могут быть оправданны.
Кто-то может возразить, что генетическое изменение одного вида во благо другого – по определению порочная практика независимо от ситуации. Можно усмотреть в этом эксплуатацию и/или потребовать оставить природу в покое. Однако простой мысленный эксперимент помогает прояснить этот вопрос. Предположим, на железнодорожных путях забуксовала машина, а в ней – человек, которого вы не знаете. Чтобы предотвратить трагедию, вам достаточно всего лишь перевести стрелку.
Переведете ли вы стрелку? Большинство ответит утвердительно. В данном случае ваше вмешательство спасет кого-то от неминуемой смерти, точно как генно-инженерное вмешательство убережет организм от определенного заболевания. А если ради того, чтобы добраться до стрелки, вам придется прыгнуть в маслянистую лужу и угробить костюм стоимостью $5000? Хотя дополнительный фактор здесь исключительно финансовый, доля людей, не готовых пойти на жертву, повышается. Но абсолютное большинство все-таки скажет, что $5000 – не деньги по сравнению с человеческой жизнью. Моральный долг заставляет действовать, даже если ситуация возникла не по вашей вине. Тогда возникает вопрос: чем приходится жертвовать ради этого? Каков эталон, с которым следует сверяться, решая, стоит ли генетически изменять животных?
Генетически измененное животное, выращиваемое на органы, будет создаваться таким образом, чтобы процесс изъятия органа свелся к простой и безболезненной хирургической операции, не приводящей к смерти животного, либо к безболезненной операции, после которой животное все-таки погибает, но спасает несколько жизней. В обоих этих случаях в пересчете на спасение жизней мы выходим либо в ноль, либо в чистый плюс. Но все-таки как быть со вторым сценарием, в котором животное погибает? В таком случае за эталон для сравнения следует брать не отсутствие генной инженерии, а человеческое невмешательство. Хищники не задумываясь съедают заживо других животных, которые вовсе не хотят этого.
В данном случае генно-модифицированное животное будет жить более качественно и умрет «легко», продлив жизнь другим особям. Учитывая, что продление жизни способствует выживанию метавида в целом, описанные действия правильны с точки зрения деонтогенной этики.
На самом деле здесь сложно зайти слишком далеко. Повсюду вокруг нас животные страдают от произвола эволюции (которую мы еще недавно не умели направлять). Как правило, мы не замечаем и даже не знаем, что в мире страдают животные, нам неведомы их представления о мире – эта проблема отлично разобрана в эссе Томаса Нагеля «Каково быть летучей мышью?». Но мы в некоторых аспектах знаем, как животные чувствуют боль – эта проблема хорошо описана Кевином Эсвелтом из Массачусетского технологического института, ведущего специалиста по генной инженерии, генному драйву и этике в этой сфере. Он трудится в лаборатории Sculpting Evolution.
В своих работах Эсвелт впервые поднял по-настоящему подрывной вопрос: когда мы этически обязаны редактировать геном существ в окружающем нас мире? Некоторые примеры кажутся очевидными, например искоренение черной оспы. Это, несомненно, принесло пользу человечеству, хотя бактерии и пострадали. Геном черной оспы сохранился в генном банке, поэтому, если нам по каким-то причинам потребуется ее возродить, мы это сделаем.
Но с другими видами ситуация сложнее. Например, в Новом Свете обитает мясная муха (Cochliomyia hominivorax), сильно осложняющая скотоводство на Американском континенте. Самки этой мухи откладывают яйца в открытые раны скота или на шкуру. Из яиц выводятся личинки, которые питаются здоровыми и поврежденными тканями, вгрызаясь в плоть, пока животное не падет от боли. Но пока оно еще живо, личинки в ранах активно выделяют феромоны, привлекающие новых самок, которые еще сильнее заражают скот. Для человека заражение такими личинками настолько болезненно, что ему приходится давать морфин, чтобы врач мог хотя бы прикоснуться к ране.
К сожалению, животным гораздо сложнее получить лечение или хотя бы облегчить боль, чем людям. Миллионы животных по всему миру и особенно на Американском континенте страдают от мясных мух и их личинок. Лишь недавно удалось побороть и остановить эту заразу при помощи стерилизации насекомых (например, выпуская в природу стерильных самцов). Кстати, это было сделано не из альтруистического стремления обезопасить людей и животных, а из меркантильных соображений: из-за мясных мух скотоводческие фермы теряют $4 млрд в год.
Но стерилизацию насекомых сложно организовать, особенно в гористой или малоосвоенной местности. Для этого нужен самораспространяющийся генетический элемент, который мог бы охватить всю популяцию и изменить вид. Такой фактор называют генным драйвом. Как пишут Эсвелт, Черч и другие специалисты, это естественный феномен, заключающийся в надежном распространении гена по популяции, даже если приспособленность и выживаемость организма-реципиента при этом немного снижаются[23]. Технология CRISPR для редактирования генов позволила заменить исходную генетическую последовательность отредактированной версией и обеспечить распространение этого генетического фактора в экосистеме. Следовательно, при помощи генного драйва можно искоренить причину страданий миллионов голов крупного скота, более мелких животных и людей, однако при этом экосистема изменится непредсказуемым образом. Как всегда, существует риск создать больше проблем, чем решить. Так или иначе, вполне этично в такой ситуации смягчить повсеместные страдания, даже если для этого придется искоренить сам ее источник и ввести в экосистему новый, безвредный организм.
Когда мы привносим генный драйв в популяции насекомых и редактируем геном астронавтов ради их безопасности, то сокращаем масштабы страданий и заботимся о людях. К 2200 г. этот метод, скорее всего, пройдет широкое тестирование в лабораториях, появятся и будут испытаны новые типы генных драйвов, включая возможности их защиты. Джексон Чемпер и Филипп Мессер из Корнеллского университета уже протестировали два метода, которые открывают путь к «молекулярному сохранению». Первый из них заключается в применении драйва, который закладывает «синтетические сайты-мишени», т. е. генетически измененные участки в ДНК, не встречающиеся в дикой природе. Второй метод – это «разделенный драйв», когда драйва как такового недостаточно, поскольку в нем отсутствуют эндонуклеазы и их приходится брать из другого источника.
С 2050 по 2200 г. могут быть внедрены и другие механизмы управления, помогающие снизить подобные риски. К ним относятся драйвы сенсибилизации, которые работают только в присутствии определенного вещества, намеренно нестабильные драйвы, которые в нужный момент перестают копироваться, а также взаимодействующие драйвы, подавляемые в случае столкновения с другой генетической сигнатурой (например, другим генетическим драйвом). Наконец, речь может идти об иммунизирующем драйве, который может защищать субпопуляцию, например самцов или генетическую подгруппу. Пока неизвестно, какие из этих методов окажутся наиболее эффективными, но наша способность контролировать собственную эволюцию и развитие окружающей среды будет развиваться очень быстро.
Исходя из вышеописанных сценариев и деонтогенной этики, можно предложить как минимум три примера, в которых мы этически обязаны редактировать геномы:
1. Репродукция: пары, желающие иметь детей, но не имеющие такой возможности (например, супруги с генетическими заболеваниями);
2. Выживаемость: люди, отправляющиеся в суровые миры (защита астронавтов);
3. Качество жизни: предотвращение страданий (причиняемых, например, мясными мухами Нового Света).
Во всех этих случаях мы этически обязаны хотя бы предложить генную инженерию как вариант.
Ближе к 2201 г. модификация человека станет распространенной практикой, а также начнут появляться ее новые применения. Они могут варьировать от забавных (вроде возвращения хвостов) до полезных (например, расширение спектра зрительного восприятия). То, что в начале 2000-х гг. казалось научной фантастикой, к 2201 г. может стать реальностью.
Например, можно радикально усовершенствовать механизм работы палочек и колбочек в нашей сетчатке. Палочки и колбочки поглощают фотоны, преобразуют их в сигналы, которые затем запускают длинные каскады с участием множества генов и клеток, позволяющие нам видеть цвета и контуры. На одном из ключевых этапов работы палочек используется циклический гуанозинмонофосфат, несущий информацию через цитоплазму к свободно плавающим дискам сетчатки. Представьте себе молекулярный вертолет, приземляющийся на движущуюся посадочную площадку. Плазматическая мембрана сплошь покрыта палочками и колбочками, и все они используют циклический гуанозинмонофосфат. В результате чрезмерно расходуется энергия, как будто вы всякий раз летаете на вертолете к соседу.
Еще один критически важный зрительный компонент – это молекула, которая называется ретиналь, производная витамина А. Ретиналь способствует передаче сигнала о восприятии света после улавливания фотона с конкретной длиной волны. Без витамина А такие цепи в человеческом глазу начинают деградировать, сначала снижается ночное зрение, а в конечном итоге наступает слепота. Но сами палочки и колбочки у человека витамин А не синтезируют. Как ни странно, этот важнейший витамин мы получаем только из пищи (о том, как решить эту проблему, мы поговорим в следующей главе).
Можно в целом улучшить улавливание света, изучая животных, которые обитают в плохо освещенной среде. На задней стенке глаза у некоторых из них есть слой ткани, функционально напоминающий зеркало. Эта ткань называется тапетум (tapetum lucidum), она отражает свет обратно на сетчатку, увеличивая количество света, который можно уловить и использовать для формирования изображения. Такой слой обнаружен у кошек, собак, глубоководных животных и у некоторых приматов, например у руконожек. В принципе человек тоже мог бы получить тапетум, но за счет некоторой потери фокусировки зрения.
Для решения проблемы фокусировки у некоторых ночных животных изменилась общая структура глазных клеток, и в будущем люди могут взять такие модификации на вооружение. Например, можно изменить положение ядра в палочках, поместив гетерохроматин в центре ядра, а эухроматин и другие факторы транскрипции – на периферии клетки. Толщину этого слоя можно увеличить. Такая конфигурация повысит вероятность попадания света на нужные фоторецепторы и поможет улучшить его восприятие без ущерба фокусировке. Модифицированные глаза могут стать крупнее, чтобы еще больше улучшить улавливание света.
Как уже говорилось, восприятие света зависит от длины волны. Можно представить себе модификацию колбочек, позволяющую им работать в расширенном спектре. Однако интерпретация новых фотонов потребует комплексной перестройки электрохимических цепей глаз и мозга. Если удастся преодолеть эти электрические барьеры, то перед нами откроются совершенно новые возможности восприятия мира и Вселенной (например, появится инфракрасное зрение).
Выяснить потенциал расширения человеческого зрения и связанные с этим вызовы поможет изучение многочисленных животных, зрение которых существенно отличается от нашего. Некоторые холоднокровные способны воспринимать инфракрасное излучение. У змей, например, вдоль челюстей расположены тепловые сенсоры. Комары (к нашему сожалению) могут видеть CO2 и чувствовать тепло тех животных, кровью которых они кормятся. Некоторые рыбы (золотые рыбки, лососи, пираньи и цихлиды) используют инфракрасное зрение, чтобы ориентироваться в мутной воде. Инфракрасное зрение есть даже у лягушек, у которых оно активируется при помощи витамина А и фермента Cyp27c1.
Человеку вполне можно было бы добавить зрение в инфракрасном или ближнем инфракрасном диапазоне, это позволило бы нам, подобно комарам, различать тепловые сигнатуры окружающих объектов. Человеческий глаз создан для восприятия света в видимом диапазоне (длина волны 400–700 нм), но Ган Хань из Медицинской школы Массачусетского университета показал, что этот диапазон можно расширить и включить в него ближнюю инфракрасную область, 750–1400 нм. Это позволило бы глазу работать как тепловизор. В 2019 г. Хань с коллегами ввели за сетчатку мышам наноматериал, так называемые апконвертирующие наночастицы. Они содержат атомы редкоземельных элементов (эрбия и иттербия), позволяющие преобразовывать низкоэнергетические фотоны ближнего инфракрасного излучения в видимый спектр, где они воспринимаются как зеленоватые. Мыши нормально реагировали на вспышки такого света. Проделать такую операцию удалось, добавив белок, который связывается с глюкозой в фоторецепторах. Такие генно-модифицированные мыши смогли ориентироваться в Y-образном сосуде с инфракрасным освещением, тогда как обычные мыши блуждали во тьме.
Пожалуй, в данном случае наиболее важно, что апконвертирующие наночастицы оказались безвредными. Они работали в мышиных глазах на протяжении не менее двух с половиной месяцев, не вызывая заметных побочных эффектов. В принципе, термографическое зрение у млекопитающих можно схожим образом реализовать при помощи органических красителей, благодаря которым будет казаться, что предмет окрашен в более разнообразную гамму. Эта функция может быть очень полезной в долгосрочных экспедициях, когда астронавты попадут в отдаленные от Солнца миры (например, на Титан).
Усовершенствованию поддается даже структура мозга. Например, сравнивая животных из разных частей эволюционного древа (т. е. в филогенетическом отношении), можно заметить явные отличия у высших млекопитающих, касающиеся устройства сенсорных и моторных путей в коре головного мозга (они управляют базовыми движениями). Отличия прослеживаются и в устройстве кортикоспинального тракта (это магистраль моторных нейронов, отходящая из головного мозга в спинной). В частности, количество окончаний аксонов в этом тракте, дотягивающихся до спинномозговых моторных нейронов, устойчиво растет от полуобезьян к человекообразным обезьянам и людям и даже может влиять на сроки/качество развития речи (как показано Эриком Джарвисом). Следовательно, увеличение числа таких нейронов может привести к развитию более тонкой моторики и повышению выживаемости и адаптивности на других планетах. После расширения пределов достижимого для существующей жизни мы сможем перейти к расширению пределов самой жизни.
Лучший способ предсказать будущее – изобрести его.
АЛАН КЭЙ,
американский ученый в области теории вычислительных систем
К 2201 г. множество видоизменений организма улучшит жизнь на Земле, а также поможет астронавтам совершать дальние экспедиции и успешно осваиваться на новой планете. Их суть и подходы к реализации будут зависеть от того, куда мы направляемся. Именно физические и экологические условия новых миров, которые мы собираемся посетить или обжить, определят спектр генетических или молекулярных изменений, необходимых для выживания. Одни планеты окажутся гостеприимными, другие – не очень, в зависимости от того, насколько мы сможем расширить пределы жизни.
Практически все ожидаемые свойства жизни, которую мы рассчитываем встретить в Солнечной системе, основаны на наших знаниях о пределах адаптации, характерных для обитателей Земли. Но здесь возникают принципиальные вопросы: что нам известно о пределах жизни? Как далеко она может зайти и как это связано с ее способностью к адаптации и процветанию в новых экосистемах?
Чтобы ответить на эти вопросы, обратимся снова к старым добрым экстремофилам. Некоторые экстремофилы настолько приспособились к своей среде обитания, что уже не могут существовать вне ее. Другие же способны выживать в экстремальных ситуациях, но предпочитают более умеренные. Таких существ называют экстремотолерантными, в принципе, они могут навещать своих подлинно экстремальных собратьев. В идеале генная и клеточная модификация должна позволить сделать людей, и в частности астронавтов, экстремотолерантными. Возможно, когда-нибудь мы обнаружим или создадим идеальную копию Земли (либо сами доведем какую-либо планету до такого состояния), но проживание на других планетах Солнечной системы потребует серьезной биоинженерии. Если некоторые районы Марса могут быть сопоставимы по климату с наиболее суровыми северными регионами нашей планеты, то на других, например на Венере, гораздо жарче, чем когда-либо было на Земле (рис. 8.1). Если мы планируем наделить организм человека экстремальными возможностями, то сначала должны как следует изучить экстремофилов, обитающих рядом с нами.

Рис. 8.1. Градиенты выживаемости: с точки зрения давления и температуры совершенно ясно, что Земля занимает особое место в Солнечной системе
Именно на это нацелены проект Extreme Microbiome, которым руководит Скотт Тиге из Вермонтского университета, работа Кастхури Венкатесварана в NASA и исследования, проводимые в лаборатории Мейсона в медицинском колледже Вейля при Корнеллском университете. Полученные ими результаты позволяют не только оценить условия, в которых способны выживать земные бактерии, но и выявить биохимические механизмы, сделавшие их жизнь возможной. Когда мы полностью поймем эти биологические функции и способы адаптации, можно подумать об их переносе в другие системы, например в организм человека или других существ, которых мы отправим на другие планеты.
Экстремофилы обитают по всей Земле в самых разных экосистемах и подвергаются воздействию множества стрессовых факторов, в частности высоким или низким температурам (термофилы/психрофилы), высокому давлению (барофилы или пьезофилы), высокой солености (галофилы), повышенному/пониженному уровню pH (алкалифилы/ацидофилы), сильной радиации (радиофилы). Бактерии-эндолиты выживают в микроскопических полостях глубоко в земных породах. Именно в таких укрытиях, скорее всего, стоит искать жизнь на Марсе и других небесных телах. Вполне возможно, что жизнь на Земле началась с термофилов, обитавших близ гидротермальных источников на дне океана (черных курильщиков). Сегодня такие организмы встречаются в гейзерах и тех же гидротермальных источниках, в том числе глубоководных. В данном случае уместно упомянуть Pyrococcus fumaris – доказано, что эта бактерия способна размножаться при температуре 113 ℃ близ стенок черного курильщика. В черных курильщиках в Китае обитают археи, способные выжить при температуре 400 ℃. Их обмен веществ основан на хемосинтезе, они выделяют сероводород.
Психрофилы приспособились к холоду, поэтому хорошо чувствуют себя в арктическом и антарктическом климате. Как показала работа Пабуло Рампелотто, их белки богаты глицином, сохраняют повышенную гибкость, меньше взаимодействуют друг с другом и представлены более мелкими фрагментами – все это помогает избежать замерзания. В 2014 г. Кристнер с коллегами описал археи, обитающие в Антарктике, которым для выживания требуются лишь ионы аммония и метан. Возможно, они на протяжении миллионов лет существовали при полном отсутствии солнечного света и ветра. Такие организмы вполне выжили бы на Титане.
Радиофилы выдерживают высокие дозы радиации (как космических лучей, так и ядерного происхождения). Настоящий «микросупермен» – дейнококк (Deinococcus radiodurans) сохраняет жизнеспособность при дозах до 5000 Гр, а Thermococcus gammatolerans выживает даже при дозах до 30 000 Гр. Оба этих микроорганизма можно найти в охлаждающей воде атомных станций. Подобно Супермену, имеющему множество суперспособностей, эти бактерии выдерживают низкие температуры, обезвоживание, вакуум и даже высокую кислотность. Поэтому их называют полиэкстремофилами, которым нипочем любой стресс.
К 2201 г. будут практически полностью каталогизированы все варианты адаптации и потенциала земной жизни. Станет понятен генетический источник способностей экстремофилов, и появится возможность наделения ими других организмов. Подобные идеи тестируются уже сейчас (например, у нас в лаборатории делаются попытки внедрять гены тихоходок в человеческие клетки для повышения их устойчивости к радиации). Эти способности можно интегрировать в клетки человека с помощью искусственных мини-хромосом. Такой подход обеспечит долговременную устойчивость к факторам среды, позволит избежать изменения защищаемого человеческого генома и даже удалять эти адаптации впоследствии. Продвинутая система генетической модификации откроет путь к узконаправленной модификации в нужный момент. Экспедиции к дальним планетам и спутникам, в частности к Титану, начнутся к 2250 г., и для этого потребуются новые способы видеть, новые источники света и энергии.
Биоритмы, регулирующие циклы сна и бодрствования, называются циркадными. Возможно, поддерживать циркадные ритмы окажется проще, если искусственное освещение, при котором нам придется жить, будет напоминать солнечный или лунный свет. Технология, позволяющая получать свет с нужной длиной волны с точностью до нанометра, обеспечит рост растений, контроль над микроорганизмами, а людям поможет работать. Чем дальше мы будем уходить от родной планеты, тем сложнее будет отыскать нужный свет.
Квантовые точки – это миниатюрные нанометровые кристаллы, которые (в зависимости от размера) излучают свет разных оттенков. Они появились в результате технологического прорыва в полупроводниковой индустрии и теперь позволяют воспроизводить весь спектр цветов. В этой области работает, например, компания Nano-Lit Technologies под руководством Сары Морган. Сегодня квантовые точки используются в солнечных батареях, флуоресцентных биологических метках и даже в обычных лампах, устанавливаемых в больницах и офисах. Пилотные испытания квантовых точек уже проводились в нескольких модулях на МКС, чтобы улучшить быт и условия работы экипажа. Если планируется небольшая вылазка в окрестностях Земли, то для поддержания биоритмов вполне хватит имитации восходов и закатов. Но так ли необходима адаптация к стандартному земному циклу, если речь идет о суточных ритмах далекой планеты?
К счастью, на Земле много организмов, приспособившихся жить в полной темноте. Получилось у них – получится и у нас. Существа, обитающие в глубинах океана, прекрасно себя чувствуют в отсутствие солнечного света. Яркий пример – рыба-удильщик, имеющая отросток со светящейся за счет биолюминесценции приманкой перед пастью. В кромешной тьме в глубинах океана даже тусклый огонек притягателен. Как только добыча подплывает ближе, «охотник» ее заглатывает. Удильщик всего один из десятков известных видов, существующих уже 100–130 млн лет (по данным секвенирования митохондриальной ДНК) в темных и холодных морских глубинах. Следовательно, целые экосистемы существуют в полной темноте и ледяной воде (273 K) при солености 3–4 % намного дольше, чем люди.
Вероятно, под поверхностью Энцелада (спутника Сатурна) скрывается целый океан, в котором почти везде чрезвычайно холодно – примерно –173 ℃ (100 K), кроме тех зон, где из недр спутника вырываются плюмы разогретых силикатов. Там температура океана может достигать 87 ℃ (360 K), примерно как у гидротермальных источников на дне земных океанов. Согласно исследованиям Шона Сюя и его коллег, проведенным в 2015 г., плюмы из разогретых силикатов и соленой воды отлично подходят для зарождения и развития жизни.
Выводы о таком биологическом потенциале сделаны на основе изучения адаптаций, характерных для земных экосистем вокруг черных курильщиков, которые обычно располагаются на дне океана в зонах расхождения литосферных плит. Если на Земле это результат тектонической активности, то на Энцеладе аналогичный эффект возникает под действием притяжения Сатурна. В обоих случаях такие непрерывные планетарные пертурбации должны способствовать формированию жизни.
Вокруг гидротермальных источников на Земле в течение миллионов лет растут и развиваются целые экосистемы, благодаря которым возникают совершенно новые биоценозы и биохимические процессы. В них обитают такие организмы, как погонофоры – гигантские кольчатые черви. Температура в источниках может достигать 400 ℃ (673 K), а вокруг них кишит жизнь: различные ракообразные, моллюски и, конечно же, микробы. Эти микробы, возможно, в течение миллиардов лет существуют без солнечного света, используя хемосинтез. Они синтезируют органические вещества, окисляя неорганику. Пищей им служит водород из гидротермальных источников, сероводород и метан. Из этих молекул они черпают жизненную энергию.
Эти глубоководные микроорганизмы даже образуют симбиозы, как и животные, обитающие на суше. Интересно, например, питаются гигантские трубчатые черви рифтии (Riftia pachyptila), живущие у черных курильщиков. Внутри этих червей обитают гамма-протеобактерии, пользующиеся их защитой. Эти бактерии синтезируют органические соединения, благодаря чему трубчатые черви обходятся без пищеварительной системы. Поскольку сера присутствует только в перегретой воде источников, а кислород – в окружающей холодной воде, бактерии получают все необходимое для жизни, не покидая тела хозяина. Именно благодаря таким тиоавтотрофам выживают трубчатые черви, и это прекрасный пример симбиоза, который можно взять в качестве модели для экосистем Титана или других миров.
Но достичь такой гармонии непросто. Сера спонтанно реагирует с кислородом, образуя оксиды, точно как железо спонтанно реагирует с кислородом – и в результате образуется ржавчина. Как правило, тиоавтотрофы могут существовать только на границе океана и атмосферы, т. е. в такой среде, где проще бороться с окислением серы. В глубинах океана подобная пограничная среда образуется в организме трубчатых червей, делая возможным их симбиоз с гамма-протеобактериями.
С учетом многообразия жизни в самых экзотических экосистемах Земли было бы удивительно не обнаружить ее признаков на Энцеладе или в других мирах, где есть вода в жидком состоянии. Даже если жизнь там не зародилась самостоятельно, некоторые земные экстремофилы смогли бы прижиться в новых условиях, если мы осторожно и целенаправленно принесем их туда.
По сравнению со многими экстремофилами и бактериями, способными самостоятельно обеспечивать себя всеми необходимыми метаболитами, люди (во многих отношениях) – жалкие потребители. В результате неуправляемой эволюции современные люди утратили способность синтезировать девять из 22 незаменимых аминокислот. Чтобы выжить, человеку приходится получать девять аминокислот (гистидин, изолейцин, лейцин, лизин, метионин, фенилаланин, треонин, триптофан и валин) с пищей.
К сожалению, молекулярная ущербность людей на этом не заканчивается. В человеческих клетках не синтезируются некоторые витамины, жизненно необходимые организму. Это витамин А (см. главу 7, где шла речь о зрении), B1 (тиамин), B2 (рибофлавин), B5 (пантотеновая кислота), B6 (пиродоксин), B7 (биотин), B9 (фолиевая кислота), B12 (кобаламин), E и K. Более того, даже те витамины, которые вырабатываются в организме человека (например, витамин B3 (ниацин) и D), зачастую синтезируются в недостаточном количестве и требуют восполнения за счет пищи или кишечной микрофлоры. В результате естественного отбора и дрейфа генов человек и большинство других сложных многоклеточных организмов утратили способность синтезировать многие незаменимые аминокислоты и метаболиты. Так почему бы просто не дополнить геном человека недостающими компонентами, нужными для синтеза этих важнейших молекул?

Рис. 8.2. Биохимические пути и этапы биосинтеза аминокислот у человека. Здесь представлены кратчайшие пути, необходимые человеку для синтеза всех аминокислот. Черными линиями показаны этапы, уже присутствующие в человеческом организме, серыми – гены, полученные от других видов. Серые кружочки без обводки обозначают не являющиеся незаменимыми аминокислоты, которые современный человек способен синтезировать. Незаменимыми считаются аминокислоты, синтез которых в организме человека можно обеспечить только при помощи генной инженерии. Показано примерное количество шагов на биохимическом пути и участвующие в этом гены, а также исходные молекулы, необходимые для синтеза.
Задавшись такой целью, Харрис Ван и Джеф Боке в 2020 г. приступили к созданию человеческих клеток с механизмами синтеза витаминов. Хотя для синтеза всего набора витаминов потребуется серьезная генно-инженерная работа, план действий уже перед нами, и, чтобы его придерживаться, нужно изучать другие, более самодостаточные виды. По всей видимости, механизм синтеза некоторых молекул (например, валина) будет несложно воссоздать у человека: этот процесс осуществим всего в четыре шага. С другими веществами все гораздо сложнее: так, процесс возобновления синтеза витамина A в человеческом организме включает 22 этапа. На возвращение триптофана потребуется примерно 16 шагов, фенилаланина – 13, и даже для возобновления производства сравнительно простого гистидина необходимо выполнить последовательность из 10 шагов. В целом для синтеза витаминов и аминокислот нужно модифицировать всего 230 генов, что вызывает значительный энтузиазм в сообществе «любительского биохакинга и практического трансгуманизма» (http://diyhpl.us/diyhpluswiki).
Чтобы вновь обрести такую самодостаточность на молекулярном уровне, можно даже реактивировать давно забытые генетические реликты, сохранившиеся у нас в геноме, а не добавлять человеку новые гены. Мертвый псевдоген, отвечающий за синтез витамина C, тихонько сидит у нас в геноме, причем не только у нас, но и у других сухоносых приматов (Haplorhini), и ждет своего воскрешения. Однако у полуобезьян (Strepsirrhini), в частности у лемуров, до сих пор сохранился активный, функционирующий вариант этого гена. Известно, каким бичом мореплавателей XVI–XVII вв. была цинга, причина которой – дефицит витамина C. Эта болезнь также может всерьез осложнить жизнь астронавтов в далеком космосе. Но если методом генной инженерии возродить в человеческих клетках механизм синтеза витамина C, то проблема цинги в космических путешествиях будущего отпадет сама собой. Если этот ген удастся реактивировать, то, возможно, лимоны и апельсины станут для нас обычным лакомством (будем добавлять их в марсианские коктейли), а не незаменимым ресурсом.
Хотя «реактивация» синтеза витамина С была продемонстрирована на мышах, у человека возвращение такой способности может привести к неожиданным и негативным последствиям из-за плейотропии. Не исключено, что ген синтеза витамина C в нашем геноме перестал работать не случайно в процессе эволюции. Одной из причин может быть просто то, что наши предки получали с пищей достаточно витамина С и, следовательно, не нуждались в его синтезе. В таком случае повторная активация этого гена не представляет опасности и избавит нас от необходимости получать витамин с пищей. Независимо от наших намерений добавление новых генов и целых биохимических путей – сложный и потенциально непредсказуемый процесс. Но в последующие годы или десятилетия мы сможем опробовать такие изменения генома и оценить их последствия в разных контекстах и в разной окружающей среде. Как и во всем в нашей жизни, в конечном итоге все сведется к вопросу «Чем мы готовы пожертвовать ради определенной выгоды?». Располагая достаточным временем, потери можно свести к минимуму, а выигрыш максимизировать. Рано или поздно мы создадим прототрофные человеческие клетки, которые будут сами синтезировать все незаменимые аминокислоты.
Исследования, оптимизация и внедрение модификаций в геном (сформировавшийся в результате неуправляемой и ненаправленной эволюции) пойдут столь стремительными темпами, что рано или поздно эти технологии начнут все больше приобретать… занимательный характер. После того как это станет нормой, люди будут заниматься генетическими изменениями для развлечения. Правда, легкий доступ к этой технологии может спровоцировать злоупотребление ею.
Трагическим примером подобного стало злоупотребление опиоидами в США в начале 2000-х гг. Первоначально такие препараты разрабатывались в чисто медицинских целях, чтобы с их помощью облегчать муки пациентов, восстанавливающих силы после серьезной хирургической операции или травмы. Вместо того чтобы терпеть боль, люди могли принимать опиоиды. Но в реальности эти препараты вызывают сильное привыкание. В довершение производители скрывали степень их опасности. В результате в истории США начался период, когда – впервые за несколько десятилетий – ожидаемая продолжительность жизни снизилась (особенно у белых мужчин). Ранее показатель ожидаемой продолжительности жизни проседал из-за войн, голода или эпидемий, а на этот раз снижение было обусловлено фармакологическим фактором.
В 2019 г. были приняты меры, которые помогли немного смягчить опиоидный кризис: бесплатные клиники, поддержка пациентов, социальная инфраструктура. Телемарафоны, вызовы врача на дом, лечебно-профилактические мероприятия координировались и активно финансировались из федерального бюджета. В конце концов положение удалось выправить.
Пусть эта история послужит предостережением для тех, кто готов пробовать генетическую модификацию ради забавы. Имея доступ к описанным выше методам эпигенетического редактирования, человек может решить: «хочу включить эти гены на сегодняшний вечер» или «хочу, чтобы эти гены работали у меня все лето». Это создает беспрецедентные риски. Возможно, такое вмешательство обойдется без последствий, но с тем же успехом оно может превратиться в неконтролируемый эксперимент с нарушением клеточной регуляции.
Тем не менее есть основания для надежды. Возможно, в занимательной генетике мы увидим те же тенденции, что сегодня наблюдаются при лечении ВИЧ. Исходно диагноз «ВИЧ» был равносилен смертному приговору, особенно в начале 1980-х гг. Но ожидаемая продолжительность жизни с ВИЧ стала увеличиваться с появлением антиретровирусной терапии, нуклеозидных аналогов и иммуномодулирующих лекарств. В 2017 г. был преодолен важный рубеж, о котором сообщил журнал The Lancet HIV. Впервые с момента открытия ВИЧ средняя ожидаемая продолжительность жизни у ВИЧ-положительных пациентов в США превысила среднюю ожидаемую продолжительность жизни населения в целом. Ученые и врачи по всему миру всерьез заинтересовались – почему?
Как оказалось, такой эффект дал легкий, постоянный и надежный доступ к системе здравоохранения, позволяющей выявлять проблемы со здоровьем до того, как они станут настолько опасными, что обычными препаратами ситуацию уже не исправить. При ВИЧ легкие инфекции, если их не лечить, могут привести к сепсису, но на ранней стадии они вылечиваются дешевым антибиотиком. Абсцессы обнаруживают и диагностируют еще до того, как поражение успеет распространиться на окружающие ткани. Мелкие проблемы со здоровьем остаются незначительными, а ожидаемая продолжительность жизни растет.
На описываемом этапе 500-летнего плана (2250 г.) должна появиться постоянно населенная космическая станция на околоземной орбите, и ожидаемая продолжительность жизни ее обитателей может увеличиться просто потому, что они будут под постоянным медицинским наблюдением и смогут оперативно получать помощь. Учитывая, с каким вниманием и дотошностью будут анализироваться малейшие колебания здоровья на всех этапах космической экспедиции, будь то в ходе смены на станции или на пути к Марсу, можно надеяться, что небольшие риски так и останутся небольшими.
Кроме того, на протяжении полета риски могут быть просто ниже, чем кажутся. Допустим, корабль окажется в совершенно чужеродной среде, но разве это значит, что экипаж будет в большей опасности, чем где-нибудь на Земле? Пожалуй, нет. Хотя в течение года, проведенного на орбите, у Скотта Келли возникало множество молекулярных изменений, по возвращении на Землю большинство показателей пришли в норму. Кроме того, многие молекулы попросту оказались устойчивее и изменились меньше, чем в случае, если бы Келли не покидал Земли. За год на орбите эпигеном и метилирование ДНК у Скотта претерпели меньше изменений, чем у Марка. Таким образом, при жизни на Земле может произойти больше эпигенетических изменений (обусловленных стрессом или просто старением), чем в жестко регулируемой и контролируемой среде МКС. Это говорит о том, что очень строгий контроль сна, приема пищи, физической нагрузки и взаимодействия с искусственной средой может способствовать более длительной и здоровой жизни.
Остается надеяться, что ко времени завершения этапа 6 будут получены первые аутотрофные или как минимум прототрофные человеческие клетки, которые приобретут новые функции, увеличивающие продолжительность жизни и улучшающие ее качество. Ожидаемая продолжительность жизни марсианских колонистов приблизится к той, что характерна для землян. На Марсе родится первый ребенок. В завершение этого этапа начнется планирование первого пилотируемого полета к Титану.
Единственная преграда на пути развития человечества – это невежество, однако оно преодолимо.
РОБЕРТ ГОДДАРД,американский ученый, один из пионеров ракетной техники
К 2250 г. образ жизни людей будет отличаться от нынешнего еще больше, чем жизнь в 2000-м отличалась от ситуации 1750 г. У марсианской части человечества появится совершенно новая культура, диалекты, будут другие продукты питания и даже верования или вариации существующих ныне религий. Например, мусульманам на Марсе придется молиться, обращаясь к пыльному небу, когда Земля, а следовательно, и Мекка, будет находиться над головой. В остальное время процедура вознесения молитв будет прежней.
К началу этапа 7, как предвидел писатель-фантаст Ким Стэнли Робинсон, появятся первые результаты «озеленения Марса», а жизнь на Красной планете отделится от земной и обретет самостоятельность. С учетом гораздо более низкого атмосферного давления на Марсе по сравнению с земным (100:1) довольно сложно представить, что растения будут нормально развиваться под открытым небом, но это не исключено. Кроме того, вполне возможно, что некоторые штаммы бактерий смогут прижиться в марсианском грунте. В этот период продолжится подготовка к более далеким экспедициям, в том числе межзвездным, которые важны для сохранения нашего метавида в долгосрочной перспективе. Мы начнем строить корабли, рассчитанные не просто на одну экспедицию или работу в течение одного десятилетия, а на века. На таких кораблях будут жить и сменяться поколения людей.
Но сначала необходимо ответить на ряд ключевых вопросов. Можно ли отправить людей на планету, до которой несколько световых лет? Что лучше, позволить поколениям жить и сменяться на корабле или погрузить участников экспедиции в состояние анабиоза? Этичным ли будет такой подход? Куда следует отправиться? По силам ли нам это?
До 1992 г. отсутствовали прямые доказательства существования планет за пределами Солнечной системы (экзопланет). Менее чем через 30 лет, к 2020 г., мы обнаружили тысячи экзопланет. Кроме того, известны уже сотни планет-кандидатов, орбиты которых находятся в зоне обитаемости, где могли бы жить люди. Правда, чтобы добраться до них, нужен отважный экипаж, готовый покинуть Солнечную систему, и еще более смелое поколение людей, родившихся во время экспедиции, цель которой выбирали не они. Скорее всего, этому поколению никогда не доведется увидеть наше Солнце, и оно станет для него лишь яркой точкой на небе.
На самом деле идея о пожизненном пребывании нескольких поколений людей на одном корабле не нова. Впервые в своем эссе «Последняя миграция» ее описал в 1918 г. известный ракетостроитель Роберт Годдард. Он одним из первых приступил к разработке ракет для полетов в космос и, естественно, размышлял о создании такого корабля, который когда-нибудь достигнет другой звезды. В XXI в. DARPA и NASA инициировали проект 100 Year Starship с тем, чтобы стимулировать исследования и разработку технологий, необходимых для межзвездных путешествий. Некоторые его участники также работают в рамках Инициативы по межзвездным исследованиям (i4is), возглавляемой Кельвином Лонгом и Робертом Суини. I4is нацелена на просвещение и исследования, касающиеся сложностей межзвездных путешествий и подготовки людей к длительным экспедициям.
Годдарда захватила концепция биологического вида, вырвавшегося за пределы родной планеты, но ровно о том же мечтали мореходы и звездочеты с начала письменной истории. Любой ребенок, всматривающийся в ночное небо, мечтает там полетать. Но обычно всем хочется вернуться домой. Рано или поздно нам придется спланировать и создать общество и город на борту космического корабля, летящего в другую звездную систему без возможности вернуться на Землю.
Такая грандиозная задача потребует преодоления множества трудностей, среди которых можно выделить шесть основных: 1) расстояние, 2) запас энергии, 3) преодоление межзвездной среды, 4) биологические и физиологические риски, 5) выбор и подготовка мира для посещения и 6) этические дилеммы. Звезды находятся очень далеко, и до них сложно добраться за приемлемое время, по крайней мере с двигателями XX в. Межзвездные расстояния обычно измеряются в световых годах. Световой год – это расстояние, которое свет преодолевает в вакууме за год (9,46 × 1012 км). Также межзвездные расстояния измеряются в парсеках (парсек – расстояние, с которого средний радиус земной орбиты виден под углом в одну секунду, что составляет 3,26 светового года или 3,086 × 1013 км). Ближайшая к нам звезда, Проксима Центавра, находится в 4,24 светового года от Земли. Хотя, расстояние 4,24 светового года ничтожно в масштабах Вселенной, нам понадобится немало времени, чтобы туда добраться, поскольку современные космические корабли остаются тихоходными.
Например, когда экипаж «Аполлона» возвращался с Луны на Землю в 1969 г., его капсула двигалась со скоростью 39 897 км/ч. К 2020 г. зонд «Вояджер-1» (первый искусственный объект, покинувший Солнечную систему, т. е. вышедший за пределы гелиосферы) развил скорость 62 140 км/ч, что в 1,6 раза больше скорости «Аполлона» на обратном пути и составляет 1/18 000 скорости света. При такой скорости «Вояджер-1» достигнет Проксимы Центавра за 73 687 лет. В 2020 г. самым быстрым объектом стал солнечный зонд «Паркер», развивший скорость 692 000 км/ч. С такой скоростью можно долететь до Проксимы Центавра всего за 6617 лет, т. е. за время путешествия к ближайшей звезде успеют смениться примерно 220 поколений людей. Обеспечить полет одного корабля, который завершится 220 поколений спустя, – серьезная задача как для исходного экипажа, так и для всех его потомков. По оценке Жана-Марка Салотти, для выживания на ближайшей планете (Марсе) необходимо как минимум 110 человек, а для более длительной экспедиции к другой звезде понадобится гораздо больше людей.
Единственный способ сократить численность экипажа – увеличить скорость корабля, и здесь мы подходим ко второй проблеме: где взять энергию, необходимую для ускорения и жизнеобеспечения корабля. Чтобы уменьшить длительность пути до новой звезды и, соответственно, количество поколений, нам придется либо сжигать больше топлива, либо создать новый космический корабль на основе технологий, на порядки превосходящих возможности XX в. Независимо от технологии ускорение мы должны будем обеспечивать либо за счет (невозобновляемого) топлива, которым заправились на Земле, либо за счет света звезд (в межзвездном пространстве эта задача серьезно усложняется), либо за счет сбора топлива по пути (это может быть, например, водород из межзвездной среды), либо разгоняться методом гравитационной пращи, проходя поблизости от небесных тел.
Существует множество идей по улучшению тяговой технологии, которые помогают по-новому взглянуть на проблему. Термоядерные реакторы не столь радиоактивны и обеспечивают более эффективное преобразование энергии (> 1 % при термоядерном синтезе и < 0,1 % в ядерном реакторе). Следовательно, на их основе можно было бы сконструировать корабли, развивающие гораздо более высокую скорость. По оценкам Британского межпланетного общества (проект Daedalus), NASA, Военно-морской академии США (проект Longshot), загрузив в термоядерный звездолет всего 2000 т топлива, можно разогнаться до 100 млн км/ч и сократить путешествие всего до 45 лет (примерно одно поколение). Еще более высокую эффективность может обеспечить двигатель на антивеществе (предлагаемом, например, в проекте Valkyrie). Но хорошо известно, насколько сложно контролировать антивещество и даже просто получать его, поскольку Вселенная в основном состоит из вещества.
Даже если нам удастся решить проблемы, связанные с энергией и преодолением расстояния (сконструировав двигатель с высочайшим КПД, позволяющий развивать огромную скорость), мы упремся в следующую проблему: на пути через Вселенную нас ждет град убийственных «булавочных» уколов. Например, песчинка, движущаяся со скоростью 90 % от скорости света, имеет достаточную кинетическую энергию, чтобы превратиться в небольшую ядерную бомбу (2 кт в тротиловом эквиваленте). Учитывая, что в космическом пространстве летают частички самого разного размера, а для целей экспедиции потребуется сверхвысокая скорость, нас в любой момент могут ожидать катастрофические столкновения. Даже микрометеориты или увесистые пылинки могут серьезно повредить поколенческий корабль. Для преодоления этих сложностей потребуются дополнительные технические решения. Толстая броня в данном случае не подойдет, поскольку она не только износится со временем, но и чрезмерно утяжелит корабль. Возможно, эту проблему удастся решить путем: 1) создания более легких полимеров, которые прямо в полете можно будет латать и менять по мере необходимости; 2) организации дальнего мониторинга, позволяющего отслеживать потенциально опасные объекты задолго до столкновения; 3) выбрасывания из носовой части корабля некого вещества, которое позволит гасить энергию встречных частиц или как минимум замедлять их перед столкновением.
Как показывают исследования Twins Study и других годичных миссий под эгидой NASA, экипажу поколенческого корабля придется столкнуться и с четвертой проблемой: физиологическим и психологическим стрессом. Как уже говорилось, технические ограничения преодолеваются либо увеличением скорости корабля, либо наращиванием защиты от столкновений с космическим мусором. А в случае четвертой проблемы можно замедлить биоритмы человека, погрузив путешественников в спячку или диапаузу. Однако если человек переедает и проводит целые дни напролет без движения, то у него повышается риск развития диабета второго типа, ожирения, сердечно-сосудистых заболеваний и даже смерти. Но медведи впадают в спячку и выходят из нее без какого-либо риска. Как? Почему?
В период спячки с медведем не происходит ничего экстраординарного. У него немного понижается температура тела, сердцебиение замедляется до пяти ударов в минуту, и он несколько месяцев обходится без еды, мочеиспускания и дефекации. Он почти не движется, но при этом сохраняет нормальную мышечную массу и плотность костей. В период спячки медведица даже может принести потомство и кормить детенышей молоком. Во время спячки медведи почти идеально перерабатывают отходы собственной жизнедеятельности, тогда как другие животные в таком случае рискуют отравиться, получить сепсис и даже погибнуть. Фокус с переходом в спячку отчасти можно объяснить снижением чувствительности к инсулину и поддержанием стабильного уровня сахара в крови. Можно сказать, что медведь спит в «энергосберегающем» и «кардиощадящем» режиме. В сердце работают всего две камеры из четырех, а кровь сгущается, приближаясь по вязкости к соусу барбекю.
В 2019 г. под руководством Джоанны Келли было проведено эпохальное исследование, выявившее у медведей в период спячки резкие изменения экспрессии генов. В этой работе использовалась та же технология секвенирования РНК (Illumina), что и в эксперименте Twins Study. Ученые наблюдали за медведями гризли в период накопления жира с последующей спячкой. Оказалось, что во время спячки в тканях всего тела происходят скоординированные динамические изменения экспрессии генов. Хотя медведи крепко спали, в их жировой ткани сохранялась высокая активность: происходил метаболизм, наблюдались изменения экспрессии более 1000 генов. Эти «гены спячки» нужно в первую очередь изучать у людей, которые решат путешествовать на поколенческом корабле в состоянии анабиоза[24].
Еще один биологический механизм, которому может найтись применение на звездолете, – диапауза. Во время нее организм может затормозить собственное развитие, чтобы переждать неблагоприятные условия окружающей среды (скажем, перепады температур, засуху или нехватку пищи). Многие виды мотыльков, в частности амбарная огневка, могут переходить в диапаузу на разных стадиях развития в зависимости от окружающих условий. Если огневке нечего есть (например, она попадет в пустыню, где нет зеленых растений), то она попробует выждать, пока не наступят более благоприятные времена и не появится пища.
Диапауза не такое уж редкое явление. Эмбриональная диапауза наблюдается более чем у 100 млекопитающих. Даже после оплодотворения эмбрион некоторых млекопитающих может «попробовать выждать». Бластоциста (эмбрион на начальной стадии развития) не сразу прикрепляется к матке, а словно дремлет и практически не развивается. Это немного похоже на то, как альпинист делает паузу во время восхождения, чтобы переждать усилившийся ветер, и тем временем продумывает возможные маршруты. Хотя в период диапаузы эмбрион и не прикреплен к стенке матки, ему удается переждать неблагоприятную ситуацию (например, недостаток питательных веществ). Таким образом, срок беременности у самки может существенно варьировать. Пока не существует технологий, которые позволяли бы погружать человека в спячку или диапаузу, но к 2251 г. они вполне могут появиться. Первой проверкой этих идей станет путешествие на Марс и обратно, а затем экспедиция на Титан (это уже, скорее всего, без возврата на Землю).
Невесомость, радиация и общий стресс, с которым сопряжена экспедиция, скажутся на мышцах, суставах, костях, иммунной системе и глазах астронавтов – и эти факторы нельзя недооценивать. Особое беспокойство вызывают физиологические и психологические риски, учитывая, что большинство моделей опирается на результаты относительно кратких экспедиций. Во время таких полетов мы остаемся под защитой земной магнитосферы. Наиболее длительное исследование такого рода – 340-дневный орбитальный полет капитана Скотта Келли.
Многие из этих проблем отпали бы, если, например, сконструировать вращающуюся платформу, создающую искусственную гравитацию ~1g. Другая серьезная проблема, уже рассмотренная выше, – радиация. Теоретически существует много способов снизить этот риск, будь то экранирование корабельного корпуса (для такой защиты будут во многом характерны те же проблемы, что и для брони от космического мусора), упреждающее медицинское вмешательство (активно изучается NASA в XXI в.), регулярный и частый мониторинг внеклеточной ДНК для раннего обнаружения мутаций. Также можно было бы подвергать астронавтов клеточной или генной модификации для повышения стойкости к радиации (речь о генах Dsup и TP3, также рассмотренных выше). Наиболее подходящей, особенно для долгосрочной экспедиции за пределы Солнечной системы, будет, пожалуй, многоуровневая защита от радиации: корабль, фармацевтика, модификация клеток и ДНК.
Но даже если решить проблему с радиацией, надо что-то делать с психологическим и когнитивным стрессом, связанным с изоляцией и необходимостью постоянно быть в окружении одних и тех же людей. Представьте, например, что вам придется всю жизнь провести в компании своей семьи и коллег в одном и том же здании. Если первое поколение астронавтов можно подобрать специально с учетом психического здоровья, то их дети на поколенческом корабле могут быть не так хорошо приспособлены к полету.
Как показывают испытания на Земле с моделированием аналогичных условий, небольшой экипаж (команда проекта Mars-500) с трудом выдерживает 500-дневную изоляцию: как правило, отношения становятся напряженными и даже антагонистическими. В художественной и нехудожественной литературе существует множество описаний «космического безумия», но данные по моделированию такого синдрома и связанных с ним рисков пока ограничены. Мы просто не знаем, как бессменный экипаж и его потомки смогут работать десятки, сотни и тем более тысячи лет спустя. На корабле возможны расколы, мятежи и даже вооруженный конфликт. Такие модели поведения всегда были свойственны людям, и остается лишь надеяться, что при наличии четкой цели они окажутся не столь острыми. История человечества изобилует примерами не только смут, войн, раздоров и политического вероломства, но и сотрудничества, взаимопомощи и коллективного управления во имя больших целей (например, на исследовательских станциях в Антарктиде).
Прежде чем будут запущены первые поколенческие корабли, нужно решить еще одну, пятую проблему: собрать максимум информации о планетах-кандидатах, куда мы отправим первых колонистов. Наиболее оперативный способ – как можно быстрее отправить космические зонды в звездные системы, выбранные для заселения, с их помощью собрать как можно более детальную информацию и снабдить ею экипажи кораблей до отправления. Такие идеи уже прорабатываются, примером служит проект Breakthrough Starshot, предложенный Юрием Мильнером, Стивеном Хокингом и Марком Цукербергом. Идея довольно проста, а ее физические принципы подробно описал в 2018 г. Кевин Паркин. Если снарядить исключительно легкий космический аппарат, оснащенный миниатюрными камерами, навигационным оборудованием, телекоммуникационными средствами, тяговыми двигателями для корректировки курса и запасом энергии, то такой аппарат можно с ускорением гнать к цели, прицельно подталкивая его лазерным лучом. Если у такого миниатюрного зонда StarChip будет «световой парус», на который можно наводить лазер, то в случае постоянного ускорения он сможет преодолеть путь до Проксимы Центавра b (расположенной в 4,3 светового года от нас) всего за 25 лет и отправить нам собранные данные. Для получения этой информации на Земле потребуется еще 25 лет. Тогда мы будем лучше представлять, с чем предстоит столкнуться экипажу, который полетит туда. Идея такого плана принадлежит Филипу Любину, который в статье «Дорожная карта межзвездных перелетов» предложил соорудить многокилометровую решетку настраиваемых лазеров, способных сфокусироваться на парусе StarChip и обеспечить совокупную мощность 100 ГВт для разгона.
В идеале стоило бы заранее подготовить планету к прибытию людей – кстати, именно так в XXI в. планируются экспедиции на Марс. Если такие зонды окажутся эффективными, то с их помощью можно было бы доставлять на другие планеты не только датчики, но и бактерии. На этом пути, несомненно, окажется множество трудностей, намного серьезнее проблем миссии StarChip. Однако они полностью укладываются в тот спектр условий, в которых достоверно выживают земные экстремофилы (речь о температурах, давлении и уровне радиации). Даже старые добрые тихоходки, с которыми мы познакомились в главе 4, выживают в вакууме и могли бы перенести рейс до другой планеты в компании других «посевных» организмов. Конечно, идея «подготовительного зонда», засевающего другую планету земными микробами, которую предложил в 2016 г. Клаудиус Грос, нарушает все существующие руководства по охране инопланетной экологии. Но это был бы наилучший способ подготовки планеты к прибытию людей, поскольку можно целенаправленно подобрать микроорганизмы-предшественники. Лучше всего переходить к такой подготовке только после того, как роботизированные зонды подробно изучат планету и снизят вероятность нанесения вреда существующей биосфере.
Естественно, в основе биологических, тактических и психологических проблем поколенческого корабля лежит одно ключевое ограничение: пассажиры заперты в нем. Это подводит нас к шестой проблеме, которую предстоит решить: этический аспект. Этично ли поместить группу людей в один корабль с расчетом на то, что они дадут там жизнь другим поколениям? Им придется жить с осознанием того, что единственный доступный для них мир – тот самый корабль, на котором они, возможно, и родились. На поколенческом корабле должна быть создана определенная социальная, экономическая и культурная инфраструктура, предусмотрены возможности для отдыха. Например, там должна быть база данных со всем культурным наследием Земли, хотя ни одному человеку не хватит жизни, чтобы охватить всю эту информацию. Для участников экспедиции должны быть сооружены полноценные симуляторы виртуальной реальности (в фантастической вселенной «Звездного пути» такой отсек называется «Голопалуба»), это уже не является фантастикой. Костюмы, камеры для виртуальной/дополненной реальности и установки для «полного погружения» уже реализованы на Земле в развлекательных целях, а для экипажа поколенческого корабля эти технологии будут жизненно важны.
У членов экипажа должна быть возможность не только действовать индивидуально, но и участвовать в коллективных видах деятельности, играх и т. п. Например, команды из состава экипажа смогут соревноваться на виртуальных площадках, и для этого потребуется значительно более простая инфраструктура и снаряжение, чем для традиционных спортивных состязаний. Видеоигры выполняют не только образовательную и рекреационную функцию, но и служат технологическим цементом общества.
Игры необходимы людям. На протяжении всей истории человечества, от Древнего Рима до конца XX в., десятки тысяч зрителей собирались на стадионах, чтобы полюбоваться спортивными состязаниями. Но в начале XXI в. уже известны случаи, когда не меньшая аудитория заполняет стадион, желая посмотреть, как опытный геймер участвует в мировом первенстве. В 2019-м первый приз в Кубке мира по игре Fortnite составлял $3 млн – больше, чем на Уимблдонском турнире ($2,98 млн), в гонке «Индианаполис-500» ($2,53 млн) и турнире «Мастерс» по гольфу ($1,98 млн). Экипажу из XXIV в. будет несложно представить концепцию виртуального мира, способного развлекать массы, поскольку она уже существует в XXI в. Если члены экипажа захотят понюхать цветы, ощутить тепло полуденного солнца Среднего Запада, то и это вполне осуществимо.
Некоторые критики идеи пилотируемого поколенческого корабля указывают, что даже при наличии бесконечных игр экспедицию не следует начинать, если ее невозможно завершить в пределах человеческой жизни. Лучше подождать прогресса в области технологии двигателей и космического кораблестроения (а также в сфере биологической и генной инженерии). Вполне возможно, если мы отправим поколенческий корабль к Проксиме Центавра b в 2500 г., то по пути его обгонит другой корабль с более совершенным двигателем, стартовавший в 3000 г.
Постулат непрерывного морального устаревания сформулирован Робертом Форвардом в 1996 г. Кажется, что все постоянно улучшается, а технологии продолжают совершенствоваться практически в любых человеческих обществах. Так как же определить, когда наступит нужный момент? Предсказывать будущее, как известно, очень сложно.
Любые тезисы относительно «несправедливости к космическому кораблю будущего» не выдерживают критики в контексте деонтогенной этики и просто с практической точки зрения. Хороший вариант – необязательно враг наилучшего. Можно отправить не один корабль, а два – первый в 2500-м, второй в 3000 г. Если новый корабль нагонит более старый, то его экипаж сможет помочь другому, и такой вариант нужно предусмотреть. К тому же довод о моральном устаревании упускает ключевой риск слишком долгого выжидания. За 500-летний промежуток времени наш вид может вымереть, а именно этого мы пытаемся избежать.
Но даже при наличии всевозможных развлечений, вариантов отдыха и надежды на то, что рано или поздно вас нагонит новый, более совершенный корабль, станут ли члены экипажа неотрывно глядеть в иллюминаторы на звездное небо и думать при этом о голубых океанах? Или они будут тешить себя мыслью о своей «избранности» и возможности исследовать и, без преувеличения, построить новый мир? В реальности именно этот корабль станет их миром, а для большинства – вообще единственным миром, в котором им доведется жить.
Впрочем, такое ограничение в принципе типично для условий жизни людей на протяжении всей истории человечества. Люди всегда были заперты на одной планете, смотрели на звезды и думали «А что, если?». Этот корабль (Земля) велик и разнообразен, но все равно он единственный и имеет ограниченный набор ландшафтов, экосистем и ресурсов. Все жители XXI в. рождаются и умирают на этом корабле без шансов отправиться куда-либо еще. Насчитывается несколько сотен людей, побывавших в космосе, т. е. временно покидавших поверхность Земли. Все мы сейчас заперты на одном корабле. Поколенческий корабль – лишь уменьшенная версия того, на котором мы выросли, и, если не допустить ошибок, он даже сможет привести к планете, которая лучше нашей.
Серьезным ограничением любых экспедиций на поколенческих кораблях будет запас необходимых ресурсов, которые невозможно синтезировать либо пополнить по дороге. Как минимум четыре вида деятельности требуют ограниченных ресурсов: производство пищи, изготовление материалов, получение лекарств и утилизация отходов. Усовершенствованные методы получения этих ресурсов можно развертывать постепенно, чтобы обеспечить адаптивную интеграцию биотехнологий наряду с уже налаженными небиологическими процессами. Так можно приблизиться к созданию все более самодостаточных поселений.
Благодаря непрерывному техническому развитию люди постепенно будут снижать свою зависимость от Земли, научатся пользоваться ограниченными ресурсами, взятыми с нее, а также добытыми на планетах или спутниках. Начиная с Марса мы будем ограничены в запасах, привезенных с Земли, и станем полагаться на то, что можно получить на месте. Это минимизирует потребность в привозных ресурсах и открывает путь к независимости, более широкому исследованию мира.
Центральную роль в переходе на местные ресурсы должна играть земная биология. Сочетание технологий генного и клеточного редактирования с сильными сторонами экстремофилов потенциально позволит нам существовать на таких планетах, как Марс. Обитатели Земли (и люди в том числе) в течение миллиардов лет оттачивали навыки преобразования природных материалов в сложные соединения. Также организмы освоили саморепликацию, научились функционировать в различных экологических условиях и передавать сохраненную информацию в форме ДНК или РНК.
Идея не сводится к тому, чтобы доставить экстремофилов на другую планету и оставить их там на произвол судьбы. Нет, по мере совершенствования, удешевления технологий синтеза ДНК они станут применяться в космосе и на других планетах. Благодаря их использованию мы сможем ускорить биологическую эволюцию любого организма почти до скорости света.
Предположим: мы основали базу на Марсе и ее жители начинают серьезно страдать из-за повреждения тканей. В то же время на Земле создается продукт на основе генно-модифицированного микроорганизма, улучшающий репарацию тканей. Данные о генетических последовательностях, необходимых для производства этого продукта, можно передать с Земли на Марс (на эту операцию требуется от трех до 22 минут в зависимости от взаимного расположения планет). Как только информация поступит на Марс, ДНК нужного организма можно будет напечатать – и живая культура этого организма окажется на Марсе и сможет там производить нужный продукт. Аналогично если мы откроем новые организмы на Марсе или на Титане (при этом подразумевается, что их ДНК во многом напоминает нашу), то их ДНК можно будет секвенировать, проанализировать, оцифровать и в такой форме отправить на Землю для последующего синтеза и изучения в условиях, где нет ограничения ресурсов. В дальнейшем такая практика позволит исследователям на других планетах и спутниках быстрее находить методы адаптации к новым условиям.
Такая «двусторонняя биология» произведет революцию в наших представлениях о передаче биологической информации в межзвездных масштабах. Это позволит не только найти решения, помогающие людям выжить на Марсе, но и получить обратную связь, которая облегчит устранение некоторых наиболее острых земных проблем. Подобные надежды высказываются в дискуссиях представителей Марсианского общества, NASA и других космических агентств.
В 2018 г. Шеннон Нэнгл и Михаил Вольфсон организовали дискуссионную площадку Viriditas, призванную объединить опыт промышленников, ученых и представителей правительства, намеренных ускорить высадку на Марс и создание там базы. Ее участники наметили план освоения Марса по той модели, что изложена в книгах Робинсона. В нем представлен четкий набор целей, которые нужно достичь на Марсе, а затем и на Титане. Они касаются, в частности, естественной биоемкости, биопроизводства и биорекультивации.
Биопроизводство, как говорилось выше, – это способность получать сложную молекулярную продукцию. Биопроизводство известно человечеству уже не одно тысячелетие и продолжает применяться в таких областях, как пекарское дело, синтез антибиотиков и пивоварение, а также получение рекомбинантного инсулина, клеток CAR-T и инновационных биоматериалов, в частности синтетической паутины. Биорекультвация – важная часть утилизации городских отходов с начала XIX в. В настоящее время при биорекультивации активно задействуется клеточный метаболизм, позволяющий преобразовывать вредные или бесполезные отходы в более безопасную и полезную форму. Большинство людей об этом не задумывается, но кал, моча и прочие отходы хорошо поддаются переработке. Большие успехи в биорекультивации наблюдаются на МКС. Там перерабатывается 93 % всех жидких отходов, в том числе моча, конденсат и пот членов экипажа. Процесс переработки занимает восемь дней, а на выходе получается вода, которая чище основной массы питьевой воды на Земле. Когда Скотта Келли спросили, доводилось ли ему на МКС «пить собственную мочу», он улыбнулся и ответил: «И не только свою».
В идеале системы для переработки отходов должны устанавливаться прямо в обитаемых блоках и не допускать существенного загрязнения. Поначалу биотехнологические установки будут применяться в качестве резервных, но с их освоением именно биотехнология превратится в основное средство синтеза и возобновления ресурсов.
Производство пищи – одна из самых естественных и жизненно важных областей применения биотехнологии на других планетах. В долгосрочной перспективе от производства пищи будут зависеть все экспедиции. В фантастических романах астронавты часто питаются «кашицей», содержащей все жизненно важные аминокислоты и питательные вещества. Это месиво якобы выглядит, пахнет и ощущается одинаково – что до попадания в кишечник, что после. В XXI в. пища космонавтов куда ароматнее, однако, хотя космическое питание разрабатывается с прицелом на максимальную эффективность, ему далеко до идеала. Но в длительных и далеких экспедициях рацион космонавтов должен быть разнообразным, приятным, питательным и вкусным, чтобы психологически людям было комфортнее. Возможность ухаживать за цветущими растениями и ощущать их запах поможет поддерживать дух экипажа в течение долгого путешествия.
На корабле мало места и важен каждый кубический сантиметр. Примерно с такими же ограничениями сталкиваются городские любители, которым приходится выращивать некрупные растения на стеллажах с небольшими лотками. Недостаток места компенсируется урожайностью. Плантации в закрытом помещении функционируют круглый год при оптимально подобранной влажности, освещении и температуре, поэтому и плодоносят растения гораздо лучше, чем в традиционном сельском хозяйстве. Как показывает опыт, чем короче интервал между сборами урожая, тем больше продукции можно получить. Эти уроки имеют прямое отношение к культивированию сельхозкультур на космических кораблях и на других планетах.
Подобные варианты оптимизации уже описаны в литературе. В частности, изучением этих проблем занимается Закари Липпман из лаборатории Колд-Спринг-Харбор и Майкл Шатц из Университета Джонса Хопкинса. В 2015 г. Липпман и его группа вывели новый сорт томатов с повышенной урожайностью и ускоренным созреванием, откорректировав работу трех генов (SP, SP5G и SIER) – они регулируют репродуктивный рост, время цветения и длину стебля. Редактирование этих генов при помощи технологии CRISPR позволило повысить скороспелость растений. Кроме того, у томатов укоротился стебель, они стали компактнее.
Наряду с генно-модифицированными оптимизированными растениями, как те, что получились у Липпмана, можно задействовать в качестве пищевых добавок полезные микроорганизмы и определенную микрофлору. Например, в XXI в. широко распространилась практика ферментативного производства вкусовых добавок и продуктов неживотного происхождения. Такие разработки помогут значительно улучшить качество пищи, в частности ее вкус. Для успешного развертывания таких производств на других планетах необходимо совместно выводить на целевой планете как пищевые культуры, так и ферментирующие их организмы. Например, при акклиматизации на Марсе единственными доступными источниками углерода для микроорганизмов будут CO2 и CH3OH, а всей системе придется функционировать в условиях жесткого излучения и загрязнения.
Как бактерии, расцепляющие метанол, так и литоавтотрофы, использующие углекислый газ для ферментации, разнообразят рацион экипажа, на них можно будет опробовать производство пищи на Марсе. Как известно из опыта на Земле, ферментация может происходить в биореакторах, где генетически модифицированные организмы будут синтезировать сложные углеводы и белки. Уже охарактеризован геном некоторых метилотрофных организмов, в частности Methylophilus methylotrophus и Pichia pastoris. Их можно оптимизировать для промышленного культивирования и задействовать в крупномасштабном производстве. Кроме того, если встроить метилотрофные гены в E. coli, это позволило бы улучшить вкус, текстуру и питательные свойства получаемых продуктов, как продемонстрировал Йенс Шрадер из Института Карла Виннакера. Биореакторы с такими организмами показывают очень высокую эффективность. В одном аппарате объемом 50 м3 можно получить столько белка, сколько дают 10 га посадок сои, а урожай созревает за считаные дни. Таким же образом можно модифицировать литоавфтотрофы, чтобы они одновременно окисляли водород и связывали углекислый газ, генерируя таким образом олигосахариды, белки и жирные кислоты для питания.
На Земле уже существуют технологии промышленного выращивания водорослей, в частности Arthrospira platensis, для производства продуктов питания и биотоплива. Но они плохо поддаются коммерциализации из-за высоких капитальных затрат на реакторы и обеспечение высокой концентрации углекислого газа, необходимой для оптимизации производства. Марсианская атмосфера богата CO2, поэтому там эта проблема превращается в преимущество. При сочетании клеточной инженерии и эффективной технологии освещения, подобной квантовым точкам, которые мы обсуждали выше, фотоавтотрофы на других планетах вполне могут синтезировать пищу, богатую углеводами, белками и жирными кислотами.
Чтобы наладить производство пищи, прежде всего нужно научиться культивировать растения и получать нужные вещества на новой планете, в идеале (почти) без обработки. Далее можно перейти к выращиванию фотоавтотрофов на гидропонных фермах в контролируемых условиях, а также культивировать в грунте земные растения с высокой энергетической ценностью, для начала – сою, картофель и арахис. Для Марса с его слабой инсоляцией, пыльными бурями, отличным от земного профилем питательных микроэлементов и потенциально токсичным грунтом, нужны модифицированные растения, способные развиваться как на Земле. При помощи генно-модифицированных бактерий можно подготовить грунт к высаживанию растений. Благодаря этим мерам марсианские колонисты смогут добиться самообеспечения и протестировать технологии для полета к Титану и жизни на поколенческих кораблях. В дальнейшем, когда генно-инженерными методами удастся создать прототрофных людей, такие «усовершенствованные» астронавты смогут обходиться меньшим количеством питательных веществ.
Для обустройства инфраструктуры на других планетах потребуются разнообразные материалы. Сначала они будут завозиться с Земли, но рано или поздно их придется синтезировать в обживаемом мире. В идеале большинство веществ нужно научиться добывать из того сырья, которым изобилует новый мир: на Марсе это CO2, а на Титане – CH4 или N2. Реголит, скорее всего, станет основным строительным материалом, из которого будут возводиться здания и все остальное (в частности, подземные жилища, лаборатории, реакторы, инструменты и транспорт).
Значительную часть материалов для экспедиции будут составлять пластмассы, так как они исключительно универсальны. Некоторые виды пластика можно производить химическими методами, наладив производственные цепочки, например превращать этилен в полиэтилен, этанол – в олефины и прозрачный полиметилметакрилат. Правда, для переработки этих материалов потребуется энергия, помещения и специальная аппаратура, подобная полуавтоматическому рециркулятору пластика, ныне работающему на МКС (этот прибор собран компанией Made In Space). Он может подавать материал прямо в 3D-принтер. Важным классом сырья станут материалы на биооснове, нам придется освоить их переработку для будущих экспедиций, поскольку такие вещества поддаются регенерации при помощи биологических механизмов (в частности, катализа и метаболической обработки). Марсианские пластики могут производиться из местного CO2 и идти на изготовление жизнеобеспечивающей инфраструктуры. Для ускорения процессов и оптимизации выращивания можно подключить к делу приспособленные для Марса организмы, в том числе модифицированные по технологии CRISPR.
На Земле материалы, получаемые микробиологическим путем, в целом сложно внедрять из-за низкой эффективности таких технологий и высокой стоимости по сравнению с петрохимическим и животным сырьем. Но на поколенческом корабле или Марсе выбора просто не будет. При отсутствии минералов, животных, а также в условиях дефицита энергии придется использовать материалы на биооснове. В конечном итоге инопланетные товары, например «марсианский шелк», станут поставляться на Землю и будут способствовать экономическому росту внеземных колоний.
Некоторыми первопроходческими работами в области проектирования новых материалов на биооснове занимается доктор Нери Оксман, дизайнер, профессор Media Lab в Массачусетском технологическом институте. Среди ее работ есть Aguahoja pavilion – структура, напоминающая по форме отлитый из меда кокон. Она состоит из самых распространенных биоматериалов на Земле, в том числе из целлюлозы, хитозана, пектина, прутиков, кусков дерева, коралловых остовов и костей. Оксман продемонстрировала, что эти материалы можно автоматически печатать, сочетать, отливать из них фигуры, придавать им форму при помощи воды, а затем собирать из них крупные устойчивые структуры. Такие обработанные восстановленные биоматериалы легко найдут применение как в обычном строительстве, так и в самом взыскательном искусстве. Некоторые творения Оксман уже сегодня выглядят как марсианские.
По мере роста потребности в повышении объемов производства будет развиваться промышленная инфраструктура, опирающаяся на ресурсы нового мира. Начнется добыча полезных ископаемых, выплавка металлов, разработка новых технологий. На этом этапе развития некоторые планеты будут окультурены до полной самодостаточности, что резко снизит вероятность полного вымирания человечества и всего нашего метавида. Техническое развитие, обеспечивающее самодостаточное существование на других планетах и спутниках в Солнечной системе, поможет заполнить пробелы, пока отделяющие нас от запуска поколенческих кораблей.
При подготовке любой долгосрочной экспедиции необходимо тщательно продумывать состав аптечки, которая позволит справляться со специфическими космическими рисками, снизить риск несчастных случаев и поддерживать нормальное здоровье экипажа. Во время дальних экспедиций, даже к Марсу, вряд ли будет возможность экстренно вернуться на Землю и пополнить запасы. Для сохранения физического и психического здоровья экипажа необходима терапевтическая самодостаточность экспедиции, в которой важную роль играет использование местных ресурсов.
Использование лекарств в космосе – обычное дело. На протяжении первых 20 экспедиций на МКС члены экипажа принимали примерно 12,6 дозы лекарств на человека за одну смену (по данным Ребекки Блю из Лаборатории аэрокосмической медицины и исследования вестибулярного аппарата клиники Mayo, штат Аризона). С 21-ю по 40-ю экспедицию члены экипажа принимали в среднем по 23,1 дозы препаратов на человека. В числе этих лекарств были ноотропы, снотворные, средства от зуда, головной боли и заложенности носа.
Тем не менее, по данным проведенных NASA опросов, астронавты в 40 % случаев сообщали о «частичной эффективности или неэффективности» этих медикаментов. Похоже, во время космического полета препараты от зуда, аллергий и заложенности носа почти не работают. Это говорит о существенном изменении механизма воздействия лекарств на организм. Скорее всего, это связано с общим обезвоживанием, перераспределением тканевых жидкостей (в частности, лимфы), а также с изменением мочевыделения. Такие нарушения почти наверняка станут серьезной проблемой для участников первых марсианских экспедиций, однако они в определенной мере преодолимы на кораблях с искусственной гравитацией. Чем больше пилотируемых экспедиций будет снаряжаться и чем внимательнее мы будем следить за состоянием астронавтов, тем эффективнее сможем решать эти проблемы, изменяя подходы к методам лечения, осуществляя генную модификацию организма астронавтов или видоизменяя космические корабли и экосистемы.
При подготовке первых экспедиций и снаряжении поколенческих кораблей придется загружать на борт полный набор препаратов и предусматривать их радиационную защиту, чтобы не допустить деградации. Но для длительной экспедиции этого будет недостаточно. Например, на МКС (согласно нормам FDA) срок годности 87 % препаратов не превышает 24 месяцев. Это касается и препаратов массового производства, включая инсулин, опиоиды, а также значительную часть прекурсоров антибиотиков.
Кроме того, появится серьезная потребность в радиозащитной терапии, необходимой для обеспечения длительного присутствия человека в космосе. Согласно текущим оценкам NASA, та доза радиации, которую человек получит всего за 30-месячный путь к Марсу, превысит дозу облучения, получаемую астронавтом за всю карьеру (см. главу 3). В XXI в. уже существуют препараты, в частности филграстим, предназначенные для облегчения системных симптомов острой лучевой болезни. Исследуются и многие натуральные продукты, чтобы проверить, могут ли они защищать от радиационного воздействия или запускать процессы клеточной репарации. Чтобы справиться с вызовами, возникающими при биопроизводстве таких препаратов в космосе или на новой планете, может применяться генная или эпигенетическая инженерия. Подобные меры помогли бы купировать или предотвратить радиационный ущерб. Например, для этого можно было бы временно активировать в ДНК те биохимические пути «быстрого реагирования», которые кодирует ген Dsup, имеющийся у тихоходок.
Наконец, когда появится подходящая инфраструктура на Марсе или поколенческом корабле, именно биопроизводство на базе местных ресурсов станет основным источником наиболее востребованных препаратов. Налаженный конвейер фармацевтического производства также позволит синтезировать специфические нишевые препараты экстренно или по требованию. Информацией о новых препаратах можно будет обмениваться с Землей. Наконец, технологии секвенирования ДНК и основанные на них диагностические методы позволят выявлять патогенные организмы и даже нацеливать терапевтическое вмешательство на изменение конкретных оснований ДНК. Именно такие возможности продемонстрировала наша лаборатория в 2015 г. на «рвотной комете» и в 2016 г. в рамках проекта NASA Biomolecular Sequencer. Также вполне вероятно, что уже на Марсе будут разработаны новые методы химического и биологического обнаружения патогенов (в том числе на основе секвенирования), которые можно будет оптимизировать для применения на Земле.
На Земле анаэробное разложение используется в основном для обработки сточных вод, особенно при одновременном производстве биогаза и удобрений. На новых планетах потребуются инновационные методы утилизации отходов, позволяющие создать замкнутый цикл жизнеобеспечения. При переработке отходов можно будет перевести в биодоступную форму жизненно важные элементы (в частности, азот, фосфор и серу), которые сложно или невозможно извлечь из естественной среды. Например, сейчас NASA рассматривает отходы человеческой жизнедеятельности / органические отходы, выдыхаемые газы и твердые неорганические отходы как «пробелы в возможностях», ликвидируемые путем развития биотехнологий. В космосе любые отходы (включая мочу и кал) – это сокровище.
На первом этапе биоутилизация будет сводиться к переработке мочи, пота и выдыхаемого конденсата, как это сейчас делается на МКС. Моча в данном случае – один из самых качественных исходных материалов, поскольку она проста с химической точки зрения и в ней высока концентрация питательных веществ. Кроме того, она более однородна, чем твердые отходы. Необработанная моча использовалась в сельском хозяйстве в качестве удобрения с тех пор, как люди заселили Плодородный полумесяц, а технология биоутилизации мочи в качестве питательной среды для микроорганизмов кажется перспективной. Например, A. platensis, выращиваемая в моче, производит питательные вещества и белки практически с тем же успехом, что и в обычной питательной среде. Однако требуется дополнительная генная модификация, чтобы справиться с угнетением роста бактериальной культуры под действием вторичных метаболитов. Также необходимо подстроить бактериальный метаболизм к составу мочи экипажа (обусловленному рационом во время экспедиции), а также к лимитирующим факторам, характерным для колонизируемой планеты.
С развитием технологий биоутилизации системы замкнутого цикла позволят перерабатывать и твердые органические отходы. Это гораздо более сложный процесс, учитывая разнородность человеческих фекалий, пищевых и растительных отходов. Неизвестно, насколько устойчивыми будут жизненные циклы бактерий в таких условиях, как на Марсе. Из-за криоконсервации они могут стать неактивными. Как бы то ни было, экскременты экипажа опасны, как и любой источник загрязнения (что справедливо и для Земли), поэтому их неизбежно придется утилизировать. На МКС экскременты экипажа, как правило, в упакованном виде сбрасываются с борта и сгорают в атмосфере. Если вам нравится смотреть в небо в надежде увидеть падающую звезду, учтите, что иной раз это может быть какашка[25].
В конечном итоге генно-модифицированные микробы, прижившиеся на Марсе, позволят повысить эффективность имеющихся систем переработки отходов. Более сложные системы утилизации, например для органического мусора, упаковки и химикатов, можно значительно улучшить с помощью метаболической инженерии микроорганизмов. Для этого используются пространственно-связанные микробные сообщества. При таком подходе микроорганизмы расселяются в отдельных биомодулях, через которые последовательно проходит питательная среда. Так удается поддерживать оптимальные условия жизнедеятельности для каждого организма или микробного сообщества и передавать промежуточные продукты обмена веществ из одного биомодуля в другой.
Метаболическая инженерия позволяет оптимизировать пути биосинтеза и биоразложения, в которых участвует множество организмов, а также снизить метаболическую нагрузку на отдельный генно-модифицированный штамм. Сочетая генную инженерию с созданием микробных сообществ, можно «под заказ» создавать системы для биоутилизации и переработки различных отходов. Кроме того, как говорилось в предыдущих главах, продолжают создаваться все новые кластеры биосинтетических генов, которые могут привести к появлению совершенно новых биохимических процессов и методов утилизации отходов с использованием местных ресурсов. Эволюция наделила земную жизнь множеством уникальных адаптивных механизмов. В последующие десятилетия нас ждет богатый урожай новых биологических возможностей по мере открытия новых форм жизни на других планетах.
Лучше примерно решить актуальную задачу, чем найти точное решение никому не нужной.
РИЧАРД ХЭММИНГ,
американский математик
К 2351 г. прогресс в сфере биотехнологий и других областях позволит нам заглянуть в будущее, где готовится к запуску поколенческий корабль. У нас появятся беспрецедентные возможности перерабатывать, преобразовывать и утилизировать прямо на корабле любые жизненно необходимые микроорганизмы и материалы. В идеале мы сможем выбирать, к какой из множества планет отправиться. К 2400 г. мы сможем выбрать лучшие кандидаты (рис. 10.1) и вывести спутники на орбиты вокруг многочисленных планет (рис. 10.2). Попробую кратко обрисовать, что нам известно к сегодняшнему дню, как мы к этому пришли и на что можно рассчитывать к 2400 г.

Рис. 10.1. Темпы открытия и типы экзопланет. После 1989 г. выявлено более 4000 экзопланет.

Рис. 10.1a. Количество выведенных в космос искусственных объектов и их текущий статус. Зонды и космические корабли могут находиться на орбите, разрушаться на орбите, планово сводиться с орбиты, находиться на геоцентрической или гелиоцентрической орбите, возвращаться на Землю или находиться в неактивном состоянии (на орбитальном кладбище).

Рис. 10.1b. Местоположение искусственных объектов, запущенных в космос. С 1959 г. объекты побывали на Луне, Венере, Марсе, астероидах Эрос и Рюгу.

Рис. 10.2. Количество объектов, запущенных в космос, с разбивкой по годам и странам. Сюда входят Россия, США, Китай и другие страны или агентства, в том числе Япония, Франция, Индия, Великобритания, Европейское космическое агентство (ЕКА), Германия, Intelsat.
Как уже говорилось в главе 3, процесс открытия новых генов ускоряется с увеличением количества отсеквенированных и аннотированных геномов, и эта работа не останавливается ни на день. С незапамятных времен люди замечали явное наследование черт в семьях, а также сходство близнецов. Попытки описать эти черты и связать их с конкретными генами или группами генов не прекращаются со времен Менделя, экспериментировавшего с горохом в 1850-е гг. Точно так же, как генетика изучает перестроения, воспроизводство и изменчивость сложных биологических молекул, астрономия исследует взаимодействие молекулярных комплексов и энергии (от атомного до галактического уровня). В результате этого взаимодействия постоянно рождается, умирает и возрождается все, что мы воспринимаем как Вселенную.
Со времен открытий вавилонских звездочетов, относящихся ко второму тысячелетию до нашей эры, нам известно, что помимо Земли существуют и другие планеты, например Венера и Марс. В наши дни любой человек при желании может разглядеть Венеру на ночном небе, а обладатели хорошего телескопа могут даже увидеть кольца Сатурна. Хотя Земля долгое время воспринималась как центр Вселенной (геоцентрическая система), в конце концов люди поняли, что она лишь одна из планет, обращающихся вокруг большой звезды (гелиоцентрическая система). Постепенно мы составили более полное представление о нашей Солнечной системе и тех объектах, которые входят в ее состав. Так, официально считается, что в ней восемь планет и множество карликовых планет, в частности Плутон, Эрида и Макемаке, расположенные далеко в поясе Койпера[26]. Но только в последние десятилетия мы начали понимать, как много других объектов вращается вокруг Солнца (например, спутников и астероидов). Только в нашей Солнечной системе было описано более 200 лун.
Ранее предполагалось, но оставалось недоказанным, что другие звезды во Вселенной тоже имеют планетные системы. Первые внесолнечные планеты (экзопланеты) были открыты только в 1992 г. После первых открытий число найденных экзопланет росло довольно медленно, но сейчас мы располагаем данными о множестве мест, пригодных для существования инопланетной жизни. Кстати, именно в начале 1990-х гг. технологические достижения позволили перейти к автоматизации секвенирования ДНК, а впоследствии и к анализу целых геномов (1995 г.).
Взрывное ускорение открытия новых генов в организме человека и других живых существ – прекрасная параллель с быстрым открытием небесных тел в нашей Солнечной системе и в бесчисленном множестве других систем в галактике. Эти области знаний формировались и вынашивались как близнецы. Эти два генератора научных открытий необходимы для выживания человеческого рода. Они открывают простор для поиска, отбора и идентификации будущих мест нашего обитания, а также для картирования биологических субстратов и биохимических адаптаций, которые помогут нам выжить в новых экосистемах. Начнем с краткого обзора наших возможностей в выборе планет, начиная с худших.
Представьте, что человек развивается в обратном порядке. Со временем его тело сжимается все сильнее и сильнее, пока не превратится в маленький эмбрион. В сущности, именно так рождаются планеты в протопланетном диске (это космическая версия зародышевого мешка). Как вы, вероятно, уже поняли, весь материал для формирования ребенка в начале рассеян, поэтому его гораздо легче заметить, чем отдельную клетку. Эта метафора вполне применима к планетам и протопланетным дискам. Первое свидетельство существования планеты на орбите у отдаленной звезды (Бета Живописца) было обнаружено в 1984 г. в результате анализа формы протопланетного диска (открытого с помощью телескопа чилийской обсерватории Лас-Кампанас). Однако возможности наземных обсерваторий ограничены из-за флуктуаций атмосферы. Чтобы преодолеть эту проблему, NASA в 1990 г. вывело на орбиту космический телескоп «Хаббл», который впервые позволил получать четкие снимки далеких небесных тел.
Всего через два года после запуска «Хаббла» были открыты первые экзопланеты – два скалистых небесных тела, обращающихся вокруг смертоносного пульсара (разновидность нейтронной звезды). Когда в центре планетной системы находится пульсар, в ней определенно не может быть жизни, хотя бы отдаленно напоминающей земную. Однако это открытие доказало, что за пределами нашей Солнечной системы существуют полноценные другие миры. Любая звезда на небосклоне может «пригреть» одну или несколько планет. Наконец, каждая из этих планет или их спутников может быть обитаемым миром.
Далее требовалось найти планету, обращающуюся вокруг звезды в середине своего жизненного цикла (как наше Солнце). В 1995 г. два астронома (Дидье Кело и Мишель Майор) обнаружили подобную экзопланету. Однако она больше походила на несостоявшуюся звезду, чем на Землю или даже на Марс. По размеру она была в два раза меньше Юпитера, а ее орбита находилась практически у поверхности звезды. Не лучшее место для поиска жизни, напоминающей земную. Такие экзопланеты теперь называют жаровнями из-за интенсивного нагрева звездой.
В 1999 г., был испытан новый метод поиска экзопланет, названный транзитным. Транзит происходит, когда планета проходит мимо диска звезды и немного затмевает ее. В 1999 г. группы под руководством Дэвида Шарбонно и Грега Генри обнаружили экзопланету, которая прошла по диску звезды HD 209458 в созвездии Пегаса. По этому транзиту астрономам удалось не только обнаружить саму планету, но и получить некоторое представление о ее атмосфере. Когда свет проходит через атмосферу, энергия поглощается и отражается тонким поверхностным слоем планеты. По оптическому спектру можно судить, какие элементы Периодической системы Менделеева присутствуют на планете, включая водород, кислород, азот и углерод.
Для понимания принципов спектроскопии нужно знать, как формируются спектры. Основателем спектроскопии считается Исаак Ньютон, который в своей первой работе об использовании призм (трактат «Оптика», 1704 г.) написал, что белый свет состоит из цветовых составляющих. Эти цвета образуют радугу, которую можно наблюдать, когда солнечные лучи проходят через капли дождя. Ньютон определил, что призма не создает новых цветов и не изменяет световые лучи – она разлагает на составные части считавшийся ранее неделимым «чистый белый свет». Он задался вопросом: можно ли с помощью спектра определять, что присутствует внутри света? Но простая стеклянная призма позволяла лишь разлагать свет.
Затем в 1821 г. молодой баварец Йозеф фон Фраунгофер предложил использовать в качестве рассеивателя света вместо стеклянной призмы дифракционную решетку. Это устройство представляло собой набор плотно уложенных параллельных проволочек, подобно волокнам в птичьих перьях. Решетка позволяла четко разделять на цвета свет как от солнца, так и от свечи. Рассказывают, что такая идея пришла Фраунгоферу в голову, когда он смотрел на солнце сквозь птичье перо. Это был красивый и простой эксперимент, доступный для любого желающего. При помощи дифракционной решетки Фраунгофер разработал количественную «шкалу длин волн», а затем опубликовал результаты наблюдений за солнечным светом, отмечая, какие цветовые полосы присутствовали постоянно. Он заметил, что некоторые спектры получались прерывистыми – содержали темные линии. Эти пропуски в то время были необъяснимы. Предполагалось, что это лишнее подтверждение фрагментарности и дискретности света. Такие темные полосы по сей день называют фраунгоферовыми линиями.
К середине XIX в. стало очевидно, что каждый элемент Периодической системы Менделеева и даже каждая молекула может иметь специфический спектр излучения, возникающий в ответ на поглощение света. В 1860-х гг. Уильям и Маргарет Хаггинс впервые попробовали исследовать звездный свет при помощи спектроскопических методов. По их предположению, если Вселенная состоит из тех же атомов, что и Земля, то спектры можно использовать для определения состава любой наблюдаемой планеты или звезды. Впоследствии эта гипотеза подтвердилась, и Хаггинсы первыми получили спектр планетарной туманности и нашли различия между туманностями и галактиками.
Эти наблюдения вдохновили в начале XX в. Нильса Бора и других ученых на исследования, подтвердившие, что спектр не только предсказуем, но и позволяет решить проблему квантовой механики: определить квантовые состояния атомов. Бор сосредоточился преимущественно на изучении атомов водорода, самого распространенного элемента во Вселенной, к тому же обладающего простейшим строением атома (один протон и один электрон). Ученый предположил, что свет может испускаться атомами чистого водорода потому, что атом поглощает энергию на определенной частоте, а затем излучает ее в виде волны определенной длины. Это объяснило бы появление темных фраунгоферовых линий.
Бор оказался прав. Когда атомы поглощают энергию, их электроны переходят на более высокие орбитали, а затем излучают свет, опускаясь на более низкую орбиталь. При этом высвобождается энергия (согласно уравнению E = hυ). Поскольку спектры излучения одинаковы везде, где бы их ни измеряли (на Земле), предполагается, что наблюдаемые спектры планет и звезд даже в другой галактике могут указать на их химический состав. Действительно, спектры позволяют составить дискретную карту элементов, присутствующих в любом лабораторном образце или на поверхности планет, проходящих на фоне диска далекой звезды. Транзитный метод дает возможность зафиксировать спектр излучения экзопланеты во время ее прохождения между звездой и наблюдателем. Ситуация подобна той, в которой Фраунгофер смотрел на солнце через перо. Так реализовалась через 350 лет мечта Ньютона. Теперь, наблюдая с помощью орбитального телескопа за спектрами видимого излучения других планет, мы можем определять их химический состав.
Когда стало ясно, что создание спектральных карт и транзитный метод работают, наука стала развиваться быстрее, пошли новые открытия. В 2001 г. с помощью спектрометра, установленного на телескопе «Хаббл», была обнаружена атмосфера у экзопланеты HD 209458 b. Это было первое свидетельство наличия атмосферы на планете за пределами Солнечной системы. В 2005 г. космический телескоп «Спитцер» позволил наблюдать в инфракрасном спектре две экзопланеты одновременно. С 2007 г. он может идентифицировать сравнительно крупные молекулы, а не только отдельные атомы. Астрономы Дэвид Шарбонно и Хезер Кнутсон при помощи телескопа «Спитцер» составили первый прогноз погоды на экзопланете, указав в числе прочего температуру облачного покрова. Трудно сказать, будет ли данный инопланетный мир подходящим местом для отпуска, но по крайней мере мы можем одеться по погоде. Нет ничего лучше, чем увидеть планету своими глазами. В 2008 г. было получено первое прямое изображение экзопланеты. С помощью телескопа «Хаббл» была обнаружена планета Фомальгаут b, расположенная в 25 световых годах от нас, что довольно близко по астрономическим меркам. Но эта планетка страдает «ожирением» – она примерно втрое больше Юпитера[27].
Несмотря на успехи, достигнутые благодаря транзитному методу, настало время более мощных приборов. В 2009 г. был запущен космический аппарат «Кеплер» для продолжения поиска новых планет, затмевающих свои родные звезды во время прохождения через их диск. Результатов пришлось ждать недолго. В 2011 г. «Кеплер» обнаружил первую скалистую экзопланету, самую маленькую из когда-либо открытых. Она представляет собой большой кусок железа в 4,5 раза тяжелее Земли. Однако, как и многие другие ранее обнаруженные экзопланеты, она расположена слишком близко к своему светилу – даже ближе, чем Меркурий к Солнцу. По сути, это еще одна раскаленная планета, на поверхности которой не может существовать ни одна известная нам форма жизни.
Благодаря постоянному совершенствованию научных методов и аппарату «Кеплер», всматривающемуся в глубины Вселенной, нам наконец-то повезло. В 2014 г. была обнаружена экзопланета (Кеплер-186f), схожая с Землей, чья орбита находится в зоне Златовласки. Если вы никогда не слышали классическую сказку «Три медведя», напомню, что в ней говорится о маленькой девочке (в английском варианте ее зовут Златовласка), которой каша медведя показалась слишком горячей, каша медведицы – слишком холодной, а каша медвежонка пришлась в самый раз. По этой причине ее именем назвали зону, находящуюся на столь же благоприятном удалении от звезды, как и Земля от Солнца. Это зона, где вода существует в жидком состоянии и наблюдаются щадящие температуры.
Кеплер-186f немного больше Земли, скорее всего, эта планета состоит из горных пород, а главное, находится в зоне Златовласки, т. е. на ее поверхности может существовать вода в жидком состоянии. Хотя от нас до этой планеты 500 световых лет, на нее когда-нибудь наверняка отправится экспедиция. Назовем эту планету первой предполагаемой Неоземлей. Вторая Неоземля, покрупнее, была обнаружена в 2015 г. и названа Кеплер-452b. Эта планета больше Земли в 1,6 раза, делает полный оборот вокруг своей звезды за 385 дней и также находится в зоне Златовласки.
К 2016 г. «Кеплер» позволил каталогизировать более 1200 экзопланет, 40 % из которых схожи по составу с Землей. Многие из этих планет находятся в зоне Златовласки. Есть даже планетная система, которая находится всего в 40 световых годах от нас и является воплощением наших самых смелых научно-фантастических фантазий. В ней семь планет размером примерно с Землю, на большинстве из них может быть вода в жидком состоянии. Эта система называется TRAPPIST-1. Еще одна условно пригодная для обитания экзопланета находится в системе нашей ближайшей соседней звезды, Проксимы Центавра. Она удалена от нас всего на 4,2 светового года, и на нее можно отправить зонды. Там человек может найти воду в жидком состоянии прямо на поверхности.
Учитывая эти открытия, в 2018 г. NASA запустило аппарат для исследования транзитных экзопланет (TESS). Его цель – поиск планет, от скалистых малышек до огромных газовых гигантов. Если все пойдет по плану, TESS за время работы может обнаружить порядка 20 000 экзопланет, в том числе 17 000 экзопланет крупнее Нептуна, около 500 планет размером с Землю. В Лаборатории реактивного движения NASA ведется учет найденных экзопланет, а также подсчет планет, находящихся в зоне обитаемости. К XXI в. архив экзопланет Калифорнийского технологического института содержал данные о более чем 4200 объектах[28], 360 из которых находились в зоне обитаемости. Это подводит нас к новым вопросам: сколько всего существует планет? есть ли на какой-нибудь из них жизнь?
Одно из первых уравнений для оценки вероятности существования жизни во Вселенной предложил Фрэнк Дрейк в 1961 г., и теперь его называют уравнением Дрейка. Оно позволяет прикинуть количество внеземных цивилизаций, способных к коммуникации, и строится на идее о том, что если разумная жизнь существует, то она может обладать теми же технологиями, что и мы, и мы сможем установить контакт с ее представителями:
N = R* × fр × ne × fl × fi × fc × L.
Из этого математического выражения следует, что число разумных цивилизаций, готовых к вступлению в контакт (N), равно количеству звезд, образующихся за год в нашей галактике (R*), умноженному на долю солнцеподобных звезд с планетами (fp), количество планет в каждой звездной системе с подходящими для жизни условиями (ne), долю планет, на которых действительно появляется жизнь (fl), вероятность возникновения разумных форм жизни на планете, где есть жизнь (fi), долю планет, где жители способны на контакт и ищут его (fc), и время, в течение которого разумная жизнь отправляет обнаружимые сигналы в пространство (L).
Многие из первых оценок были откровенно спекулятивными, особенно если учесть, что уравнение было составлено до обнаружения экзопланет. Однако новые исследования и уточнения уравнения Дрейка в XXI в. привели некоторых ученых к мысли, что где-то во Вселенной практически наверняка существует жизнь. Согласно текущим оценкам, в год появляется 1,5–3 звезды, около которых может возникнуть жизнь, причем у каждой из них есть не менее одной планеты, и многие из этих планет пригодны для жизни, т. е. находятся либо в зоне Златовласки, либо близко к ней. Если исходить из таких цифр и того, что доля планет, на которых может возникнуть жизнь составляет 1/10 000, доля планет с разумной жизнью – 1/1 000 000, на контакт способны пойти 5 % разумных форм жизни, а жизнь существует по меньшей мере миллиард лет, то во Вселенной должно насчитываться 3,9 млн цивилизаций, от которых мы могли бы получить сигнал.
Но где же они? Этот вопрос заставил в 1950 г. физика Энрико Ферми назвать данную ситуацию парадоксом. Если подобные оптимистические оценки вероятности существования внеземной жизни истинны, то они прямо противоречат полному отсутствию следов ее существования. Возможно, разумные гуманоидные формы жизни чрезвычайно редки, либо же цивилизации других планет недолговечны из-за войн или ограниченности ресурсов (так называемый Великий фильтр), либо они коммуницируют в каком-то другом спектре, который мы пока не можем постичь. Помимо прочего, эти цифры могут быть попросту сильно завышенными. После корректировки лишь некоторых из них в консервативном ключе (уменьшения в 10 или 1000 раз) вероятность встретить инопланетян, с которыми мы когда-либо смогли бы связаться, резко снижается до 0,000001 %.
Другим решением этого вопроса является уточнение уравнения с учетом того, что мы знаем о жизни. В 2013 г. доктор Сара Сигер, ведущий физик-планетолог Массачусетского технологического института, предложила новый подход и уравнение, аналогичное исходному уравнению Дрейка. Уравнение Сигер ориентировано на оценку вероятности обнаружения признаков жизни на экзопланетах по характерным газам-биосигнатурам. Согласно ему, количество планет с определяемыми биосигнатурами (N) равно:
N = N* × fQ × fHZ × fO × fL × fS,
где N* – количество звезд в выборке, FQ – доля спокойных звезд, FHZ – доля каменистых планет в зоне обитаемости, FO – доля наблюдаемых планетных систем, FL – доля обитаемых планет, FS – доля планет с обнаружимыми спектроскопическими биосигнатурами. Это уравнение добавляет в поиск жизни обнаружение продуктов жизнедеятельности.
Хотя некоторые из этих членов выведены из смежных планетологических работ и из уравнения Дрейка, есть и совсем новые. Например, доля планет с биосигнатурами и степень «спокойствия» звезды. Активные звезды часто характеризуются сильным ультрафиолетовым излучением, что приводит к быстрому разложению биосигнатур и затрудняет поиск жизни. Первая проверка уравнения в 2013 г. показала, что пока пригодных для жизни планет всего две (включая Землю) – прямо скажем, совсем немного. Тем не менее поиск новых экзопланет продолжается, а вместе с ним повышается точность оценок и надежность измерений. Кроме того, наши знания об экзопланетах ограничены данными по крошечному, уже исследованному фрагменту галактики. Поэтому в XXI в. сложно добиться достоверности оценок.
Космические телескопы TESS и «Джеймс Уэбб», несомненно, обнаружат еще больше экзопланет, многие из которых будут находиться в зоне обитаемости, а некоторые окажутся достаточно пригодными для жизни. Кроме того, мы можем открыть новые биосигнатуры. Например, если бы инопланетная раса наблюдала за Землей, то кислород стал бы одним из явных маркеров биохимического или биологического процесса. Дело в том, что кислород в свободном состоянии во Вселенной редок. Он обладает высокой химической активностью и в большинстве экосистем надолго не задерживается. В земной атмосфере на кислород приходится 21 %, а значит, он должен вырабатываться на постоянной основе в результате химического или биологического процесса.
Ключевым фактором является не только наличие определенных газов, но и их количество и связанные с ними закономерности. На Земле уровень углекислого газа регулярно понижается и повышается, поскольку в течение одного полугодия Северное полушарие и «зеленые легкие» (особенно в Азии и Северной Америке) поглощают больше CO2, а в течение другого меньше. Подобная динамика на экзопланетах должна быть поводом для их более пристального изучения. Поколенческие корабли полетят в первую очередь туда, где будут обнаружены биосигнатуры. Именно там мы можем обнаружить совершенно новый разумный вид с иной, чем у нас, историей. Единственный способ узнать, правда это или нет, – покинуть родной дом и отправиться на разведку.
Сейчас вопрос заключается уже не в том, сможем ли мы найти экзопланеты или могут ли найтись во Вселенной обитаемые планеты кроме нашей, а в том, какие из них следует выбрать в качестве целей для заселения. Точно так же и в генетике речь идет уже не о возможности модификации генов для лечения болезней (это уже делается), а о том, какие гены нужно модифицировать или синтезировать. С 2000 по 2300 г. многие разработки будут направлены на создание самодостаточных баз на Марсе с полным жизнеобеспечением. Но это всего лишь этап в истории человечества, сравнимый со студенческой скамьей, когда вы покидаете родной дом, уезжаете далеко, где не приходится рассчитывать на мгновенную помощь родителей, пробуете свои силы и определяете пределы возможностей, одновременно обучаясь и попадая в разные истории. Но данные уроки усваиваются, нравится нам это или нет, и помогают продолжить освоение других миров в нашей Солнечной системе. Первая пилотируемая экспедиция на Титан в идеале должна состояться в XXIV в., а первые колонии обосноваться там к 2400 г. Подобная идея уже не кажется такой уж невозможной, поскольку многие планетологи отмечают достоинства этого спутника, в частности Чарльз Уолфорт и Аманда Хендрикс в своей книге «За пределами Земли: В поисках нового дома в Солнечной системе»[29].
Спутник – это тоже планета. Поэтому нет фундаментальных причин, по которым жизнь не могла бы существовать там. На самом деле спутники могут быть даже больше планет (например, Титан больше Меркурия). Титан даже обладает плотной атмосферой – она примерно на 50 % плотнее земной. Такая атмосфера будет защищать новых обитателей даже от радиации, космических лучей и HZE-частиц. Кроме того, на поверхности Титана есть озера из жидкого метана и этана – просто рай для нефтяника.
Одним из отличий Титана от Марса и Луны является доступность источников энергии. Изобилующие там углеводороды могут стать сырьем для изготовления строительных материалов, топлива и пластмасс. Ядерная энергия позволила бы даже проводить электролиз воды.
Другие ресурсы Титана могут стать дополнительными источниками энергии. Например, ацетилен широко используется на Земле в промышленных процессах, включая сварку металлоконструкций (поскольку температура его горения достигает 3327 ⁰C) и химические производства (получения этилена). Наконец, ацетилен химически преобразуют в акриловую кислоту, из которой получают винил, акриловые краски, оргстекло, эпоксидную смолу и многие другие полимеры.
Сила тяжести на Титане составляет всего 14 % от земной, поэтому освоиться там даже проще, чем на Луне. Кроме того, по сравнению с Землей Титан движется медленнее, что облегчает планирование запусков космических кораблей. На полный оборот вокруг Сатурна Титану требуется около 16 земных суток, а на оборот вокруг Солнца – 29 земных лет. У него схожее наклонение орбиты к Сатурну, поэтому там есть времена года, длящиеся по семь земных лет. Представьте себе теплое, веселое лето, которое длится семь сезонов.
Правда, Титан не столь уж романтичный уголок, но кто из нас идеален? В сущности, он холодный. Однако если приспособиться к холоду, как, например, в Антарктиде, то при наличии средств защиты люди смогли бы выжить в этом мире. Для выхода на поверхность необходимы скафандры, которые будут обеспечивать поступление кислорода и сохранять тепло. Поддерживать давление там не нужно, как и обеспечивать радиационную защиту – эти функции выполняет атмосфера.
Конечно, Титан еще не готов к колонизации. Он настолько плохо освещен (интенсивность солнечного света там в сотни раз ниже, чем на Земле), поэтому на Титане будет крайне трудно выращивать растения, если полагаться только на естественное освещение. В условиях более продолжительного светового дня циркадные ритмы растений и водорослей придется адаптировать. Но, как отмечалось, на Титане можно будет использовать искусственное освещение для выращивания водорослей или пищевых культур. В его атмосфере на данный момент нет кислорода, без которого люди (пока что) обойтись не могут. И, повторюсь, там холодно – очень холодно по нашим меркам: температура достигает почти –180 ⁰C против (в среднем) +17 ⁰C на Земле. Однако, учитывая, что Титан расположен во внешней части Солнечной системы, его колонизация была бы грандиозным шагом в направлении расширения, сохранения и изучения жизни земного типа.
Двигатели открытий – космонавтика и генетика – позволяют нам выявлять и создавать условия для освоения суровых миров. Но как решить, какие микроорганизмы туда отправлять, как их модифицировать и как все правильно рассчитать?
Если открытие экзопланет и развитие генетики продолжатся без снижения темпа, то к 2351 г. у нас может появиться 5 млн экзопланет, доступных для заселения. Кроме того, если предположить, что открытие генома, его картирование и генная инженерия будут развиваться экспоненциальными темпами, то мы получим миллионы геномов и генетических конструкций, которые можно использовать для переноса генетической информации. Возникает сложный вопрос: кого нам отправить? В настоящее время люди уникальны, поскольку это единственный известный мыслящий вид, так что, очевидно, следует отправить на далекие планеты людей. Но какие еще существа могут обладать сопоставимым уровнем сознания или в скором времени обрести его?
Цель заключается в том, чтобы обеспечить сохранение, выживание и даже счастливую жизнь тем видам, которые будут выбраны для заселения новых миров. Речь может идти и о тех существах, которые на сегодняшний день вымерли. Кого мы выберем из представителей разнообразной и удивительной жизни на Земле? Чтобы было проще принять такое решение, можно добавить к трем основным акторам любой экосистемы – продуцентам, консументам и редуцентам – еще и четвертый. Назовем этих существ стражами. Проще говоря, стражи – это охранители планетарной экосистемы.
На новой планете на первое место выходят продуценты. Они будут использовать воду, воздух и солнечный свет для самообеспечения питательными веществами и энергией. Без них не обойтись ни на одной планете. К продуцентам относятся микроорганизмы и растения, которые участвуют в производстве энергии, переработке питательных веществ и утилизации отходов. Они также позволят проводить быстрые эксперименты в новых мирах, в том числе тестировать генетическую оптимизацию. Кроме того, продуценты могут быть адаптированы к потребностям конкретной экспедиции. Например, земные экстремофилы будут подбираться в зависимости от того, что нам известно об экологических особенностях нового мира. Продуценты также могут стать «микроастронавтами», которых запускают на легких и быстрых кораблях-зондах для засевания интересующих нас миров. Когда экосистема новой планеты стабилизируется и станет пригодной для жизни, можно будет отправлять другие организмы: консументов и редуцентов. Наконец, вслед за ними будут отправлены и стражи генофонда (например, люди), которые станут архитекторами и инженерами нового разнообразия и вариативности жизни. Это может произойти либо с помощью космических кораблей, либо (в идеале) с помощью двусторонней биологии, которая постоянно дополняет ДНК целевых видов функциями, подходящими для новой планеты.
Пока люди являются единственным биологическим видом, способным осознанно планировать будущее и реагировать на непредвиденные препятствия, стоящие на пути. Это обязывает нас заботиться о благополучии всего живого. Такая уникальность человека – не более чем причуда истории. Раз существует множество видов, выдерживающих экстремальные температуры, нет оснований полагать, что только люди наделены сознанием, позволяющим предвидеть возможное вымирание земной жизни.
Как только появится планета, способная поддерживать жизнь земного типа, мы, вполне возможно, передадим ее в руки (или лапы) новых стражей. Без ограничений и давления со стороны людей другие виды могут обрести умение пользоваться орудиями труда, язык и сознание. Это не только повышает общие шансы на сохранение жизни, но и позволяет другим видам отвечать за себя, что, безусловно, деонтологически этично. Таким образом, классификация живых существ (страж, продуцент, консумент, редуцент) зависит от текущих способностей или недостатков конкретного вида в данный момент на конкретной планете.
На первых поколенческих кораблях роль стражей возьмут на себя люди. Однако в идеале на них должны присутствовать и другие виды, потенциально способные стать стражами. Благодаря направленной эволюции и помощи людей эти виды, в отличие от оставленных на произвол судьбы, смогут дорасти до уровня стражей на новых планетах еще быстрее.
Какие виды лучше всего подходят для этой категории кандидатов в стражи? Учитывая, что люди – это высшие приматы, мы можем взять в экспедицию других приматов. Карликовые приматы имеют небольшую поверхность тела, и они могут выживать в небольших корабельных отсеках, а также в чужом мире, хотя, конечно, они не экстремофилы. Кошки и собаки также хорошо подходят на эту роль, учитывая, как тесно они интегрировались в человеческое общество. Собаки, лисы и лошади – одни из лучших примеров направленной эволюции в результате постоянного отбора желаемых качеств. Некоторые из таких качеств можно успешно закрепить за относительно короткий срок (от десятков до сотен лет).
Наиболее успешным примером управляемой эволюции млекопитающих служат эксперименты с черно-бурыми лисицами, проводившиеся в Новосибирской области с 1959 по 2010 г. под руководством Дмитрия Беляева и Людмилы Трут. Целью этого эксперимента было создание собакоподобного фенотипа из диких родственниц рыжих лисиц (Vulpes vulpes) путем разработки «шкалы одомашнивания» и отбора лучших 10 % из каждого поколения. Лис, демонстрировавших агрессивное поведение, отделяли от спокойных особей, которые давали потомство.
Всего за шесть поколений появилось животное, похожее на новый вид: с висячими ушами, загнутыми хвостами и 50 %-ным снижением уровня глюкокортикоидов (гормонов стресса). Недавно одомашненные лисы стали вести себя так же, как и собаки, в том числе лизать руки исследователей, прижиматься и ласкаться, когда их брали на руки, и вилять хвостом при встрече с людьми. Химия и физиология лисиц 15-го поколения изменились еще сильнее: у животных уменьшились надпочечники, уровень серотонина поднялся, появился пятнистый мех, похожий на собачий. Экстерьер также изменился: морды стали более округлыми, а лапы – более массивными, что еще сильнее роднило лис с собаками. Пожалуй, самым неожиданным результатом этого эксперимента стало то, что лисы начали следить за взглядом человека и взаимодействовать с ним так, как это делает любой домашний питомец. Казалось, словно лисы жили с нами бок о бок сотни тысяч лет.
Удивительно, но отбора по одному только признаку приручаемости оказалось достаточно, чтобы создать одомашненный фенотип, напоминающий собак. Когда исследователи (включая Ленор Пайпс из нашей лаборатории и Эндрю Кларка из Корнеллского университета) изучили ДНК и РНК отобранных лисиц, они обнаружили ген доместикации SorCS1. Он синтезирует основной транспортный белок для рецепторов глутамата в головном мозге и участвует в обеспечении синаптической пластичности у лисиц. Еще более поразительные вещи выяснились, когда после смерти животных их мозг был исследован на предмет генетических и функциональных различий. Профили экспрессии РНК и генов (по сравнению с особями из первых поколений) демонстрировали изменения, сближающие лис с современными собаками. В частности, 146 генов в префронтальной коре и 33 гена в базальных отделах переднего мозга экспрессировались по-другому, что способствовало развитию нервной системы, а также рецепторов серотонина и глутамата. За 60 лет были почти полностью утрачены агрессивные черты диких лисиц. Их геном, мозг, биохимия мозга и поведение также кардинально изменились. Собаки были созданы заново – и все это в течение жизни одного человека.
Те же идеи, в принципе, применимы к любому другому виду животных с развитыми когнитивными способностями. На Земле уже есть немало видов-кандидатов, в том числе дельфины, которые, по некоторым оценкам, уже сейчас могут соперничать по интеллекту с людьми, также это синие киты и другие китообразные. В идеале мы повторим эксперименты по разведению чернобурки, на этот раз выбрав наиболее интеллектуальный вид. Это не только повысит шансы на выживание в новом мире, но и выявит новых носителей интеллекта.
К концу 2300-х гг. такие методы управляемой эволюции будут опробованы на целом ряде видов. Это приведет к появлению более умных и стойких организмов, лучше приспособленных к жизни на новых планетах. Процесс управляемой эволюции создаст положительную обратную связь, позволяющую извлекать уроки из адаптации жизни во всех мирах, в том числе жизни первого «коренного марсианина», который родится у колонистов, живущих на Марсе. Со временем люди будут все лучше приспосабливаться к жизни на других планетах. Изменения на уровне генетики и физиологии, которые будут наблюдаться у первого поколения «коренных марсиан», могут подсказать, как помочь выжить на других планетах.
Люди будущего будут выглядеть иначе, если предположить, что мы сохранимся до того времени. Затылочная связка, которая крепится к задней части черепа и необходима, чтобы держать голову прямо во время бега, возможно, редуцируется у жителей планет с более низкой гравитацией, а у жителей планет с более высокой гравитацией станет более выраженной. Коренных марсиан можно легко представить играющими с домашними животными, созданными путем направленной эволюции. Такими животными станут существа с повышенной радиоустойчивостью и модифицированными покровами, способные процветать в разреженной атмосфере и при тусклом марсианском освещении.
Но на Марсе мы не остановимся. Возможно, когда-нибудь удастся создать многопланетный геном, который постоянно совершенствуется и дополняется по мере того, как мы путешествуем и открываем новые миры. Особенности атмосферы Титана могут потребовать специфичных для Титана генов, в то время как на Марсе будет свой уникальный генный пакет. Это обеспечит еще большую генетическую свободу, позволит заселить целый ряд планет и легко (с помощью соответствующих технологий) посещать собратьев.
Каждая из этих целей направленной эволюции сопряжена с риском, что когда-нибудь выбранные виды-дублеры превзойдут людей и станут доминирующими на планете, в звездной системе или даже во всей галактике. Возможно, это не станет проблемой, если они продолжат мыслить стратегически и будут разделять наше деонтогенное стремление к преобразованию Вселенной. Однако не следует исключать, что они не примут изложенные здесь идеи и даже отыщут более мудрый путь развития.
Плюсы и минусы распределения обязанностей стражей касаются не только биологических видов, но и искусственного интеллекта. Несмотря на предупреждения из голливудских фильмов, в которых машины захватывают Землю, а люди оказываются в рабстве или вообще исчезают, достоинство роботизированных платформ и искусственного интеллекта заключается в том, что они могут взять на себя многие человеческие задачи и помочь нам выжить в чуждых мирах. С учетом этого именно ИИ, а не биологическая жизнь может фактически стать вторым разумным стражем. Действительно, некоторые из самых суровых уголков Вселенной достижимы только для машин. Механические формы жизни более приспособлены к ним, чем биологические. В нашей Солнечной системе уже имеется богатая история роботизированных исследований, взять хотя бы зонд «Кассини» или марсоход «Кьюриосити».
Чтобы вписать это в контекст, вновь обратимся к философии Питера Сингера. В 1975 г. он утверждал, что люди, предпочитающие мясо, «поскольку животные – это еда», проявляют межвидовой расизм или видовой шовинизм. Игнорирование страданий других существ – не слишком веская причина для оправдания права людей есть все, что им вздумается. Животные заслуживают жалости, точно так же, как человек с особенностями развития. Независимо от биологического вида любые животные, обладающие долговременной памятью, способны страдать и осознавать боль и заслуживают, чтобы мы учитывали это.
Но что, если материализм – еще одна логическая и моральная ошибка, которую мы не замечаем сегодня? Если роботы или искусственные виды, уже сконструированные или только начинающие существовать, возьмут на себя нашу роль стражей, мы не сможем заявить, что «они не такие, как мы, и их можно игнорировать». Если следовать тому же силлогизму, то мы не можем позволить себе моральную дискриминацию разных носителей сознания (углеродных или каких-то иных).
Даже механическая жизнь будущего, если она действительно окажется разумной и сможет осознавать опасность вымирания, будет обладать правом бороться за собственное существование и существование других видов. У таких созданий «бытие тоже определяет сознание». Таким образом, на данном этапе реализации 10-этапного плана мы не сможем отдавать приоритет органической жизни перед неорганической в роли защитников разума во Вселенной. Стражи к тому времени могут стать полностью механическими, остаться биологическими или даже сочетать обе эти природы в одном создании.
Когда такая парадигма будет реализована, настанут заключительные этапы подготовки к превращению нашей цивилизации в межзвездную. Впервые в истории жизнь сама будет выбирать солнце, в окрестностях которого хочет существовать.
– Если остаться здесь, мы тоже изменимся. В воздухе что-то есть. Марсианский вирус… разве я знаю? Семена, пыльца… Вы чувствуете?
РЭЙ БРЭДБЕРИ.Были они смуглые и золотоглазые
Полномасштабный проект «звездного ковчега» для сохранения земной жизни начнется с запуска первого поколенческого звездолета ближе к 2401 г. Помимо обеспечения долгосрочного существования земной жизни данная инициатива может также привести к открытию новых форм жизни, не похожих ни на что нам известное (вспомните об альтернативных нуклеотидах, рассмотренных в главе об этапе 5). Накапливая данные о различных мирах, мы сможем взглянуть на Вселенную под другим углом. Так начнется закрепление земной жизни в разных уголках Вселенной, и мы уже не будем опасаться гибели нашей хрупкой экосистемы (будь то из-за астероида, солнечной вспышки или экологической катастрофы). Более того, мы больше не будем ограничены возможностями, доступными на единственной планете.
Всякий раз, осваиваясь на новых территориях, люди стремились к самодостаточности, что часто приводило к конфликтам, страданиям и жертвам, взять хотя бы войну за независимость в США. Исходя из этого исторического опыта, можно ожидать, что любое новое поселение, колония или аванпост в конечном итоге захочет независимости – и в этом нет ничего удивительного. Популяция, отправляющаяся с Земли в новые миры, должна стремиться к самодостаточности не только в производственном, но и в социально-экономическом плане. Она не должна эксплуатироваться ради добычи ценных ресурсов.
Тем не менее эти общества не должны быть изолированы от остального мира, так как это может помешать их развитию. Торговля и взаимодействие систем должны закладываться уже в изначальный план. Товары могут обмениваться в цифровом виде, например путем прямого обмена между кораблями, планетами и звездными системами. В идеале между системами должен происходить активный обмен идеями, ресурсами и знаниями.
Общество, которое появится к 2401 г., прекратит производство вещей с коротким сроком эксплуатации (например, деталей автомобилей, рассчитанных на утилизацию через год), перейдет на использование надежных и эффективных универсальных машин и оптимизированных процессов в биологии, генетике и медицине. Вместо стремления к максимизации прибыли в краткосрочной перспективе, как в современном капиталистическом обществе, новый экономический уклад будет нацелен на долгосрочную перспективу, включая разработку продукции, которая прослужит не одно поколение. Такой подход не только более этичен, чем капитализм, он фактически необходим для функционирования в условиях многопланетного общества, где материальная часть должна рассчитываться на длительные перелеты и практически не требовать ремонта. В космосе нет службы доставки на следующий день.
Для успешной адаптации к новой эпохе компании должны создаваться с прицелом на долгосрочную перспективу. Лучшие из них будут иметь богатый опыт создания долговечных продуктов, способных служить в экстремальных условиях на разных планетах в течение многих поколений. Хотя компании, просуществовавшие сотни лет, редкость в XXI в. на Земле, они все же существуют. Например, японская компания Kongō Gumi действует с 578 г. Будут планироваться эксперименты с горизонтом в сотни, тысячи и даже десятки тысяч лет, нацеленные на изучение сложных механизмов наследования локусов, отобранных в ходе направленной эволюции, а также проекты по терраформированию планет.
К 2401 г. большинство, если не все, генетических заболеваний будут побеждены. Секвенаторы ДНК (устройства для считывания) и синтезаторы (устройства для записи) станут повсеместно распространенными и точными. Технологии позволят легко смешивать и синтезировать генетические сети подобно тому, как диджеи смешивают и создают музыкальные дорожки с помощью бит-семплера.
Секвенатор ДНК – это своеобразный генетический семплер, а синтезатор ДНК – проигрыватель. Таким образом, любой участок ДНК можно проанализировать с помощью секвенатора и затем использовать при проектировании генома. Если проигрыватель позволяет музыкантам смешивать компоненты и воспроизводить новые композиции, то синтезатор ДНК дает возможность объединять фрагменты ДНК и формировать новые генетические конструкции.
В эту эпоху люди обретут способность управлять генетическим кодом и регулировать изменения в молекулах в ответ на внешние воздействия. Это открывает уникальные перспективы для создания, редактирования и комбинирования геномов различных царств, что необходимо нам для адаптации к новым мирам. В результате сократится распространенность многих заболеваний и смертность людей на Земле. Эти достижения выходят за рамки простой защиты видов и направлены на улучшение качества жизни не только людей, но и животных. Благодаря постоянной генной доработке животных, растений и одноклеточных организмов они смогут жить в условиях, прежде считавшихся немыслимыми.
Слияние двух ключевых направлений принесет фундаментальные изменения в человеческое общество, оба явления активно изучаются и обещают множество открытий в XXI в. Во-первых, это успешная разработка, клинические испытания и широкое применение экзоматок. Данная технология развивалась медленно и изначально была нацелена на выхаживание недоношенных детей, но в дальнейшем будет совершенствоваться и применяться на все более ранних стадиях человеческого развития – от формирования эмбриона до рождения полноценного и абсолютно здорового ребенка. Во-вторых, это синтетическая биология (включая редактирование генома и эпигенома), которая со временем позволит точно, недорого и просто модифицировать любые аспекты клеточной биологии. После апробации in vitro она будет протестирована на взрослых in vivo и в конечном итоге на эмбрионах.
Однако наиболее безопасным и этичным способом внедрения этих технологий в онтогенез является вмешательство в развитие плода до его пересадки в экзоматку, а не в утробе биологической матери. Это обеспечит постоянный контроль за развитием ребенка и оперативное устранение возникших проблем. Возможно, для здоровья и женщины, и ребенка будет лучше, чтобы плод развивался в экзоматке. Репродуктивный процесс будет еще сильнее отделен от секса после разработки технологий устранения генетических заболеваний, а также высокотехнологичных, автоматизированных систем мониторинга.
При переходе от редактирования эмбрионов к редактированию взрослых количество генно-модифицированных людей будет расти (рис. 11.1). Этот процесс начался в XX в. с использования ex vivo аутологичных (с участием собственных клеток пациента) и аллогенных (с участием донорских клеток) методов клеточной терапии, описанных в главах 3 и 4 (например, CAR-T). В XXI в. эти технологии активно развиваются с целью создания универсальных методов клеточного лечения. Универсальные клетки откроют широкие горизонты для применения клеточной терапии и позволят преодолеть три ключевых барьера: 1) высокие затраты на производство уникального медицинского продукта для каждого пациента; 2) время, требуемое для создания персонализированной терапии; и 3) непредсказуемость реакции клеток пациента на вмешательство или его последствия. Наконец, технологии генной модификации могут быть интегрированы в наночастицы, движением которых можно программно управлять, что обеспечит высокую специфичность и точность терапевтических процедур. Универсальные клетки и инновационные методы лечения будут дополнять друг друга и откроют простор для борьбы с более широким спектром заболеваний.

Рис. 11.1. Доля людей, чьи геномы могут быть отредактированы со временем. Количество генно-модифицированных людей (наверху) сначала будет расти по медицинским причинам, а затем из-за стремления к улучшению, пока жизнь в немодифицированном виде не станет неэтичной. Затем начнется следующий раунд редактирования, в результате которого частота болезней еще раз снизится (внизу), и этот процесс будет повторяться.
Действительно, если предположить, что получение потомства с помощью экзоматки безопаснее, чем естественное вынашивание ребенка, то отказ от экзоматки при планировании беременности и при наличии возможностей можно будет считать халатностью. Или женщины, решившие вынашивать ребенка «старомодным» способом, будут считаться «чудачками». Как только будет доказано, что генетическое редактирование безопасно и способно улучшить здоровье в долгосрочной перспективе, генетики и педиатры станут рекомендовать его там, где это уместно. Отказ от его использования будет сродни отказу от вакцинации в XX в. и вызовет презрение и насмешки со стороны общества.
Использование экзоматки и расширение прав женщин повышают шансы на выращивание здоровых детей и снижение рисков для взрослых. Благодаря базам данных OMIM и ClinVar можно разработать медицинскую карту для исправления мутаций, связанных с дефектами одного гена (например, муковисцидозом), многофакторными заболеваниями (например, диабетом и астмой) и даже риском инфекций (например, малярии).
Этот тип генной инженерии будет применим не только для лечения генетических заболеваний, таких как синдром Дауна, но и для улучшения иммунной, кровеносной и нервной систем. Например, оптимизированный иммунный план может улучшить презентацию антигена и клеточную дифференциацию, снизить вероятность разрушения собственных клеток при аутоиммунных и ревматоидных заболеваниях.
С расширением применения генетических методов лечения грань между лечением и усовершенствованием будет стираться. Использование генной инженерии потребует развития экзоматок, и люди будут все чаще прибегать и к тому, и к другому. Это приведет к росту востребованности и повсеместному внедрению обеих технологий. Отказ от оптимизации клеток и использования экзоматок приведет только к увеличению рисков для детей, будущих матерей, общества и даже будущих поколений. Клеточная оптимизация будет восприниматься как обязанность, охватывающая родительские, социальные, межпоколенческие и деонтогенные аспекты.
Однако, как и в случае любого крупного изменения кода, в работе с нашим общим генетическим кодом полезно создать резервную копию. Скорее всего, будет существовать «резервная группа» немодифицированных людей, которые не принимают изменения и живут отдельным сообществом. (Однако с учетом технического прогресса такое сообщество может и не понадобиться.) Таким образом при необходимости останется возможность просто отменить редактирование и вернуться к «предыдущей версии» в нашей генетической библиотеке. В XXI в. уже есть пример подобного хранения данных и клеток: глобальное семяхранилище Crop Trust на Шпицбергене в Норвегии. Создание аналогичного «генного банка» для хранения данных и клеток на протяжении всех поколений человечества увеличит его шансы на выживание в долгосрочной перспективе и спасет от вымирания в результате либо нашей самонадеянности, либо случайности.
Идея отбора и модификации целых человеческих популяций – при всей своей противоречивости (отдает ужасающими нацистскими экспериментами) – на самом деле уже реализуется. Примером являются ашкеназские и сефардские еврейские общины. В этих религиозных группах браки обычно заключаются между представителями одного религиозного течения. Из-за такой избирательности исторически наблюдался высокий уровень ряда генетических заболеваний, включая болезнь Тея–Сакса, которая приводит к страданиям и смерти. Симптомы недуга часто проявляются на первом году жизни в виде судорог, потери двигательных функций, зрения и слуха, а также мышечной слабости. Почти во всех случаях носители обеих копий дефектного гена не доживают и до четырех лет. От этой болезни нет лекарства.
В 1983 г. у Джозефа Экштейна, раввина из Бруклина, Нью-Йорк, родилась идея остановить распространение этих заболеваний: определить потенциальный риск для пары еще до того, как молодые люди познакомятся или заведут детей. В современной генетике это называют «скрининг на носительство»: при таком исследовании у потенциальных родителей определяют генетические факторы риска для снижения вероятности передачи заболевания детям. Если человек оказывается носителем генетических заболеваний, он может воздержаться от рождения детей в паре с другим носителем таких же генов. Такой подход позволил бы снизить число случаев болезни Тея–Сакса и других заболеваний без абортов, ЭКО или ПГД, что важно для ортодоксальных евреев.
Раввин Экштейн запустил проект Dor Yeshorim, что означает «праведное поколение» (Ветхий Завет, псалом 112:2). В его рамках было организовано генетическое тестирование для выявления мутаций, вызывающих болезнь Тея–Сакса, и сохранение информации в базе данных. Людям присваивали код, который они могли использовать для поиска партнера, исключающего риск рождения больных детей. Со временем подобные услуги стали более доступными, и к 2021 г. можно было просто заказать относительно недорогой ($225) тест для выявления ряда заболеваний, включая муковисцидоз и болезнь Канавана.
А что, если это любовь с первого взгляда? Можем вас порадовать: на этот случай даже есть экстренный тест ($450). После внедрения этого подхода в ультраортодоксальной еврейской общине Бруклина число случаев заболевания болезнью Тея– Сакса снизилось на 90 %.
Проект Dor Yeshorim оказался настолько успешным, что его распространили на борьбу с другими заболеваниями. «Стандартная панель» генетического тестирования Dor Yeshorim теперь включает муковисцидоз, болезнь Канавана, болезнь Ниманна–Пика типов А и В, семейную дизавтономию, анемию Фанкони, гликогеноз типа 1А, синдром Блума, муколипидоз четвертого типа и спинальную мышечную атрофию.
Невероятное сокращение случаев тяжелых заболеваний не осталось незамеченным. Появились дополнительные услуги, обеспечивающие более широкий доступ к технологиям выявления носителей дефектных генов. Примером может служить приложение для знакомств Digid8, созданное в лаборатории Джорджа Черча. Оно позволяет людям делиться своими генетическими данными, находить партнеров и таким образом снижать вероятность передачи тяжелых заболеваний потомству.
По мере распространения генно-инженерных методов лечения следует ожидать появления сильного общественного интереса к генетической селекции, подобной методам скрининга в XXI в. Однако процесс отбора должен уравновешиваться постоянным изучением и взвешиванием полезности и рисков, связанных с генетическими, эпигенетическими или клеточными изменениями. Кроме того, потребуется ясное определение того, что на самом деле представляет собой болезнь или ограничение, когда грань между улучшением и лечением начнет размываться.
Генетические факторы риска в XX в. определялись происхождением и историческими закономерностями миграции людей. Например, муковисцидоз является наиболее распространенным аутосомно-рецессивным заболеванием среди жителей Северной Европы, а в азиатских популяциях встречается реже. Аналогично серповидноклеточная анемия чаще встречается у людей, происходящих из стран Африки южнее Сахары, и реже – у родившихся в других регионах мира. Скрининг носителей и информирование людей о рисках могут снизить глобальную заболеваемость и страдания, вызванные этими недугами.
В 2400 г. инструменты популяционного и генетического картирования, используемые для определения вероятности заболевания или фенотипа, позволят непрерывно переоценивать риски и выгоды от вмешательств, связанных с лечением болезней, ограничениями и улучшениями. Таким образом появится возможность количественной оценки эффективности лечения конкретного заболевания в конкретном месте с учетом влияния этих факторов на человека, общество и экономику. Эта оценка позволит сравнивать различные подходы к лечению того или иного заболевания и концентрировать усилия на улучшении общего благополучия.
В ХХ в. не существовало такой оценки, так как она зависела от множества факторов, которые было сложно измерить количественно. Подобно уравнению Дрейка, которое давало примерную оценку вероятности существования разумной жизни во Вселенной, показатель генетического риска для человека может быть полезным ориентиром. Влияние и значимость элементов этого показателя будут меняться со временем, поскольку общество, технологии и методы лечения продолжают развиваться. Факторы, которые следует учитывать, включают влияние на пострадавшего человека, его окружение и население, а также будущее воздействие на экономику и общество в целом в зависимости от конкретной планеты.
В такой «показатель риска на протяжении всей жизни» для данного фенотипа войдут по меньшей мере 13 факторов (рис. 11.2):
1. Базовая ожидаемая продолжительность жизни населения;
2. Возраст появления симптомов;
3. Ожидаемый возраст смерти;
4. Вероятность успешного лечения;
5. Общее качество жизни (где 1 – отсутствие снижения качества жизни, 0 – абсолютное страдание или смерть);
6. Косвенные страдания (страдания близких или окружающих, оказывающие негативное влияние на пациента);
7. Начало заболевания (относительно фоновой популяции и в зависимости от местоположения);
8. Пенетрантность и риск развития заболевания (1 – если у пациента уже есть симптомы);
9. Плейотропия (1 – отсутствие плейотропии, > 1 – сложные негативные фенотипические ассоциации, < 1 – если лечение помогает другим фенотипам);
10. Балансирующий отбор (1 – отсутствие свидетельств балансирующего отбора, > 1 – если есть свидетельства отбора, который может привести к худшим результатам в других местах, < 1 – если положительные результаты);
11. Наследуемость;
12. Ожидание (изменение тяжести заболевания на протяжении поколений, 1 – если нет ухудшения);
13. Экономическая составляющая (учитывая стоимость лечения, ухода и распространенность среди нынешних и будущих поколений).

Рис. 11.2. Показатель позволяет оценить, как меняется риск заболевания, состояние или процесс улучшения в зависимости от лечения и того места, где оно применяется. Это также дает возможность ранжировать тяжесть заболевания с учетом имеющихся ограничений и выработать дальнейшую стратегию исследований.
Значение этого показателя риска (S) зависит от трех факторов: рассматриваемого заболевания (d) или состояния; лечения (t) или его отсутствия и места (p), включая новые планеты. Формула для расчета показателя представлена на рис. 11.2, где (Sdtp) – совокупный комбинированный риск «болезнь–лечение–место».
Чем выше значение показателя, тем хуже результат. Например, чем раньше начинается заболевание относительно ожидаемой продолжительности жизни населения и чем меньше ожидаемая продолжительность жизни индивида, тем выше будет значение компонента А. Успешность лечения зависит от вероятности того, что терапия поможет пациенту, а значит, чем ниже шансы на успех, тем выше риск. Успешность лечения определяется вероятностью того, что терапия окажется эффективной для конкретного пациента, таким образом, чем ниже шансы на успех, тем больше компонент S. С приближением вероятности успеха лечения к нулю компонент S стремится к бесконечности.
Качество жизни также влияет на этот показатель. Если оно низкое, он становится высоким. Косвенные страдания повышают показатель риска, когда качество жизни пациента немаксимально, а рядом находятся люди, которые могут страдать. Это может еще больше усиливать мучения самого пациента, наблюдающего, как его близкие страдают из-за него, что необходимо учитывать в компоненте Q. Однако при максимальном уровне качества жизни ожидаемый возраст смерти становится равным ожидаемой продолжительности жизни населения, косвенные страдания становятся равными единице, а вместе с ними и компонент Q.
Если лечение может увеличить ожидаемый возраст смерти по сравнению с базовой популяцией, компонент А уменьшается. Однако на общем благополучии человека сказываются дополнительные страдания, которые ему придется перенести за приобретенное время. Поэтому общий показатель риска должен зависеть от начала недомогания. Например, если заболевание значительно усугубится в дополнительное время, то ситуация незавидная. Поэтому компонент О дополнительно взвешивается с учетом риска фактического развития заболевания. Если индивидуальный риск развития заболевания близок к нулю, общий показатель будет низким (асимптотически приближаясь к нулю), но если симптомы уже присутствуют, этот компонент будет равен 1.
Общая плейотропия влияет как на индивидуальный, так и на межпоколенческий риск, а также на сложность лечения заболевания – компонент L. Он равен 1, если плейотропия не обнаружена, но на самом деле может быть меньше 1, если существует общая положительная ассоциация или если лечение уменьшает сопутствующие заболевания. Аналогичным образом нужно учитывать межпоколенческие факторы – компонент G, например балансирующий отбор, который может привести к дальнейшим плейотропным эффектам. Наконец, важным аспектом является экономическая составляющая – компонент E, который включает в себя как финансовые, так и социальные издержки не только лечения пациента, но и продолжения лечения из поколения в поколение, если генетический дефект не устранен.
Такой показатель риска позволяет сравнить эффект разных видов терапии при лечении конкретного заболевания или фенотипа применительно к отдельному человеку или обществу. Помимо прочего он показывает, как жизнь людей может меняться в зависимости от того, где они живут, будь то Земля или другие миры. Допустим, заболевание не проявляется до 80 лет, но потом быстро приводит к снижению качества жизни и смерти в течение года (т. е. ожидаемый возраст смерти составляет 81 год). Риск этого заболевания был бы гораздо ниже, если бы базовая популяция имела продолжительность жизни всего 50 лет (например, на космическом корабле) по сравнению с той, у которой средняя продолжительность жизни составляет 100 лет (например, на Земле будущего). Следовательно, показатель риска заболевания, даже если бы в обоих местах предлагались одни и те же варианты лечения, для живущих на корабле был бы значительно ниже, чем на Земле. Та же идея применима к положительному эволюционному отбору на одной планете, который может стать фактором риска на другой. Таким образом, эти значения необходимо анализировать и учитывать при вмешательствах на разных планетах.
Как показывает скрининг носителей заболевания, первая волна генно-инженерных решений на основе Sdtp начнется, скорее всего, в отдельно взятом сообществе с целью борьбы с каким-либо тяжелым заболеванием. Как только общая польза станет очевидной, этот подход будет перенесен на другие группы населения и в конечном итоге охватит весь мир. Число генно-модифицированных людей достигнет пика, а заболеваемость снизится (рис. 11.1).
Затем редактирование эмбрионов in vivo придет на смену соматической инженерии, поскольку это снижает экономическое бремя, роль наследственности и предотвращает рост тяжести заболевания от поколения к поколению. Далее мы можем столкнуться со всплеском более сложных заболеваний из-за неполного понимания болезней и аллелей или появлением новых заболеваний с проникновением в новые места и миры.
После преодоления такого всплеска редактирование будет по большей части осуществляться во взрослых клетках, поскольку модификации эмбрионов передаются по наследству и их редактирование потребуется только при обнаружении новых или ранее невыявленных заболеваний. Это не только устранит генетический риск многих недугов и расстройств, но и даст начало миру, где любое качество организма можно «включать» и «выключать» при необходимости или просто по желанию.
Однако этот внешне красивый план устранения «плохих генов» порождает ряд проблем. Прежде всего, как показывает длинная, но слишком упрощенная формула, это непростая задача. Хотя этот подход позволяет искоренять такие недуги, как болезнь Тея–Сакса, именно его логика лежала в основе евгеники в начале XX в., сторонники которой с энтузиазмом стремились избежать болезней и рисовали мир без страданий. Они быстро начали думать о картировании и количественной оценке «нефункциональных» черт, выходящих за рамки серьезных заболеваний. Идея, по сути, состояла в «вытравливании нежелательного из генофонда». Тогда, как и сейчас, существовали группы генетиков, которые аннотировали, количественно оценивали и классифицировали заболевания на основе собственных критериев вроде Sdtp.
Но из истории известно, как разрушительно эта идеология повлияла на общество в целом и на развитие генетики в частности. Евгеническое движение XX в. и его деятели в конечном итоге лишали людей свободы, особенно репродуктивной. В США были созданы и приняты законы, требующие обязательной стерилизации людей с низким коэффициентом интеллекта (IQ) или считающихся «умственно отсталыми» в соответствии с «Руководством по диагностике и статистике психических расстройств» (DSM). В результате в США стерилизовали более 70 000 человек. Важно отметить, что «Руководство» меняется со временем, а это означает, что «болезнь» и ее определение зависят не только от фактических данных, но и от веяний в обществе. Так, в первом издании DSM в 1952 г. гомосексуальность входила в перечень болезней, но была исключена во втором издании – в 1973 г.
Еще одна проблема, связанная с практикой устранения «плохих генов», заключается в том, что она может подталкивать к эйблизму – предрассудкам или дискриминации людей с ограниченными возможностями. Работы Жаклин Мэй Уоллис и других ученых показывают, что некоторые люди отказываются считать глухоту инвалидностью, поскольку она открывает целый мир особого восприятия, культуры, языка, отличающийся от мира слышащих. Кроме того, глухота может также обострить чувствительность, особенно к тонким вибрациям, недоступным для восприятия слышащим людям.
Особые физиологические, культурные, социальные или когнитивные способности, которые люди приобретают благодаря своей специфической генетике (независимо от того, инвалиды они или нет), побудили некоторые пары проявить интерес к редактированию или отбору эмбрионов, полученных методом ЭКО, чтобы их дети могли получить аналогичные качества. Некоторые глухие пары, например, хотят, чтобы и их ребенок был глухим. В ходе опроса, проведенного в США в 2008 г., Сюзанна Барух и ее коллеги обнаружили, что 3 % клиник ЭКО-ПГД предлагали ПГД парам, которые хотели получить ребенка с «болезнью или инвалидностью», например глухотой или карликовостью.
Здесь сложно высказаться за или против. Устранение дефекта может случайно лишить человека какой-нибудь способности, как это часто бывает при плейотропии и сложных признаках. Подобно тому как удаление гена CCR5 для повышения устойчивости к ВИЧ увеличивает риск заражения вирусом лихорадки Западного Нила, вмешательство в один ген и фенотип может увеличить риск экспрессии других генов. Неполнота наших знаний и исторические ошибки в использовании генетики для «искоренения» болезней часто противоречат движению за права инвалидов, целью которого является обеспечение возможностей и равных прав для людей с ограниченными возможностями, а не устранение этих аспектов их идентичности.
Многие инвалиды считают себя активными и яркими членами своего сообщества – благодаря, а не вопреки своим особенностям. Хотя самооценка, безусловно, неоднозначный процесс, вряд ли группа людей, не являющихся инвалидами, может объективно судить о внутреннем мире других. Элизабет Барнс, ведущий исследователь в этой области, справедливо отмечает в своей книге «Мир глазами меньшинства», что «интуиция привилегированного большинства не всегда является надежным ориентиром для наших представлений о меньшинствах, особенно когда меньшинства являются жертвами дискриминации и предрассудков».
Действительно, такое прямолинейное использование генетических знаний приводит некоторых к выводу, что скрининг носителей заболеваний или генная инженерия не должны массово применяться для предотвращения заболеваемости. Существует мнение, что мы должны придерживаться статус-кво и более естественных методов выбора партнера и продолжения рода. Однако этот аргумент излишне ограничивает возможности человечества по защите жизни, уменьшению страданий и выполнению морального долга стражей. Цель не в лишении свободы или права выбора, а в расширении возможностей.
Когда имеются два варианта, всегда есть еще два: оба сразу или ни одного. На новой планете, как, впрочем, и на Земле, было бы неплохо объединить лучшее из обоих вариантов. Фактически мы можем наслаждаться преимуществами, связанными как с заболеванием (например, обострение восприятия), так и с его отсутствием (дополнительные способности или отсутствие страданий). Вместо навязывания взаимоисключающего выбора общая цель должна заключаться в развитии технологий и безопасных методов, обеспечивающих максимальную клеточную, репродуктивную и планетарную свободу, включая возможность не только выбирать миры для посещения, но и процветать, оказавшись там (рис. 11.3).

Рис. 11.3. Интерфейс генетического программирования. В будущем для работы и забавы станет доступным редактирование генов, биохимических путей и сетей по мере необходимости.

Так как же может существовать вариант «оба» при обсуждении исключения или выбора признака? Такая возможность, скорее всего, будет зависеть от конкретного случая, но это осуществимо. Вместо приобретения новых способностей, например чувствительности к вибрации у глухих, можно иметь обе способности одновременно: тактильность и слух. На этот вопрос можно ответить, используя показатель Sdtp, чтобы определить влияние проблемы на качество жизни человека, потенциальные биологические и экономические риски. Эти значения зависят от двух факторов: от времени и места. В космосе, пожалуй, лучше чувствовать вибрации, общаться не слыша и даже мыслить более абстрактно. Способность выборочно активировать гены, переориентировать клетки и регенерировать интересующие ткани организма будет сильно влиять на то, куда человек может отправиться и в какой мере станет контролировать собственные клетки.
Но каждую ли «способность», связанную с заболеванием или состоянием здоровья, необходимо добавлять с помощью генной инженерии? Поначалу ответ, скорее всего, будет отрицательным. Например, тяготы, связанные с болезнью или переживанием, нельзя считать полностью негативными: преодоление таких трудностей закаляет человека. Это может дать ему стимул для участия в общественной жизни.
Многие люди, живущие с различными заболеваниями, даже те, у кого нет гиперчувствительности, говорят, что даже если бы у них была возможность повернуть время вспять и не заболеть, они бы этого не сделали. Причин такого поведения две: 1) время невозможно повернуть вспять, а жаждать невозможного бесполезно; 2) они довольны собой и знают, почему стали такими. Жизненный путь этих людей особенный – и он включает их болезнь. Но реальность сурова, поэтому трудности будут присутствовать и в других формах: безответная любовь, потеря члена семьи, безуспешные усилия. Нет никаких доказательств того, что именно заболевание делает их стойкими. Как стражи, мы должны свести к минимуму страдания всех последующих видов и особей, максимизируя при этом их свободу и знания. Хотя, по крайней мере сначала, может показаться невозможным искусственно привнести стойкость и оптимизм, которые обретаются в борьбе с болезнью, их, безусловно, можно достичь другими методами.
Одним из способов повышения психологической устойчивости может быть решение человека «включить» болезнь, например желание испытать кратковременное разрушение тканей или шок в ответ на свет во время мигрени. Хотя для развития этой способности требуется время, ее также можно обрести с помощью продвинутой виртуальной реальности, позволяющей испытать невзгоды, в то время как на самом деле находишься в безопасности в постели.
Возможно, самое главное, что деонтологическое общество и прогрессивная клеточная и планетарная свобода фактически устранят, – это бессилие. Страх перед смертельным исходом с самого рождения в связи со многими заболеваниями может исчезнуть. Кроме того, новые технологии могут помочь изменить ранее неизменные генетические черты, открывая путь к новому чувству принадлежности. Принадлежность перестанет быть навязанной, она станет выбираемой. Одни могут захотеть жить на Марсе, другие – отказаться от слуха, а третьи – выбрать совершенно другие черты личности.
В идеале для каждой экзопланеты следует подбирать наилучшую комбинацию генов и признаков, а затем интегрировать ее в геном для долгосрочного использования. Здесь также возникает вопрос о том, в какой мере клеточная или личная свобода приобретается или теряется при предварительном определении качеств человека, отправляющегося в конкретный мир или выполняющего конкретную задачу. Однако в соответствии с деонтогенной этикой пакет модификаций, позволяющих наибольшему числу людей выжить в наибольшем числе миров, является идеальным для «предварительной загрузки» в человеческий геном. Даже с экономической точки зрения такое решение имеет наибольший смысл, поскольку оно сводит к минимуму количество операций, которые могут понадобиться человеку. Лучший вариант для любого эмбриона в любом месте – тот, который обеспечивает наибольшую клеточную и планетарную свободу.
Основная проблема «космических эмбрионов» – безопасное развитие. Пока что неясно, работает ли эмбриогенез в космосе так же, как на Земле. По состоянию на 2020 г. ни один эмбрион не прошел полный процесс оплодотворения, развития и рождения в космосе. Настораживает то, что по результатам некоторых исследований на мышах рост плода в условиях невесомости сказывается на развитии вестибулярного аппарата и вызывает проблемы при рождении на Земле. Жизнь на Земле существует при постоянном действии силы тяжести величиной 1g. Отсутствие гравитации в космосе, на МКС и на кораблях, способных достичь Марса, является фактором беспокойства.
Однако эту проблему нельзя считать неразрешимой, она имеет техническое решение. Если космический или поколенческий корабль будет иметь вращающуюся секцию, создающую, пусть даже слабую, гравитацию, то весьма вероятно, что эмбрион сможет развиваться нормально. Однако любая техническая проблема, связанная с остановкой этой секции, может нанести вред эмбриональному развитию. В таких случаях поможет медицинское вмешательство, задействующее механизм диапаузы.
Но некоторые свидетельства говорят о том, что ранние стадии эмбриогенеза могут успешно протекать в космосе. В 2016 г. в Китае отправили в космос на спутнике с микрогравитацией 6000 эмбрионов мышей. Исследовательская группа под руководством Дуань Энкуя, профессора Института зоологии Китайской академии наук, обнаружила, что большинство эмбрионов развиваются в бластоцисты.
Если эмбриогенез в космосе окажется слишком сложным, можно пойти другими путями, некоторые из которых потребуют значительного улучшения технологий XXI в. (в генетике и машиностроении). Один из них (впервые предложенный Адамом Кроулом в статье «Использование эмбрионов в космосе для преодоления временнóго барьера при межзвездных перелетах») предполагает отправку замороженных эмбрионов на экзопланеты. Как только космический корабль достигнет одну из них или к ней приблизится, роботы, искусственный интеллект и экзоматки займутся созданием, воспитанием и обучением новых людей. Основная масса технологий, позволяющих осуществлять автономное получение детей, пока не существует, поэтому еще неизвестно, жизнеспособен ли такой подход.
Даже после тщательного планирования и анализа, проведенного на Земле с помощью зондов, экзопланета, к которой мы отправляемся, может не полностью соответствовать нашим потребностям. Это может заставить корабль и команду перейти к плану Б, а возможно, к плану В и т. д. Чтобы была возможность воспользоваться резервным планом в случае непредвиденных обстоятельств, в идеале поколенческие корабли должны отправляться в многопланетные системы. Неопределенность сроков поиска места, которое экипаж когда-нибудь сможет назвать своим домом, лишний раз подчеркивает необходимость обеспечения самодостаточности поколенческих кораблей.
Прежде чем задумываться о том, на какую систему мы хотим нацелиться, нам сначала нужно научиться оценивать и ранжировать потенциальные экзопланеты по их сходству с Землей и общей жизнепригодности. Оба этих показателя были разработаны Дирком Шульце-Макухом и его коллегами в 2011 г. и опубликованы в журнале Astrobiology. Они предложили двухуровневую систему классификации экзопланет: индекс сходства с Землей (ESI) и индекс жизнепригодности планет (PHI). ESI учитывает плотность планеты и ее радиус, а также условия на поверхности, в частности температуру и скорость преодоления притяжения. PHI определяется наличием «стабильного субстрата» или места посадки, доступностью энергии, химическими свойствами, связанными с жизнью, и способностью удерживать жидкости. Хотя PHI дает более точное представление о том, какие планеты лучше подходят для поддержания известной жизни, для определения ESI требуются более доступные параметры:

В этой формуле xi и xi0 – конкретные свойства небесного тела и Земли соответственно, wi – показатель веса каждого свойства, а n – общее количество учитываемых свойств. PHI аналогичен индексу сходства Брея–Кертиса, который также используется в исследованиях разнообразия микробиома. Этот показатель принимает значения от 0 до 1, где 1 означает полное сходство с Землей, а 0 – максимальную непохожесть на Землю. PHI можно расширить, включив в него дополнительные характеристики планеты (например, массу, радиус, скорость преодоления притяжения, освещенность, плотность и температуру), и даже упростить, присвоив всем характеристикам одинаковый вес.
Марс имеет второй по величине показатель ESI в Солнечной системе, равный 0,7. У Венеры, которую часто называют близнецом Земли, ESI составляет всего 0,44. Низкий ESI Венеры обусловлен высоким уровнем солнечной радиации и углекислого газа, что создает неконтролируемый парниковый эффект. С точки зрения планетологии это означает, что Венера выходит за предел Комабаяси–Ингерсолла, определяемый как максимальный поток солнечной энергии, который планета может выдержать без неконтролируемого парникового эффекта. Когда она перегревается, ее ESI уменьшается и она становится менее привлекательной.
Следует отметить, что ESI по своей сути ориентирован на Землю. Другие исследователи, в том числе Мадху Джагадиш, предложили индекс сходства с Марсом (MSI) и заявили, что при поиске жизни и потенциально обитаемых планет можно использовать и его (особенно если на Марсе когда-то была жизнь). Такой показатель легко создать для любой планеты или спутника, если есть достаточно информации, например индекс сходства с Венерой или с Титаном. Однако, поскольку жизнь у нас прочно связывается с Землей, лучше всего использовать ESI и PHI.
Так куда нам следует отправить генно-модифицированных людей и другие организмы? К счастью, как уже говорилось, после открытия первых землеподобных планет в 2014 г. их число быстро выросло до тысяч, и трудно даже представить, сколько еще будет обнаружено к 2500 г. Удивительнее всего то, что почти все планеты с высокими ESI и PHI были найдены в очень короткой и узкой области Млечного Пути (рис. 11.4а). В будущем мы наверняка откроем еще больше планет, в том числе и более близких к нам.
Впрочем, эти новые открытия могут и не понадобиться, поскольку многие экзопланеты, открытые в XXI в., способны стать пристанищем для людей. The Planetary Habitability Laboratory в Университете Пуэрто-Рико делит открытия на категории «субземля» (размером с Марс), «земля» (размером с Землю) и «суперземля/мини-нептун». Во многих случаях мы можем только догадываться о реальной температуре поверхности или атмосферы планет, что затрудняет определение PHI, но, судя по ESI, у нас есть отличные кандидаты. Согласно оценкам сайта (по данным за 2021 г.), существует 17 планет с ESI больше или равным 0,8 и 42 планеты с ESI больше или равным 0,7.

Рис. 11.4a. Местоположение и индекс сходства с Землей для всех найденных экзопланет. Большинство планет, гипотетически пригодных для заселения экипажами поколенческих кораблей, находятся в десятках или сотнях парсек (один парсек равен 3,26 светового года). ESI для планет определяется по таким параметрам, как равновесная температура, плотность, интенсивность освещения, радиус и скорость преодоления гравитации. Наиболее приемлемые кандидаты имеют ESI ≥ 0,9 (обозначены серым), у второстепенных кандидатов ESI лежит в диапазоне от < 0,9 до ≥ 0,8, а у наименее подходящих кандидатов ESI < 0,8 (обозначены белым). Экзопланеты, у которых известны три или менее показателей ESI, обозначены ромбами, а те, у которых известны четыре или все пять параметров – кружками. Источник данных: https://exoplanetarchive.ipac.caltech.edu.
Особенно интересна система из семи планет TRAPPIST-1 (планеты a, b, c, d, e, f, g и h). Этот планетарный комплекс был обнаружен в результате сотрудничества ученых, работающих с космическими телескопами «Хаббл», «Кеплер» и «Спитцер», а также с телескопом SPECULOOS (нацеленного на поиск обитаемых планет) Европейской южной обсерватории. Данные, собранные, уточненные и опубликованные в 2018 г., выявили семь планет массой от 0,3 до 1,2 земной и с такой же плотностью, как у Земли, что говорит о приемлемой для людей XXI в. гравитации. Некоторые планеты (c и e) кажутся каменистыми, тогда как другие (b, d, f, g и h) могут иметь водяную, ледяную или газовую оболочку, подобную земной. Интересно отметить, что на планете d может существовать океан воды, составляющий около 5 % ее массы (доля воды на Земле составляет < 0,1 % ее массы). Кроме того, у большинства планет есть признаки наличия железного ядра, т. е. велики шансы, что они обладают полноценной магнитосферой. Наши собственные расчеты ESI для системы TRAPPIST-1 и других (относительно) близких экзопланет, которые могут стать потенциальным домом для жизни, показаны на рис. 11.4b.

Рис. 11.4b. Наиболее привлекательные миры по расположению и сходству с Землей. ESI для планет-кандидатов показан относительно их расстояния до Земли (по оси ординат). ESI для планет определяет по таким параметрам, как равновесная температура, плотность, интенсивность освещения, радиус и скорость преодоления гравитации. Наиболее приемлемые кандидаты имеют ESI ≥ 0,9 (обозначены серым), у второстепенных кандидатов ESI лежит в диапазоне от < 0,9 до ≥ 0,8, а у наименее подходящих кандидатов ESI < 0,8 (обозначены белым). Относительные значения изображены в виде закрашенных рядов в круговых диаграммах. Светло-серый цвет означает, что данные отсутствуют.
Хотя система TRAPPIST-1, пожалуй, наилучший адресат для поколенческих кораблей, известный в XXI в., она не идеальна. Судя по данным, собранным на данный момент, все семь ее планет находятся в приливном захвате точно так же, как Луна у Земли и Титан у Сатурна, и постоянно обращены к звезде одной стороной. Как результат, на этих планетах, скорее всего, значительные и резкие перепады температур между постоянно освещенными «светлыми сторонами» и вечными «ночами» на «темной стороне». Поэтому сумеречные регионы между этими крайностями (линия терминатора) могут стать лучшим местом для высадки и обустройства нового дома. Линия терминатора Земли постоянно движется, проявляясь в виде заката и восхода солнца, но фиксированные линии терминатора планет TRAPPIST-1 на самом деле могут оказаться кстати. Экипажи могут продолжать исследования в более жарких или холодных частях планеты, пока не найдут зону обитаемости и место, которое окажется стабильным.
Наши данные по-прежнему очень ограничены как с точки зрения наблюдаемого пространства, так и деталей того, что мы знаем об обнаруженных экзопланетах. Такие проекты, как Breakthrough Starshot, помогут понять, как на самом деле выглядят близлежащие солнечные системы и экзопланеты. Астрономы XXI в. во многом похожи на офтальмолога, пытающегося обследовать глаза пациентов, находящего на другой стороне улицы. Мы узнáем больше, когда подберемся ближе. Эти проекты позволят собрать более достоверную информацию об экзопланетах и звездных системах и таким образом максимизировать успех поколенческого корабля и свести к минимуму необходимость перехода к плану Б, В или Г.
При идеальном развитии событий поколенческий корабль сразу находит жизнепригодную экзопланету. Однако, как в большинстве биологических процессов, выживание зависит от доступа к ресурсам и множества других условий на планете или в звездной системе. Если на планете слишком жарко, никто не сможет там выжить. С экстремальным холодом можно справиться, но только в определенных пределах. Проблемы, связанные с полетом поколенческого корабля, будут усугубляться по мере удаления от того мира, где люди выросли. То, как мы станем планировать такую экспедицию, что возьмем с собой и как приступим к освоению первой экзопланеты, будет опираться на успехи и проблемы, связанные с колонизацией Марса, Титана и даже отдаленных районов Земли.
Технологии, необходимые для картирования, мониторинга и регулирования атмосферы Земли, лягут в основу регулирования атмосфер новых миров. Даже давно забытые земные процессы могут принести пользу. Например, хлорфторуглероды, невероятно мощные парниковые газы, можно использовать для повышения температуры осваиваемого мира. Впервые эта идея была предложена в книге «Озеленение Марса» (авторы – Майкл Аллаби и Джеймс Лавлок) как способ нагрева Марса. Хотя хлорфторуглероды когда-то разрушали защитный озоновый слой в атмосфере Земли, их использование в новых мирах может принести тепло, необходимое для выживания. Поколенческий корабль мог бы даже производить их самостоятельно, еще больше повышая свою независимость и свободу действий.
Если планета непригодна для жизни, начать придется с преобразования ее атмосферы. Этот процесс может занять сотни, тысячи или десятки тысяч лет, поэтому поколенческий корабль останется на орбите в течение долгого времени после прибытия. Несколько небольших аванпостов будут построены для подготовки к высадке и тестирования новых химических и атмосферных технологий. Важным шагом для успеха любой крупномасштабной инженерной миссии, будь то генетический или планетарный проект, является каталогизация и понимание доступности, модульности и взаимодействия всех ее компонентов. Идеальными следует считать те технологии, которые позволят устранить многие ограничения окружающей среды с минимальными затратами материала.
Сначала на поверхность можно отправить небольшие биомы для тестирования новых химических комбинаций и модификации атмосферы. К счастью, земные растения идеально подходят для развития планетарных технологий. Но как сделать, чтобы они, поглощая свет и CO2, синтезировали необходимые продукты, такие как энергия и кислород, на других планетах? Это давняя задача Министерства энергетики США, которое в настоящее время финансирует три центра чистой энергии (программу моделирования и развития ядерной энергетики, программу исследований в области накопления энергии и Институт критических материалов), а также Объединенный центр искусственного фотосинтеза. Эти инициативы поддержали работу многих ученых, в том числе профессоров Гарварда Пэм Сильвер и Дэниела Носеры, которые в 2011 г. создали первый «бионический лист», который в 5–10 раз эффективнее растений. Их «лист» представляет собой пластину из кремния и твердых субстратов, которая под воздействием солнечного света разлагает воду на водород и кислород.
Развертывание таких бионических листьев в новых мирах позволило бы быстро производить топливо и воздух. Однако для этого нужны свет и вода. Хотя на Марсе воды мало, там все же есть лужицы глубиной до 2,5 см, согласно карте водных ресурсов, опубликованной NASA в 2019 г. Использование технологии сканирования поможет выбрать экзопланеты, на которых есть вода.
Хотя одной из основных функций растений на Земле является фотосинтез, они не очень хорошо справляются с ним (КПД около 1 %). Другие формы биологической жизни работают лучше. Микроводоросли, выращиваемые в биореакторах, порой демонстрируют эффективность 3 %. Пиковая эффективность 5–7 % наблюдалась у микроводорослей в очень специфических условиях (в так называемых пузырьковых биореакторах). Профессор Носера и другие биологи, в том числе Пэм Сильвер, хотели посмотреть, насколько можно поднять этот уровень. Опираясь на работу Энтони Сински (из Массачусетского технологического института), они взяли уникальную бактерию Ralstonia eutropa, которая из водорода и CO2 синтезирует АТФ, и внедрили в нее новые гены, которые позволяют далее преобразовывать АТФ в спирт в присутствии кобальто-фосфорного катализатора, причем в аэробных условиях.
Эта система искусственного фотосинтеза оказалась намного продуктивнее естественной системы – ее эффективность составила 10 %. В дополнение к этому даже удалось получить нефтехимические продукты, в том числе изопропанол, изобутанол и изопентанол, которые в XXI в. могут служить топливом. Эта работа была опубликована с большой помпой в 2016 г., поскольку система потребляла CO2 углеродно нейтральным образом. Хотя такая система не является поглотителем углерода и не позволяет связывать его избыток, она может пригодиться в нефтехимической промышленности, которая «сжигает углерод, чтобы произвести больше углерода для сжигания», усиливая парниковый эффект. На новых планетах характеристики, тип и интенсивность выбросов могут быть изменены для ускорения преобразования атмосферы.
Аналогичным образом проект NASA Mars Ecopoiesis Test Bed нацелен на проработку идеи запуска плана планетарной инженерии (терраформирования) на Марсе, а потом и на других планетах. Этот проект предлагает совершить посадку рядом с источником воды в жидком состоянии, изолироваться от остальной части планеты (для планетарной защиты), а затем выпустить экстремофилов, способных выжить в новой экосистеме, и установить контроль метаболитов. Данные, полученные в ходе этого проекта, затем могут быть собраны с помощью орбитального спутника, а отчеты помогут улучшить химический и биологический состав полезной нагрузки будущих зондов. Со временем это приведет к созданию инновационных, надежных и адаптивных организмов, способных формировать целые экосистемы в самых сложных условиях.
Самая большая проблема в освоении дальнего космоса, особенно на поколенческих кораблях с негарантированным пунктом назначения, – это пополнение необходимых ресурсов. Чем дальше мы удаляемся от Солнца, тем больше оно похоже на другие звезды на небе и тем меньше его живительного света мы получаем. Даже если мы сможем разместить эти постоянно развивающиеся биологические культуры на планете, нам все равно понадобятся материалы для синтеза организмов и все остальные ресурсы, необходимые для выживания на орбите, независимо от того, как долго продлится проект. Как уже говорилось, возможность переработки и повторного использования материалов на этих кораблях должна быть очень хорошо продумана, но синтез новых материалов все равно необходим.
Одним из вариантов решения этой проблемы являются чрезвычайно большие корабли, рассчитанные на хранение запасов, необходимых для снабжения остальной части системы. Однако это влечет за собой ограничения. Другое решение – использование всего, что есть в межзвездном пространстве. Это подразумевает улавливание космического излучения или добычу материалов на астероидах и других космических объектах. Экспедиция может быть спланирована так, чтобы максимально увеличить количество встреч с такими источниками.
С течением времени неизбежно произойдут эволюционные изменения. Быстрый отбор (как в случае с чернобурой лисицей) сделает новых людей или стражей непохожими на своих прародителей. Как только это произойдет, мы станем свидетелями межзвездной эволюции. Благодаря молекулярному профилированию и секвенированию ДНК мы каталогизируем изменения жизни в разных звездных системах и создадим всеобъемлющий реестр адаптивных возможностей жизни. Эту огромную генетическую библиотеку можно будет сравнивать с тем, что известно об эволюции на Земле, а также в других местах, где живут люди и существуют другие формы жизни, например на Луне, Марсе и Титане.
После выявления этих специфических молекулярных изменений их можно будет проанализировать, описать и исследовать с точки зрения их потенциала для переноса в новые биологические системы. Те из них, которые окажутся полезными для жизни в определенных местах (например, на лунах в системе TRAPPIST-1), затем можно заблаговременно встраивать людям перед посещением этих мест (как показано выше и на рис. 11.3). Это запустит цикл положительной обратной связи ненаправленной и направленной эволюции, охватывающей множество миров, звезд и даже галактик. Наконец, эти специфичные для мира протоколы можно встраивать заранее в геном первых поселенцев нового мира, ориентируясь на индекс планетарного сходства, который аналогичен ESI. Затем по аналогии будет создан индекс сходства солнечных систем и, возможно, индекс сходства галактик, которые позволят различать формы жизни, характерные для любой области Вселенной.
Однако технологии могут оказаться обоюдоострыми. Какую бы пользу ни приносило новое открытие, в неправильных руках оно может извратиться. Например, представьте, что мы нашли определенный тип нуклеотидов или группу биологических субстратов, которые однозначно связаны с жизнью в другом мире. Это может вдохновить на исследования и управляемую эволюцию, гарантирующую людям процветание в различных условиях, но это также может привести к тому, что «планетарный террорист» создаст вирус, опасный для людей, живущих именно в этом мире. Хотя на этом пути немало препятствий, они не являются непреодолимыми, а история показывает, что маргинализированные и угнетенные группы и даже просто те, у кого другая идеология, могут прибегать к крайним мерам для борьбы за правое, с их точки зрения. Такую возможность необходимо предвидеть и готовиться к ней, чтобы обеспечить безопасность всех миров и их жителей.
Как бы то ни было, к 2401 г. управляемая эволюция затронет многие поколения людей, грибов, бактерий на разных планетах, орбитальных станциях и космических кораблях. Увязывание этой информации с характеристиками известных планет и спутников запустит цикл положительной обратной связи между ненаправленной и направленной эволюцией. Со временем мы выйдем за пределы нашей Солнечной системы и станем исследовать другие звезды, а когда-нибудь и галактики. Теоретически мы могли бы даже создать существ, способных жить в космосе – не просто выживать, а процветать в пустоте и перемещаться между планетами так же легко, как птицы летают в земной атмосфере. У нас могут даже появиться мигрирующие виды вроде тихоходок с солнечными крыльями. Созданная искусственным путем жизнь станет обычным явлением во Вселенной.







С инструментами, созданными в XXI–XXVI вв., мир с ненаправленной, бесконтрольной и жестокой эволюцией уже не будет неизбежным. Люди овладеют способностями, которые станут настоящим водоразделом между нами и другими видами. Мы научимся управлять как нашей собственной эволюцией, так и эволюцией других организмов. С углублением осознания возможности вымирания мы будем все лучше осваивать роль стражей. Она открывает перед нами многочисленные новые возможности и (деонтогенные) обязанности, в том числе необходимость спасти от вымирания себя и все прочие виды. Не исключено, что к 2500 г. мы откроем на других планетах нашей Солнечной системы аборигенные микроорганизмы и даже вступим в контакт с другой разумной жизнью. Мы можем и дальше развиваться, разыскивая новую жизнь, вопрос только, как долго это будет нам позволено.
Конец Земли начнется с малых изменений. Прежде всего примерно через 50 000 лет астрономический день увеличится до 86 401 секунды в результате того, что Луна притягивает Землю и замедляет ее вращение. Через несколько миллионов лет большинство созвездий на небе, которые известны в начале XXI в., станут неузнаваемыми, а Купидон и Белинда (два спутника Урана) столкнутся. Из их обломков у Урана образуются кольца.
Через 100 млн лет светимость Солнца возрастет на 1 %, из-за чего на Земле станет существенно жарче, но все еще приемлемо для человека. Примерно через 180 млн лет вращение Земли замедлится настолько, что сутки увеличатся с 24 до 25 часов. Через 250 млн лет северное побережье Калифорнии может уткнуться в Аляску, а примерно через 500 млн лет на Земле может сформироваться новый суперконтинент. Но затем, приблизительно через 600 млн лет, Луна отдалится от Земли настолько, что полные солнечные затмения прекратятся. Сохранятся только частичные, поскольку Луна по-прежнему будет обращаться вокруг Земли.
Через 700 млн лет светимость Солнца увеличится еще сильнее, поэтому ускорится выветривание поверхностных пород и переход углекислого газа в карбонаты. Вода будет постепенно испаряться с земной поверхности, тектоника плит замедлится, а затем и вовсе прекратится, а вместе с ней и вулканическая активность. В отсутствие рециркуляции углерода в атмосферу Земли уровни CO2 станут снижаться, что приведет к гибели растений, использующих C3-фотосинтез (99 % ныне существующих видов). Сохранятся только растения, для которых характерны C4-фотосинтез (в частности, кукуруза) и устойчивость к недостатку воды и питательных веществ.
Справиться с этими вызовами позволяет (концептуально) простое решение: направить к Земле астероиды или другие небесные тела и корректировать ее орбиту по мере увеличения Солнца в размерах. В результате удастся сохранить относительный комфорт на планете, и она будет походить на привычную нам Землю, но для этого потребуется столько энергии и такие методы, которых пока не существует. Пока невозможно прикрепить к Земле гигантский двигатель и столкнуть ее на другую орбиту, хотя в одном фильме («Блуждающая Земля») такой двигатель предложен. Из-за массового вымирания флоры в атмосфере Земли начнет снижаться уровень кислорода и, вероятно, разрушится озоновый слой, защищающий бóльшую часть биосферы от жесткого ультрафиолета.
Через 800 млн лет уровень углекислого газа снизится настолько, что на Земле не сохранятся даже такие растения, которые используют C4-фотосинтез. Без растительной жизни остановится циркуляция кислорода и углерода в атмосфере, поэтому вымрет большая часть многоклеточных организмов. Питер Уорд и Дональд Браунли написали об этом знаковую книгу «Жизнь и смерть планеты Земля», где допустили, что некоторые животные смогут сохраниться в океанах, но и им придется чрезвычайно трудно. Большая часть биосферы исчезнет в ближайшие 800 млн лет.
Примерно через миллиард лет станет по-настоящему жарко. Солнце станет примерно на 10 % ярче, чем сегодня, так как возрастет доля сравнительно тяжелых атомов, участвующих в термоядерном синтезе. Из-за этого температура на Земле пойдет вверх. Это тепло будет поглощаться океаном, атмосферой и сушей, что может спровоцировать парниковый эффект, который может сделать Землю похожей на Венеру. Для всех, кого волнует изменение климата, миллиард лет – это знаковый рубеж, когда потребуются все технологические возможности для геоинженерии, чтобы не допустить перегрева планеты и вымирания на ней всего живого.
Со временем проблемы только усугубятся. В конечном итоге (примерно через 3 млрд лет) Солнце станет еще ярче – плюс 35 % к нынешнему уровню, при такой жаре земные океаны закипят, полярные шапки растают и значительные объемы водяного пара поднимутся выше стратосферы, после чего улетучатся в космос. В этот период жить на поверхности Земли будет уже очень сложно, а вот на Марсе к тому времени условия станут более мягкими. Примерно к тому же времени у Земли исчезнет магнитное поле, так как затухнет постоянное перемещение железа в ядре (это явление называется «геомагнитное динамо»).
Примерно через 5 млрд лет наше Солнце начнет превращаться в красный гигант (по некоторым оценкам – чуть позже, через 5,5 млрд лет). Независимо от того, когда этот период наступит, Земля обуглится как головешка. Ее орбита удалится от Солнца, но она все равно будет находиться очень-очень близко к периферии того красного гиганта, в который превратится Солнце. На тот момент Земля лишится остатков атмосферы и покроется новой «лавосферой», по которой, подобно «айсбергам», будут плавать комья сплавившегося железа. Температура этой плавильной ванны достигнет 2130 ℃.
Неожиданным плюсом таких перемен станет образование новой солнечной системы. Холодный климат Титана резко смягчится и приблизится к тому, что существует на Марсе в XXI в. (около –73 ℃). Таким образом, даже если мы не успеем за 5 млрд лет убраться из Солнечной системы, то у нас будет еще несколько сотен миллионов или даже миллиард лет, чтобы решить свои проблемы на ее окраинах. Но даже там мы не сможем существовать вечно.
Примерно через 7 млрд лет Земля и Марс окажутся в приливном захвате у Солнца, т. е. будут постоянно обращены к светилу одним полушарием. Но Солнце продолжит увеличиваться в размерах и примерно через 8 млрд лет наверняка поглотит внутренние планеты (Меркурий, Венеру, Землю и, вероятно, Марс). Вскоре после этого Солнце выгорит и станет белым карликом со значительно меньшей светимостью и массой около 54 % от нынешней. Это будет последний большой акт в жизни Солнца, и если к тому времени люди не уберутся из Солнечной системы на поколенческом корабле, то им придется жить на спутниках внешних планет (Юпитера, Сатурна).
Не вполне понятно, каким будет конец Вселенной. Примерные сроки ее гибели зависят от многих факторов, которые плохо поддаются оценке, например от свойств темной материи и темной энергии, а также от событий, до которых еще как минимум сотни миллиардов лет. Даже способность поставить такой пугающий вопрос оставалась прерогативой мифологии и религии, пока уравнения общей теории относительности Эйнштейна в 1907 г. не дали несколько возможных решений, каждое из которых рисует свою картину конца Вселенной. Точно известно, что Вселенная в целом тяготеет к нарастанию энтропии (степени неупорядоченности) на всех уровнях, от молекулярного до планетарного. В ней есть лишь две силы – тяготение и жизнь, которые противостоят энтропии.
В конце существования Вселенной нас ожидают несколько возможных вариантов гибели, и два из них наиболее вероятны. Первый обусловлен бесконечным расширением Вселенной, этот итог называют тепловой смертью. Планеты продолжат разбегаться, то же случится с клетками, молекулами, атомами. В конечном счете даже электроны и прочие субатомные частицы окажутся слишком далеко друг от друга и не смогут взаимодействовать. Жизнь сможет сохраниться только в идеально изолированной среде, где контролируется локальная гравитация и не допускается утечка энергии. В такой капсуле можно будет сохраниться в вечности, направлять нашу эволюцию (как описано на страницах этой книги) и пытаться перестроить Вселенную.
Другой вариант нашей гибели называется «большой коллапс», когда темная и видимая материя Вселенной достигнет достаточной плотности, чтобы сжаться. По мере того как все больше и больше материи конденсируется и стягивается к одной точке, на островок жизни будут налетать солнца и планеты. Придется постоянно отводить мириады небесных тел, которые могут повлиять на обитаемую планету или навредить ей. В данном случае единственный способ выжить опять же заключается в комплексном переустройстве Вселенной, где вся структура темной и видимой материи должна быть либо модифицирована, либо преобразована в четко очерченный самодостаточный объект. Как было развернуто показано в этой книге, деонтогенная этика требует, чтобы мы доработали Вселенную ради ее сохранения.
Однако вполне возможно, что Большому взрыву предшествовала предыдущая инкарнация жизни и жизнь сможет еще раз возникнуть в новой вселенной, которая появится после этой. Более того, такая жизнь сможет обрести более совершенную, стабильную и почти идеальную форму, избежав войн, голода и эпидемий. Если мы помешаем этому, то навредим перспективам существования и фактически пойдем против деонтогенной этики. Никто не знает, как наши решения повлияют на развитие последующих вселенных.
Хотя мы не знаем ответов на все вопросы, кое-что нам все же известно. Земля и ее ресурсы не вечны, а во Вселенной существует множество других миров, к которым мы могли бы отправиться и расширить ареал обитания единственной известной нам разумной жизни. Именно так выглядит наиболее грамотная стратегия поиска ответов на эти вопросы, а также выработки решений относительно судьбы Вселенной.
Всего 1000 лет назад было невозможно представить, что мы сможем извлекать из организма клетки, встраивать в них гены, а затем реимплантировать их, чтобы излечить человека и продлить ему жизнь на десятилетия сверх отпущенного природой срока. Сегодня нам трудно представить способности наших потомков, которые будут жить спустя тысячи, миллионы или миллиарды лет. Не исключено, что они смогут манипулировать даже самим пространством. Однако – что для наших потомков, что для любой другой жизни – единственный путь к таким возможностям лежит лишь через обеспечение собственного выживания.
Идеи, изложенные в этой книге, касаются не только продления существования человечества, но и достижения подлинной свободы на клеточном, молекулярном и планетарном уровне. Эта мечта присуща не только людям, которым жить через миллионы лет, но и любому виду, и, в сущности, любой материальной сущности. Тщательно изучая окружающую жизнь и выясняя, как генная инженерия может повлиять на клетку или организм, мы сможем искоренить многие генетические заболевания. В дальнейшем мы сумеем разработать технологии, при помощи которых люди смогут выбирать себе бытие. Индивид более не будет (даже частично) обречен на жизнь с признаками, которые он унаследовал.
Человеческая любознательность продолжит развиваться невиданными темпами. Наше расселение по Вселенной принесет невообразимые открытия. Мы не знаем, где еще существует жизнь и, честно говоря, существует ли она вообще где-либо еще. В самом деле, одним из основных ограничений уравнения Дрейка, уравнения Сигер и других подобных оценок является то, что за отправную точку мы вынуждены брать именно земную жизнь. Подлинное разнообразие сигнатур жизни, а не просто биосигнатур, на которые обычно ориентируются при оценке обитаемости планеты, может открыть простор для возможностей, в том числе допускающих жизнь на основе иной материи (скажем, темной).
Хотя изучение экстремофилов и определение минимального набора генов, необходимого бактерии для выживания, невероятно важно для понимания пределов, в которых образцы земной жизни могут существовать на других планетах, это лишь небольшое окно общего потенциала жизни, заложенного во Вселенной. Во многом здесь прослеживается аналогия с видимым человеческим глазом спектром (по крайней мере в XXI в.). Мы воспринимаем лишь исчезающе малую часть электромагнитного излучения (видимый свет), а во всех прочих диапазонах слепы. Точно так же сейчас мы видим лишь малую толику потенциальной жизни, которая может существовать вообще. Здесь мы в буквальном смысле имеем дело с постоянно расширяющейся Вселенной, и многие сигнатуры жизни нам еще только предстоит отыскать.
Как же найти сигнатуры, которые охватывают весь спектр возможных вариантов жизни во Вселенной? Для этого нам абсолютно необходимы как минимум время и инструменты для исследования. Нужно немало лет, чтобы научиться жить за пределами Земли. Еще больше времени потребуется на создание поколенческих кораблей и бог знает сколько еще нам придется провести в пути. Нам требуется время, чтобы делать открытия, тестировать их и применять. Без них не узнать, что возможно за пределами Земли. Для этого нужно формировать идеи, далеко выходящие за рамки нашей жизни, и сообща работать над их осуществлением.
Со временем меняются как наши представления о жизни, так и ее дефиниция, даже в пределах Земли. Прежде чем мы поняли природу клеток и их развитие, считалось, что человеческий плод – это крошечный человек. Он сидит в животе, словно самая мелкая из матрешек, и просто увеличивается в размерах. Даже определение того, что является жизнью, вызывает споры – от того, считать ли вирусы живыми, до того, с какого момента считать зародыш человеком. Как фундаментальное определение, так и понимание жизни, надо полагать, изменятся по мере исследования все новых звездных систем. Открытия дадут начало новой волне развития представлений о жизни, не ограничивающихся человеческим онтогенезом, и с этой революцией не сравнится ни одна предыдущая.
Человек способен создавать в своем воображении целые вселенные благодаря взаимодействию миллиардов нейронов. Пока эти творения существуют только в головах, но когда-нибудь они могут стать реальностью. Сохранение этой способности генерировать идеи, мечтать и ставить цели – наш долг не только перед родом человеческим и прочими обитателями нашей планеты, но и перед всеми живыми существами Вселенной. Мы выживем, научившись конструировать жизнь, а для этого необходимо тщательно изучить – во всех деталях – те механизмы, благодаря которым жизнь в принципе существует.
Однако важнейшие компоненты живых систем труднее всего свести к простым составляющим. Возникновение сложных аспектов и эмерджентных свойств, выходящих за рамки индивидуального, например философия, поэзия, музыка и другие виды искусства, а также наука и эмпиризм (и его критика), очень непросто учесть в биологической модели. Жизнь бесконечно сложнее любой отдельно взятой теории о ней. Она постоянно порождает новые теории о себе и Вселенной. Их можно исследовать, а мечты воплотить в реальность получится только в случае сохранения сознания. Эволюция – это отбор существующих процессов, наиболее подходящих для текущей ситуации. Она не предвидит вызовы, которые возникнут в будущем, а тем более угрозу исчезновения всего живого.
Но мы знаем о ней. Поэтому только мы можем действовать как сознательные, осмотрительные и вдумчивые воплощения эволюции, как стражи, задача которых – направить эволюцию так, чтобы обеспечить выживание в долгосрочной перспективе. Все, что нам известно о генетической основе человеческой изобретательности, служит постоянно обогащаемой и вечно плодородной почвой для адаптации и инженерии, и только мы обладаем необходимыми способностями и осознаем хрупкость жизни.
Необходимо сделать все возможное, чтобы мы и те, кто придет нам на смену, выполнили последний деонтогенный долг и помогли носителям жизни продержаться как можно дольше – независимо от типа существования, той материи, из которой организм создан, родной планеты и возраста Вселенной.
Что, если Вселенная во всем ее безграничном великолепии, вечной таинственности и непрерывных изменениях вдруг очеловечилась бы и ее можно было бы спросить: «А какой вселенной ты хотела бы стать?»
Осмелюсь предположить, что она ответила бы в полном соответствии со своей деонтогенной этикой и целью:
«Вселенной, создающей новые вселенные».
Первые семена этой книги были посеяны в мой 15-й день рождения, когда тетя Энни и дядя Джефф подарили мне роман «Основания» Айзека Азимова. Там говорилось о том, как люди могут обжить всю Галактику и как тщательное долгосрочное планирование позволяет устранить страдания человека и всех прочих биологических видов. Эта идея более никогда меня не покидала, поэтому я благодарю дядю и тетю за эту книгу и за то, что они познакомили меня со взглядами Азимова.
С тех пор много кто помогал мне, и я бесконечно признателен им. Во-первых, благодарю моих чудесных жену и дочь, Джоан Мориарти и Мадлен Мейсон–Мориарти, поддерживавших меня от начала и до конца работы над рукописью. На Джоан держался дом, пока я занимался книгой. Мэдди скрашивала мою работу порцией мороженого и улыбкой. Надеюсь, она успеет увидеть те миры, которые я здесь описал, а также многие другие.
Благодарю моих родителей Кори Мейсона и Роузэнн Мейсон, всегда вдохновлявших меня мечтать масштабно. Благодарю мою сестренку Розмари Мейсон, позволявшую мне неделями зависать у нее дома, а также брата Кори и сестру Ребекку, всегда поддерживавших мои идеи. С их подачи я не раз выходил на берег озера Мичиган и предавался мечтам.
Благодарю всех сотрудников лаборатории Мейсона в Медицинском колледже Вейля при Корнеллском университете. Спасибо доктору Харелю Вайнштейну, заведующему кафедрой физиологии и биофизики, а также моим начальникам, докторам Лори Глимчер и Аугустину Чу, за их безмерную веру в меня. Спасибо докторам Мэтью Стейту, Мурату Гюнелю и Рику Лифтону, великолепным «трем тенорам», руководившим моей работой в постдокторантуре. Спасибо доктору Кевину Уайту – моему научному руководителю в Йеле, так вдохновившему меня. Спасибо доктору Джоэлу Дадли, моему давнему другу и сооснователю многих компаний, моему благодарному слушателю, позволившему артикулировать многие из представленных в этой книге идей. Благодарю Эрика Лефковски за его провидческий талант и умение мечтать масштабно. Благодарю великолепных Пола Джейкобсона, Боди Чжана, Лору Кансез, Сару Пеше, Натана Прайса, Ли Худа, Джона Эрлза и Нейта Рикарда из Onegevity/Aevum. Благодарю настоящих звезд-«биотийцев» докторов Ниама О'Хару и Дороттью Надь-Сакаль из компании Biotia. Благодарю доктора Ява Гилада, который говорил, что «даже лучшего всегда недостаточно», и вдохновил меня работать усерднее, а также доктора Зарину Гохар, мою напарницу, напоминавшую, что господин Гилад просто «зануда», и возвращавшую меня к подлинной красоте сущего. Благодарю докторов Джорджа Черча и Тин Ву, с которыми мне довелось провести немало вечеров, обедов и хорошо подискутировать на конференциях – так зародились многие идеи для этой книги.
Спасибо докторам Крейгу Кундроту, Джону Чарльзу, Дженн Фогерти, Афшину Бехешти, Марисе Ковингтон, Марку и Скотту Келли, а также Чаку Ллойду из NASA, которые всегда находили время выбраться и обсудить со мной идеи. Разумеется, невозможно переоценить храбрость и стойкость Скотта и Марка Келли, они показали себя чудесными напарниками в исследовании Twin Study. Кроме того, благодарю замечательную команду из лаборатории, занимавшейся этим исследованием, особенно докторов Франсин Гаррет–Бакельман, Сема Мейдана, Мэтью Маккея, Даниэлу Бездан и Эбрахима Афшиннеку, а также других главных исследователей и соавторов – докторов Сьюзен Бейли, Матиаса Баснера, Эндрю Фейнберга, Стюарта Ли, Эммануэль Миньо, Бринду Рану, Скотта Смита, Майкла Снайдера и Фреда Турека. Многие из них сейчас заняты обработкой результатов исследования и планированием следующих экспериментов. Благодарю Ари Мельника, влюбившего меня в эпигенетику еще сильнее. Также благодарю докторов Стейси Хорнер, Алексу Макинтайр и Нандана Гокхале, которые трудились на протяжении всех рождественских каникул, чтобы подготовить митохондриальные праймеры и завершить сбор данных MeRIP. Они неизменно вдохновляют меня совершенствоваться как ученому. Благодарю Конана и Тэмми Чеккони, Дэна и Стейси Поулсенов, на кухне у которых я написал много страниц ранним утром. Я обсуждал многие этические вопросы с ними, а также с докторами Джо Мартинелли, Скоттом Репой и Скоттом Хонсбергером (Академия математики и естественных наук штата Иллинойс). Благодарю докторов Макса Лагалли и Ллойда Смита из Висконсинского университета в Мэдисоне. Наконец, мои благодарности Джеку Болкину, Эддану Кацу, Майку Серингхосу и всем участникам проекта «Информационное общество» из Йельской школы права за вдохновляющие дискуссии на тему этики и права.
Любой хороший план нуждается в качественной поддержке. С самой первой нашей встречи Игорь Тульчинский содействовал этой работе и моей мечте, в том числе участвовал во многих дискуссиях и помогал генерировать идеи на будущее. Невыразимо благодарен ему и компании WorldQuant за их помощь. Спасибо Биллу Экману и Оливии Флатто из Фонда Першинга за их безграничную веру в меня и в нашу лабораторию.
Также должен с благодарностью упомянуть некоторые музыкальные композиции, в частности Deltron 3030 – отличный рэп-альбом, диджей там Кид Коала, а превосходные тексты написали Дэн Автоматор и Дель Фанки Хомосапиен. Именно под их музыку рождались тексты этой книги, а я представлял себе бойких рэперов, автостопщиков Галактики. Также спасибо Мартену Леграну за прекрасный фортепианный альбом Saskatchewan. Наконец, остается поблагодарить Боба Мозеса за альбом Days Gone By, где чудесно сочетаются трип-хоп и блюз.
Garrett-Bakelman, Francine E., Manjula Darshi, Stefan J. Green, Ruben C. Gur, Ling Lin, Brandon R. Macias, et al. "The NASA Twins Study: A Multi-Omic, Molecular, Physiological, and Behavioral Analysis of a Year-Long Human Spaceflight." Science 364, no. 6436 (April 12, 2019).
Ingelsson, Björn, Daniel Söderberg, Tobias Strid, Anita Söderberg, Ann-Charlotte Bergh, Vesa Loitto, et al. "Lymphocytes Eject Interferogenic Mitochondrial DNA Webs in Response to CpG and Non-CpG Oligodeoxynucleotides of Class C." PNAS 115, no. 3 (2018): E478–E487.
Patti, Giuseppe, Andrea D'Ambrosio, Simona Mega, Gabriele Giorgi, Enrico Maria Zardi, Domenico Maria Zardi, et al. "Early Interleukin-1 Receptor Antagonist Elevation in Patients with Acute Myocardial Infarction." Journal of American College of Cardiology 43, no. 1 (2004): 35–38.
Schaefer, H. J., E. V. Benton, R. P. Henke, and J. J. Sullivan. "Nuclear Track Recordings of the Astronauts' Radiation Exposure on the First Lunar Landing Mission Apollo XI." Radiation Research 49, no. 2 (1972): 245–271.
Kant, Immanuel. Groundwork for the Metaphysics of Morals. Riga, 1785.
Mill, John Stuart. Utilitarianism. London: Parker, Son, and Bourn, 1863.
Parfit, Derek. Reasons and Persons. Oxford: Clarendon Press, 1987.
Rawls, John. A Theory of Justice. Cambridge, MA: Belknap Press of Harvard University Press, 1971.
Castro-Wallace, Sarah L., Charles Y. Chiu, Kristen K. John, Sarah E. Stahl, Kathleen H. Rubins, Alexa B. R. McIntyre, et al. "Nanopore DNA Sequencing and Genome Assembly on the International Space Station." Scientific Data 7, no. 1 (2017): 18022.
Cheng, Alexandre Pellan, Philip Burnham, John Richard Lee, Matthew Pellan Cheng, Manikkam Suthanthiran, Darshana Dadhania, and Iwijn De Vlaminck. "A Cell-Free DNA Metagenomic Sequencing Assay That Integrates the Host Injury Response to Infection." PNAS 116, no. 37 (2019): 18738–18744.
De Vlaminck, Iwijn, Hannah A. Valantine, Thomas M. Snyder, Calvin Strehl, Garrett Cohen, Helen Luikart, et al. "Circulating Cell-Free DNA Enables Noninvasive Diagnosis of Heart Transplant Rejection." Science Translational Medicine 6, no. 241 (2014): 241ra77.
ENCODE Project Consortium. "An Integrated Encyclopedia of DNA Elements in the Human Genome." Nature 489, no. 7414 (2012): 57–74.
Hood, Leroy. "Tackling the Microbiome." Science 336, no. 6086 (2012): 1209.
Karczewski, Konrad J., Laurent C. Francioli, Grace Tiao, Beryl B. Cummings, Jessica Alföldi, Qingbo Wang, et al. "Variation across 141,456 Human Exomes and Genomes Reveals the Spectrum of Loss-of-Function Intolerance across Human Protein-Coding Genes." biorxiv, January 30, 2019 (preprint). https://doi.org/10.1101/531210.
Lindqvist, D., J. Fernström, C. Grudet, L. Ljunggren, L. Träskman-Bendz, L. Ohlsson, and Å Westrin. "Increased Plasma Levels of Circulating Cell-Free Mitochondrial DNA in Suicide Attempters: Associations with HPA-Axis Hyperactivity." Translational Psychiatry 6 (2016): e971.
Maier, Lisa, Mihaela Pruteanu, Michael Kuhn, Georg Zeller, Anja Telzerow, Exene Erin Anderson, et al. "Extensive Impact of Non-antibiotic Drugs on Human Gut Bacteria." Nature 555, no. 7698 (2018): 623–628.
McIntyre, Alexa B. R., Noah Alexander, Kirill Grigorev, Daniela Bezdan, Heike Sichtig, Charles Y. Chiu, and Christopher E. Mason. "Single-Molecule Sequencing Detection of N6-Methyladenine in Microbial Reference Materials." Nature Communications 10, no. 1 (2019): 579.
McIntyre, Alexa B. R., Lindsay Rizzardi, Angela M. Yu, Noah Alexander, Gail L. Rosen, Douglas J. Botkin, et al. "Nanopore Sequencing in Microgravity." Nature Partner Journals (npj) Microgravity 2 (2016): 16035.
MetaSUB International Consortium. "The Metagenomics and Metadesign of the Subways and Urban Biomes (MetaSUB) International Consortium Inaugural Meeting Report." Microbiome 4, no. 1 (2016): 24.
Miga, Karen H., Sergey Koren, Arang Rhie, Mitchell R. Vollger, Ariel Gershman, Andrey Bzikadze, et al. "Telomere-to-Telomere Assembly of a Complete Human X Chromosome." biorxiv, August 16, 2019 (preprint). https://doi.org/10.1101/735928.
Barrangou, Rodolphe, Christophe Fremaux, Hélène Deveau, Melissa Richards, Patrick Boyaval, Sylvain Moineau, et al. "CRISPR Provides Acquired Resistance against Viruses in Prokaryotes." Science 315 (2007): 1709–1712.
Bernstein, L. "Epidemiology of Endocrine-Related Risk Factors for Breast Cancer." Journal of Mammary Gland Biology and Neoplasia 7, no. 1 (2002): 3–15.
Gootenberg, Jonathan S., Omar O. Abudayyeh, Jeong Wook Lee, Patrick Essletzbichler, Aaron J. Dy, Julia Joung, Vanessa Verdin, et al. "Nucleic Acid Detection with CRISPR-Cas13a/C2c2." Science 356, no. 6336 (2017): 438–442.
Hashimoto, Takuma, Daiki D. Horikawa, Yuki Saito, Hirokazu Kuwahara, Hiroko Kozuka-Hata, Tadasu Shin-I., et al. "Extremotolerant Tardigrade Genome and Improved Radiotolerance of Human Cultured Cells by Tardigrade-Unique Protein." Nature Communications 7 (2016): 12808.
Jinek, Martin, Krzysztof Chylinski, Ines Fonfara, Michael Hauer, Jennifer A. Doudna, and Emmanuelle Charpentier. "A Programmable Dual-RNA-Guided DNA Endonuclease in Adaptive Bacterial Immunity." Science 337 (2012): 816–821.
Lander, Eric S. "The Heroes of CRISPR." Cell 164, nos. 1–2 (2016): 18–28.
MacKay, Matthew, Ebrahim Afshinnekoo, Jonathan Rub, Ciaran Hassan, Mihir Khunte, Nithyashri Baskaran, et al. "The Therapeutic Landscape for Cells Engineered with Chimeric Antigen Receptors." Nature Biotechnology 6, no. 8 (2020): 120–128.
Sulak, Michael, Lindsey Fong, Katelyn Mika, Sravanthi Chigurupati, Lisa Yon, Nigel P. Mongan, et al. "TP53 Copy Number Expansion Is Associated with the Evolution of Increased Body Size and an Enhanced DNA Damage Response in Elephants." eLife 5 (2016): e11994.
Chen, Guojun, Amr A. Abdeen, Yuyuan Wang, Pawan K. Shahi, Samantha Robertson, Ruosen Xie, et al. "A Biodegradable Nanocapsule Delivers a Cas9 Ribonucleoprotein Complex for In Vivo Genome Editing." Nature Nanotechnology 14, no. 10 (2019): 974–980.
Desai, Pinkal, Nuria Mencia-Trinchant, Oleksandr Savenkov, Michael S. Simon, Gloria Cheang, Sangmin Lee, et al. "Somatic Mutations Precede Acute Myeloid Leukemia Years before Diagnosis." Nature Medicine 24 (2018): 1015–1023.
Unal Eroglu, Arife, Timothy S. Mulligan, Liyun Zhang, David T. White, Sumitra Sengupta, Cathy Nie, et al. "Multiplexed CRISPR/Cas9 Targeting of Genes Implicated in Retinal Regeneration and Degeneration." Frontiers in Cell and Developmental Biology 6 (2018): 88.
Li, Zhi-Kun, Le-Yun Wang, Li-Bin Wang, Gui-Hai Feng, Xue-Wei Yuan, Chao Liu, et al. "Generation of Bimaternal and Bipaternal Mice from Hypomethylated Haploid ESCs with Imprinting Region Deletions." Cell Stem Cell 23, no. 5 (2018): 665–676.e4.
MacKay, Matthew, Ebrahim Afshinnekoo, Jonathan Rub, Ciaran Hassan, Mihir Khunte, Nithyashri Baskaran, et al. "The Therapeutic Landscape for Cells Engineered with Chimeric Antigen Receptors." Nature Biotechnology 6, no. 8 (2020): 120–128.
Posner, Rachel, Itai Antoine Toker, Olga Antonova, Ekaterina Star, Sarit Anava, Eran Azmon, et al. "Neuronal Small RNAs Control Behavior Transgenerationally." Cell 177, no. 7 (2019): 1814–1826.e15.
Vierbuchen, Thomas, Austin Ostermeier, Zhiping P. Pang, Yuko Kokubu, Thomas C. Südhof, and Marius Wernig. "Direct Conversion of Fibroblasts to Functional Neurons by Defined Factors." Nature 463, no. 7284 (2010): 1035–1041.
Esvelt, Kevin. "When Are We Obligated to Edit Wild Creatures?" LeapsMag, August 30, 2019.
Gibson, Daniel G., John I. Glass, Carole Lartigue, Vladimir N. Noskov, Ray-Yuan Chuang, Mikkel A. Algire, et al. "Creation of a Bacterial Cell Controlled by a Chemically Synthesized Genome." Science 329, no. 5987 (2010): 52–56.
Hoshika, Shuichi, Nicole A. Leal, Myong-Jung Kim, Myong-Sang Kim, Nilesh B. Karalkar, Hyo-Joong Kim, et al. "Hachimoji DNA and RNA: A Genetic System with Eight Building Blocks." Science 363, no. 6429 (2019): 884–887.
Hutchison, Clyde A., Ray-Yuan Chuang, Vladimir N. Noskov, Nacyra Assad-Garcia, Thomas J. Deerinck, Mark H. Ellisma, et al. "Design and Synthesis of a Minimal Bacterial Genome." Science 351, no. 6280 (2016): aad6253.
Mohan, Malli, Ganesh Babu, Moogega Cooper Stricker, and Kasthuri Venkateswaran. "Microscopic Characterization of Biological and Inert Particles Associated with Spacecraft Assembly Cleanroom." Scientific Reports 9, no. 1 (2019): 14251.
Nagel, Thomas. "What Is It Like to Be a Bat?" Philosophical Review 83, no. 4 (Oct. 1974): 435–450.
Ostrov, Nili, Matthieu Landon, Marc Guell, Gleb Kuznetsov, Jun Teramoto, Natalie Cervantes, et al. "Design, Synthesis, and Testing toward a 57-Codon Genome." Science 353, no. 6301 (2016): 819–822.
Voorhies, Alexander A., C. Mark Ott, Satish Mehta, Duane L. Pierson, Brian E. Crucian, Alan Feiveson, et al. "Study of the Impact of Long-Duration Space Missions at the International Space Station on the Astronaut Microbiome." Scientific Reports 9 (2019): 9911.
Yue, Yanan, Yinan Kan, Weihong Xu, Hong-Ye Zhao, Yixuan Zhou, Xiaobin Song, et al. "Extensive Mammalian Germline Genome Engineering." biorxiv (preprint), December 17, 2019. https://www.biorxiv.org/content/10.1101/2019.12.17.876862v1.full.pdf.
Antiretroviral Therapy Cohort Collaboration. "Survival of HIV-Positive Patients Starting Antiretroviral Therapy between 1996 and 2013: A Collaborative Analysis of Cohort Studies." Lancet HIV 4, no. 8 (2017): e349-e356.
Christner, Brent C., John C. Priscu, Amanda M. Achberger, Carlo Barbante, Sasha P. Carter, Knut Christianson, et al., and the WISSARD Science Team. "A Microbial Ecosystem beneath the West Antarctic Ice Sheet." Nature 512, no. 7514 (2014): 310–313.
Li, Yi, Chang-Xin Shi, Karen L. Mossman, Jack Rosenfeld, Yong Chool Boo, and Herb E. Schellhorn. "Restoration of Vitamin C Synthesis in Transgenic Gulo-/-Mice by Helper-Dependent Adenovirus-Based Expression of Gulonolactone Oxidase." Human Gene Therapy 19, no. 12 (2008): 1349–1358.
Pontin, Jason. "The Genetics (and Ethics) of Making Humans Fit for Mars." Wired, August 7, 2018.
Regalado, Antonio. "Engineering the Perfect Astronaut." MIT Technology Review, April 15, 2017.
Blue, Rebecca S., Tina M. Bayuse, Vernie R. Daniels, Virginia E. Wotring, Rahul Suresh, Robert A. Mulcahy, and Erik L. Antonsen. "Supplying a Pharmacy for NASA Exploration Spaceflight: Challenges and Current Understanding." npj Microgravity 5 (2019): art. 14.
Goddard, Robert. "The Ultimate Migration." January 16, 1918.
Gros, Claudius. "Why Planetary and Exoplanetary Protection Differ: The Case of Long Duration Genesis Missions to Habitable but Sterile M-Dwarf Oxygen Planets." Acta Astronautica. 157 (2019): 263–267.
Ilgrande, Chiara, Tom Defoirdt, Siegfried E. Vlaeminck, Nico Boon, and Peter Clauwaert. "Media Optimization, Strain Compatibility, and Low-Shear Modeled Microgravity Exposure of Synthetic Microbial Communities for Urine Nitrification in Regenerative Life-Support Systems." Astrobiology 19 (2019): 1353–1362.
Jansen, Heiko T., Shawn Trojahn, Michael W. Saxton, Corey R. Quackenbush, Brandon D. Evans Hutzenbiler, O. Lynne Nelson, et. al. "Hibernation Induces Widespread Transcriptional Remodeling in Metabolic Tissues of the Grizzly Bear." Communications Biology 2 (2019): 336.
Lemmon, Zachary H., Nathan T. Reem, Justin Dalrymple, Sebastian Soyk, Kerry E. Swartwood, Daniel Rodriguez-Leal, et al. "Rapid Improvement of Domestication Traits in an Orphan Crop by Genome Editing." Nature Plants 4, no. 10 (2018): 766–770.
Nangle, S. N., M. Y. Wolfson, et al. "The Case for Biotechnology on Mars." Nature Biotechnology 3, no. 4 (2020): 401–407.
Parkin, Kevin. "The Breakthrough Starshot System Model." Acta Astronautica 152 (2018): 370–384.
Schrader, Jens, Martin Schilling, Dirk Holtmann, Dieter Sell, Murillo Villela Filho, Achim Marx, and Julia A. Vorholt. "Methanol-Based Industrial Biotechnology: Current Status and Future Perspectives of Methylotrophic Bacteria." Trends in Biotechnology 27 (2009): 107–115.
Ullah, Kifayat, Mushtaq Ahmad, Sofia, Vinod Kumar Sharma, Pengme Lu, Adam Harvey, et al. "Algal Biomass as a Global Source of Transport Fuels: Overview and Development Perspectives." Progress in Natural Science: Materials International 24 (2014): 329–339.
Anglada-Escudé, Guillem, Pedro J. Amado, John Barnes, Zaira M. Berdiñas, R. Paul Butler, Gavin A. L. Coleman, et al. "A Terrestrial Planet Candidate in a Temperate Orbit around Proxima Centauri." Nature 536, no. 7617 (2016): 437–440.
Dugatkin, Lee Alan. "The Silver Fox Domestication Experiment." Evolution: Education and Outreach 11 (2018): 16.
Fraunhofer, Joseph. "Bestimmung des Brechungs-und des Farben-Zerstreuungs – Vermögens verschiedener Glasarten, in Bezug auf die Vervollkommnung achromatischer Fernröhre." [Determination of the refractive and color-dispersing power of different types of glass, in relation to the improvement of achromatic telescopes.] Denkschriften der Königlichen Akademie der Wissenschaften zu München [Memoirs of the Royal Academy of Sciences in Munich] 5 (1814–1815): 193–226.
Kukekova, Anna V., Jennifer L. Johnson, Xueyan Xiang, Shaohong Feng, Shiping Liu, Halie M. Rando, et al. "Red Fox Genome Assembly Identifies Genomic Regions Associated with Tame and Aggressive Behaviours." Nature Ecology Evolution 2 (2018): 1479–1491.
Lissauer, J. "Three Planets for Upsilon Andromedae." Nature 398 (1999): 659.
Wang, Xu, Lenore Pipes, Lyudmila N. Trut, Yury Herbeck, Anastasiya V. Vladimirova, Rimma G. Gulevich, et al. "Genomic Responses to Selection for Tame/Aggressive Behaviors in the Silver Fox (Vulpes vulpes)." PNAS 115 (2018): 10398–10403.
Wohlforth, Charles, and Amanda R. Hendrix. Beyond Earth: Our Path to a New Home in the Planets. Pantheon, 2016.
Wolszczan, A., and D. Frail. "A Planetary System around the Millisecond Pulsar PSR1257 + 12." Nature 355 (1992): 145–147.
Allaby, Michael, and James Lovelock. The Greening of Mars. New York: Warner Books, 1985.
Barnes, Elizabeth. The Minority Body. 2016. New York: Oxford University Press.
Baruch, S. "Preimplantation Genetic Diagnosis and Parental Preferences: Beyond Deadly Disease." Houston Journal of Health Law Policy (2008): 245–268.
Harrison, Steven M., Erin R. Riggs, Donna R. Maglott, Jennifer M. Lee, Danielle R. Azzariti, Annie Niehaus, et al. "Using ClinVar as a Resource to Support Variant Interpretation." Current Protocols in Human Genetics 89 (2016): 8.16.1–8.16.23.
Holtkamp, Kim C. A., Inge B. Mathijssen, Phillis Lakeman, Merel C. van Maarle, Wybo J. Dondorp, Lidewij Henneman, and Martina C. Cornel. "Factors for Successful Implementation of Population-Based Expanded Carrier Screening: Learning from Existing Initiatives." European Journal of Public Health 27, no. 2 (2017): 372–377.
Liu, Chong, Brendan C. Colón, Marika Ziesack, Pamela A. Silver, and Daniel G. Nocera. "Water Splitting-Biosynthetic System with CO2 Reduction Efficiencies Exceeding Photosynthesis." Science 352, no. 6290 (2016): 1210–1213.
Schulze-Makuch, Dirk, Abel Méndez, Alberto G. Fairén, Philip von Paris, Carol Turse, Grayson Boyer, et al. "A Two-Tiered Approach to Assessing the Habitability of Exoplanets." Astrobiology (2011): 1041–1052.
Brownlee, Donald E. "Planetary Habitability on Astronomical Time Scales." In Heliophysics: Evolving Solar Activity and the Climates of Space and Earth, edited by Carolus J. Schrijver and George L. Siscoe, 79–98. Cambridge: Cambridge University Press, 2010.
Caldeira, Ken, and James F. Kasting. "The Life Span of the Biosphere Revisited." Nature 360 (1992): 721–723.
Catling, David C., Joshua Krissansen-Totton, Nancy Y. Kiang, David Crisp, Tyler D. Robinson, Shiladitya DasSarma, et al. "Exoplanet Biosignatures: A Framework for Their Assessment." Astrobiology 18, no. 6 (2018): 709–738.
Krissansen-Totton, Joshua, Stephanie Olson, and David C. Catling. "Disequilibrium Biosignatures over Earth History and Implications for Detecting Exoplanet Life." Science Advances 4, no. 1 (2018): eaao5747.
Loeb, Abraham, Rafael A. Batista, and David Sloan. "Relative Likelihood for Life as a Function of Cosmic Time." Journal of Cosmology and Astroparticle Physics 8 (2016): 40.
Singer, Peter. Animal Liberation. New York: HarperCollins, 1975.
Waszek, Lauren, Jessica Irving, and Arwen Deuss. "Reconciling the Hemispherical Structure of Earth's Inner Core with Its Super-Rotation." Nature Geoscience 4, no. 4 (2011): 264–267.
Тихоходки – микроскопические беспозвоночные животные, способные оживать после многолетнего анабиоза, в который они впадают, «высушиваясь». – Прим. науч. ред.
(обратно)Келли С. Стойкость: Мой год в космосе. – М.: Альпина нон-фикшн, 2019.
(обратно)По данным исследований, на МКС проблемы у космонавтов со зрением возникают не из-за воздействия космической радиации, а из-за повышения внутричерепного давления, которое вызывается невесомостью и оттоком крови от ног (https://eyewiki.org/Spaceflight-Associated_Neuro-Ocular_Syndrome_(SANS)). – Прим. науч. ред.
(обратно)Два основных типа кишечных бактерий, при этом среди фирмикутов довольно много патогенов, тогда как бактероиды – это в основном бактерии, ответственные за брожение. – Прим. науч. ред.
(обратно)Есть и обратная ситуация, когда один признак наследуется за счет работы двух или нескольких генов. Такие признаки называются количественными (например, размер яиц у птиц или урожайность зерна). – Прим. науч. ред.
(обратно)Суть работы ДНКаз – расщеплять ДНК. – Прим. науч. ред.
(обратно)Цинковый палец – участок белка, способный специфично связываться с ДНК. – Прим. науч. ред.
(обратно)CRISPR (clustered regularly interspaced short palindromic repeats) – короткие палиндромные повторы, регулярно расположенные группами. – Прим. науч. ред.
(обратно)CRISPR действует не только против фагов, но может быть нацелен и на другие мобильные генетические элементы, а именно на плазмиды. – Прим. науч. ред.
(обратно)Протоспейсер – участок чужеродной (фаговой или плазмидной) ДНК, который в будущем может быть встроен в бактериальную ДНК в качестве нового спейсера для обеспечения иммунной защиты. – Прим. науч. ред.
(обратно)Элемент, который самовырежется в процессе сплайсинга РНК, т. е. в зрелой РНК его не будет. – Прим. науч. ред.
(обратно)Эта РНК выполняет две функции: определяет область редактирования и несет в себе информацию, которую нужно вставить в ДНК-мишень. Белок Cas9 расплетает цепи ДНК, после чего пргРНК прилипает к одной из них, защищая ее. Далее Cas9 разрезает вторую цепь, пргРНК прикрепляется к разрезу одним из своих концов, а прикрепленная к Cas9 обратная транскриптаза дописывает в разрезанную цепь фрагмент с матрицы пргРНК. С несовпадающими фрагментами в комплементарных цепях ДНК имеют дело белки репарации: один из фрагментов они разрезают, после чего переписывают его так, чтобы он был комплементарен второму. Для защиты «нового» варианта в такой системе редактирования может использоваться дополнительная гидовая РНК. – Прим. науч. ред.
(обратно)Основную защиту земных обитателей от космической радиации обеспечивает плотная земная атмосфера, но магнитное поле защищает атмосферу от улетучивания, отклоняяя потоки солнечного ветра. – Прим. науч. ред.
(обратно)Главная проблема голого человека на Марсе – это разреженная атмосфера, по воздействию на человеческий организм она практически не отличима от вакуума. Уровень космической радиации на поверхности Марса сравним с уровнем радиации внутри Международной космической станции, и опасность ее актуальна только в контексте многолетнего проживания на Марсе. – Прим. науч. ред.
(обратно)В полетах длительностью 9–13 дней. Т. е. ежедневное облучение астронавтов «Аполлона» примерно в три раза превышало ежедневную дозу Скотта Келли. – Прим. науч. ред.
(обратно)В настоящее время рассматриваются траектории полета до Марса с целью сокращения срока до четырех месяцев в каждую сторону, что значительно снизит ожидаемую радиационную нагрузку. – Прим. науч. ред.
(обратно)Однако поверхность безатмосферных тел становится источником излучения вторичных нейтронов, которые выбиваются галактической радиацией, падающей сверху. Поэтому получаемая доза сокращается не в половину, и лучше иметь над головой атмосферу, магнитосферу или хотя бы несколько метров каменного потолка. – Прим. науч. ред.
(обратно)CD19 – это трансмембранный белок, который синтезируется во всех В-лимфоцитах, в том числе при В-клеточных лейкозах и лимфомах. – Прим. науч. ред.
(обратно)Эта попытка не увенчалась большим успехом. CAR-T этого типа не были эффективнее клеток второго поколения. Возможно, это связано с чрезмерной активацией CAR-T-клеток и последующей потерей аутотолерантности, ведущей к апоптозу (https://ashpublications.org/blood/article/121/7/1165/31529/Anti-CD22-chimeric-antigen-receptors-targeting-B). – Прим. науч. ред.
(обратно)Корецептор CD8 соответствует цитотоксическим Т-лимфоцитам, а корецептор CD4 – Т-хелперам. – Прим. науч. ред.
(обратно)Область, контролирующая начало транскрипции. – Прим. науч. ред.
(обратно)Исследования в этом направлении продолжаются: Revivicor добилась одобрения FDA на использование измененных свиней GalSafe в пищу (во многом благодаря отсутствию в их мясе углевода альфа-гал, который может вызывать у людей аллергию после укуса клеща), запустив очередной виток в развитии этой технологии. – Прим. науч. ред.
(обратно)Речь о самонаводящихся эндонуклеазах, способных «распространять» себя в геноме, наследуясь в популяции не по менделевским законам. – Прим. науч. ред.
(обратно)Довольно много исследований, направленных на изучение возможности вызывать спячку искусственно. Для этого используют гипоксию и гипотермию (https://dx.doi.org/10.1113/jphysiol.2009.175828), сероводород (https://dx.doi.org/10.1097/shk.0000000000001094), нейропептиды (https://dx.doi.org/10.1007/s11064–016–2109–4). – Прим. науч. ред.
(обратно)Такое было реальностью во времена шаттлов, но сейчас отработавшие свое грузовые космические корабли управляемо садятся в несудоходной части Тихого океана, поэтому для большинства жителей Земли такие наблюдения недоступны. – Прим. науч. ред.
(обратно)Официально Международный астрономический союз насчитывает пять карликовых планет: Цереру, Плутон, Эриду, Хаумеа и Макемаке. Столько их было известно в 2007 г., когда астрономы учредили эту категорию малых тел Солнечной системы и «выселили» в нее Плутон. Сейчас подобных тел известно уже больше, их называют плутоиды, т. е. «подобные Плутону», но в список карликовых планет они пока не попали из-за недостаточной изученности (https://www.iau.org/public/themes/pluto/#n6). – Прим. науч. ред.
(обратно)Позже наблюдения телескопа «Хаббл» опровергли открытие планеты. Сейчас считается, что обнаруженный объект – это облако обломков от столкновения крупных фрагментов в протопланетном диске звезды Фомальгаут. – Прим. науч. ред.
(обратно)На момент подготовки русскоязычного издания, количество открытых экзопланет приближалось к 6000. – Прим. науч. ред.
(обратно)Уолфорт Ч., Хендрикс А. За пределами Земли: В поисках нового дома в Солнечной системе. – М.: Альпина нон-фикшн, 2018.
(обратно)